留言板

尊敬的读者、作者、审稿人, 关于本刊的投稿、审稿、编辑和出版的任何问题, 您可以本页添加留言。我们将尽快给您答复。谢谢您的支持!

姓名
邮箱
手机号码
标题
留言内容
验证码

2026年  第32卷  第1期

显示方式:
封面
2026 年 1 期封面
2026, 32(1).
摘要 (186) PDF (1482KB)(339)
摘要:
目次
2026 年 1 期目次
2026, 32(1): 1-4.
摘要 (102) HTML (68) PDF (407KB)(136)
摘要:
特邀主编致辞
页岩油气富集高产机理与绿色高效开发
谭静强
2026, 32(1): 1-2. doi: 10.12090/jissn.1006-6616.20253201
摘要 (157) HTML (59) PDF (312KB)(160)
摘要:
页岩气低摩阻钻井液研究进展及发展趋势
孙金声, 蔡文晖, 王金堂, 吕开河, 赵珂, 张俊豪
2026, 32(1): 3-14. doi: 10.12090/j.issn.1006-6616.2025151
摘要 (1917) HTML (153) PDF (826KB)(240)
摘要:
页岩气是中国重要的非常规天然气资源,资源潜力巨大。深部页岩气储层普遍具有低孔低渗、研磨性强、高温高压等特殊地质特性。钻井过程中经常面临着井壁失稳、长水平段摩阻、扭矩大等技术难题,低摩阻钻井液技术已成为深部页岩气储层安全高效钻进的关键。文章基于全球页岩气勘探开发现状的跟踪调研,剖析了钻井液润滑性的评价指标及其减阻机理,包括润滑膜形成、滚动摩擦、润湿性调控等多重作用机制,系统梳理了水基、油基等各类低摩阻钻井液体系的润滑性能与研究进展,提出了未来应继续加强研发新型高性能钻井液润滑剂。未来钻井液体系将进一步向智能化、绿色化转型,实现润滑与井壁稳定等技术的多目标协同,为应对复杂地层挑战、全球页岩气安全高效开发和深层油气增储上产提供有力的技术支撑。
中三叠世中期上扬子内克拉通古海洋环境与有机质富集模式
唐松, 王宪峰, 陈安清, 周琳琅, 亓严, 彭秋, 钱杨娇娇, 岳大力
2026, 32(1): 15-30. doi: 10.12090/j.issn.1006-6616.2025055
摘要 (1850) HTML (77) PDF (6043KB)(227)
摘要:
泥灰岩的勘探潜力是当前油气领域拓展的前沿。近期,在四川盆地充探1井中三叠统雷口坡组三段发现泥灰岩海相非常规油气,昭示了雷口坡组新的勘探领域和前景。然而目前对该套盐下潟湖泥灰岩沉积的有机质富集机制和勘探潜力不明,制约了进一步的油气勘探。以川中地区充探1井为重点研究对象,通过岩矿特征和古海洋地球化学环境指标揭示了泥灰岩的有机质富集机制,再基于储层表征和沉积相分析明确了该非常规储层的性能与发育分布,以揭示其勘探潜力。结果表明,雷口坡组泥灰岩的沉积背景为台地潟湖缺氧环境,且具有高的古生产力条件,总有机碳含量(TOC)平均为1.16%,最高可达1.78%,为还原条件和生产力双控制的有机质富集;泥灰岩“甜点段”的储层CT和SEM实验结果揭示储集空间以纳米–微米级微孔、微裂缝为主,孔隙度在3%以上;其发育背景为陆表海碳酸盐台地内的泥灰质深水潟湖、含膏质浅水潟湖。台地内广阔的深水潟湖分布与雷三段2亚段沉积期处于最大海泛期有关,同时由于当时的季风气候大大促进了风化增强及营养元素输入,上覆海退成因的蒸发岩为有机质的长期高效保存提供了保障。综合分析认为上扬子克拉通内坳陷雷三段海泛期发育广泛分布的富有机质深水潟湖相泥灰岩,既是非常规油气的勘探目标,也能为雷口坡组常规储层提供烃源。
川西南天宫堂地区龙一段1亚段页岩气富集条件及勘探有利区评价
刘胜军, 岳文翰, 刘永旸, 倪佳, 方锐, 丁洁明, 徐飞, 范存辉, 夏童, 徐露
2026, 32(1): 31-48. doi: 10.12090/j.issn.1006-6616.2025103
摘要 (1272) HTML (100) PDF (7930KB)(203)
摘要:
川西南天宫堂地区龙马溪组一段页岩气储层具有显著的非均质性特征。为了探明影响川西南页岩气富集条件的因素,文章基于钻井岩芯、地球化学测试、矿物组分分析及测井资料,综合地质学、地球化学与测井解释等多学科研究方法,系统分析了该区页岩气富集条件及勘探潜力。结果表明,龙一段1亚段发育一套厚度25~60 m的连续稳定富有机质页岩,TOC含量1.0%~4.0%(平均3.19%),纵向上下部龙一段1亚段①~③小层TOC含量显著高于上部层段;Ro值2.58%~3.16%,表明处于过成熟阶段。矿物组成以石英(35%~45%)、黏土矿物(25%~35%)和碳酸盐矿物(15%~25%)为主,脆性指数大于60%,具备良好可压性。储集空间包括有机孔(孔径0.02~0.9 μm)、无机孔(粒内溶蚀孔、粒间孔等)及多尺度裂缝系统(构造缝、非构造缝和微裂缝),孔隙度3.0%~6.0%(平均4.2%),渗透率0.0003~0.2352 mD(2.96×10−7~2.32×10−4 μm2),纵向呈“顶底低渗、中部高渗”特征。构造保存条件分析表明,宽缓背斜和单斜构造区保存条件较好,而高陡断裂带附近气体散失严重;地层压力系数与产量呈正相关,当压力系数>1.4时单井日产量普遍突破20×104 m3/d(如Y203井36.26×104 m3/d)。通过建立综合评价指标体系,将天宫堂地区划分为Ⅰ类(TOC>2.4%、脆性指数>65%、孔隙度>4.5%、优质页岩厚度>35 m、埋深3000~4000 m、压力系数>1.4)和Ⅱ类有利区,为天宫堂地区页岩气勘探开发提供了科学依据。研究成果揭示了复杂构造背景下页岩气富集的主控因素,对川西南地区页岩气高效开发具有指导意义。
资阳−威远地区筇一段2亚段深色页岩元素地球化学特征及地质指示意义
谢圣阳, 杨学锋, 李博, 赵圣贤, 张鉴, 张成林, 刘佳伟, 张德良, 黄山, 陈鑫, 刘永旸, 朱宁, 王高翔, 尹美璇
2026, 32(1): 49-66. doi: 10.12090/j.issn.1006-6616.2025125
摘要 (1275) HTML (71) PDF (3013KB)(193)
摘要:
四川盆地资阳−威远裂陷槽内下寒武统筇竹寺组作为深层—超深层页岩气勘探的重点层系,展现出巨大的资源潜力。为精确阐明其核心优质层段(筇一段2亚段⑤小层深色页岩)的古沉积环境、生产力演化及有机质富集主控因素,以Z201井的黑色页岩样品为研究对象,系统开展了岩石学分析,并结合总有机碳(TOC)、主微量元素及稀土元素等地球化学指标进行综合表征。结果表明,筇一段2亚段⑤小层页岩的地球化学组成在垂向上具有显著的阶段性差异。TOC含量呈“低—高—低”变化趋势,⑤-2亚小层为峰值,平均含量3.72%;主量元素中Al2O3和TiO2在⑤-2亚小层呈现低值谷,指示陆源输入最低;氧化还原敏感元素(U、Mo、V、Ni等)在⑤-2和⑤-3亚小层富集,U、Mo富集因子及协变模式指示了强还原滞留环境;古生产力指标P/Ti与过量硅(Siexc)变化一致,均在⑤-2亚小层达到最高,而生物成因钡(Babio)因受硫酸盐还原菌对重晶石的分解作用而信号失真;化学蚀变指数(CIA)、Sr/Cu及Rb/K等指标则指示了总体稳定的气候与半咸水的沉积环境。综合分析认为,⑤-2亚小层由于较高的初级生产力、强缺氧的底层水体与最低的陆源稀释作用的耦合,导致了该层段有机质的富集,形成了优质烃源岩;而其他亚小层则由于更高的陆源稀释作用和/或水体复氧导致的有机质保存条件恶化,抑制了有机质的富集。
准中地区深层八道湾组过渡相页岩成烃潜力研究
曾治平, 李宝庆, 王金铎, 刘慧, 李劭杰, 甘润坤
2026, 32(1): 67-83. doi: 10.12090/j.issn.1006-6616.2025111
摘要 (1606) HTML (93) PDF (2322KB)(172)
摘要:
准噶尔盆地中部(准中地区)深层侏罗系八道湾组过渡相页岩是近年来非常规油气勘探的前沿阵地,而其页岩成烃潜力仍有待进一步厘定。准中地区阜康凹陷与东道海子凹陷最新勘探钻遇埋深超5000 m 的八道湾组页岩层系,为查明该区深层页岩成烃潜力提供了宝贵机遇。此次研究以阜康凹陷与东道海子凹陷深层八道湾组页岩为研究对象,通过运用有机地球化学、显微组分分析、热模拟实验、数值模拟、生物标志化合物分析等多种手段,探讨了准中八道湾组深层页岩成烃潜力。阜康凹陷与东道海子凹陷深层八道湾组页岩有机质丰度较高,总有机碳(TOC)含量分别为0.75%~5.06%和0.81%~5.27%,以II型和III型有机质为主。热演化程度表明该层段现今处于生油阶段(镜质体反射率Ro分别为0.70%~0.82%和0.51%~0.80%)。热史模拟显示,该套页岩于侏罗纪晚期进入生烃门限,于晚白垩世进入主生油期,生烃过程持续约150 Ma;岩石热解产烃率为380~500 mg/g。生物标志化合物参数指示了氧化还原条件频繁波动的过渡相环境特征,水生生物与陆源高等植物均有母质贡献。综上,准中地区深层八道湾组页岩成烃潜力大,是潜在页岩油气勘探目标。
玛南地区风城组富有机质页岩成因机制——来自有机岩石学、生物标志物及同位素的证据
陈山河, 齐洪岩, 王伟, 王振林, 李杨虎, 汤富康, 郭守鑫, 傅正航
2026, 32(1): 84-106. doi: 10.12090/j.issn.1006-6616.2025146
摘要 (1039) HTML (54) PDF (2821KB)(165)
摘要:
准噶尔盆地玛湖凹陷是区内重要的富烃凹陷,其二叠系风城组作为主力烃源岩层系,被广泛认为是页岩油勘探的关键“甜点”目标。相较于研究程度较高的玛湖凹陷中心及其北部斜坡区,西南部斜坡区(玛南)地区处于湖盆边缘相带,其烃源岩品质、有机质赋存状态及古环境演化特征具有特殊性,但目前相关成因机理认识尚不清晰。基于此,以玛南地区12口井33个泥页岩样品为研究对象,综合利用有机岩石学、有机地球化学与碳同位素分析等方法开展了系统测试,包括总有机碳(TOC)含量与总硫(TS)含量测定、岩石热解实验、镜质体反射率(Ro)测定、氯仿沥青“A”抽提、饱和烃与芳香烃气相色谱−质谱(GC-MS)分析以及全岩抽提物与族组分碳同位素组成测定,系统评价了其地球化学特征与成烃潜力。研究结果发现,玛南地区风城组烃源岩有机质丰度总体达到好—极好级别,但受陆源碎屑稀释及搬运影响,有机质类型以Ⅱ—Ⅲ型混合为主,与玛湖凹陷北部地区典型的Ⅰ—Ⅱ型有机质存在显著差异;样品整体处于成熟生油高峰阶段(Ro>0.8%),在详细探讨并剔除高成熟度对生烃母质参数(如姥植比、β-胡萝卜烷、扩展三环萜烷比值等)改造作用的基础上,多指标综合判识证实有机质主要来源于藻类、细菌等低等水生生物,陆源高等植物输入较为有限;沉积环境方面,该区主要形成于咸化湖盆边缘斜坡环境,受内源化学沉淀与外源陆源碎屑注入的双重控制,水体呈现弱还原、高盐度特征。研究明确了玛南地区风城组烃源岩作为湖盆边缘相咸化混积岩页岩油富集区的物质基础,揭示了其与凹陷中心及北部沉积环境的差异性,为拓展准噶尔盆地页岩油勘探空间提供了理论依据。
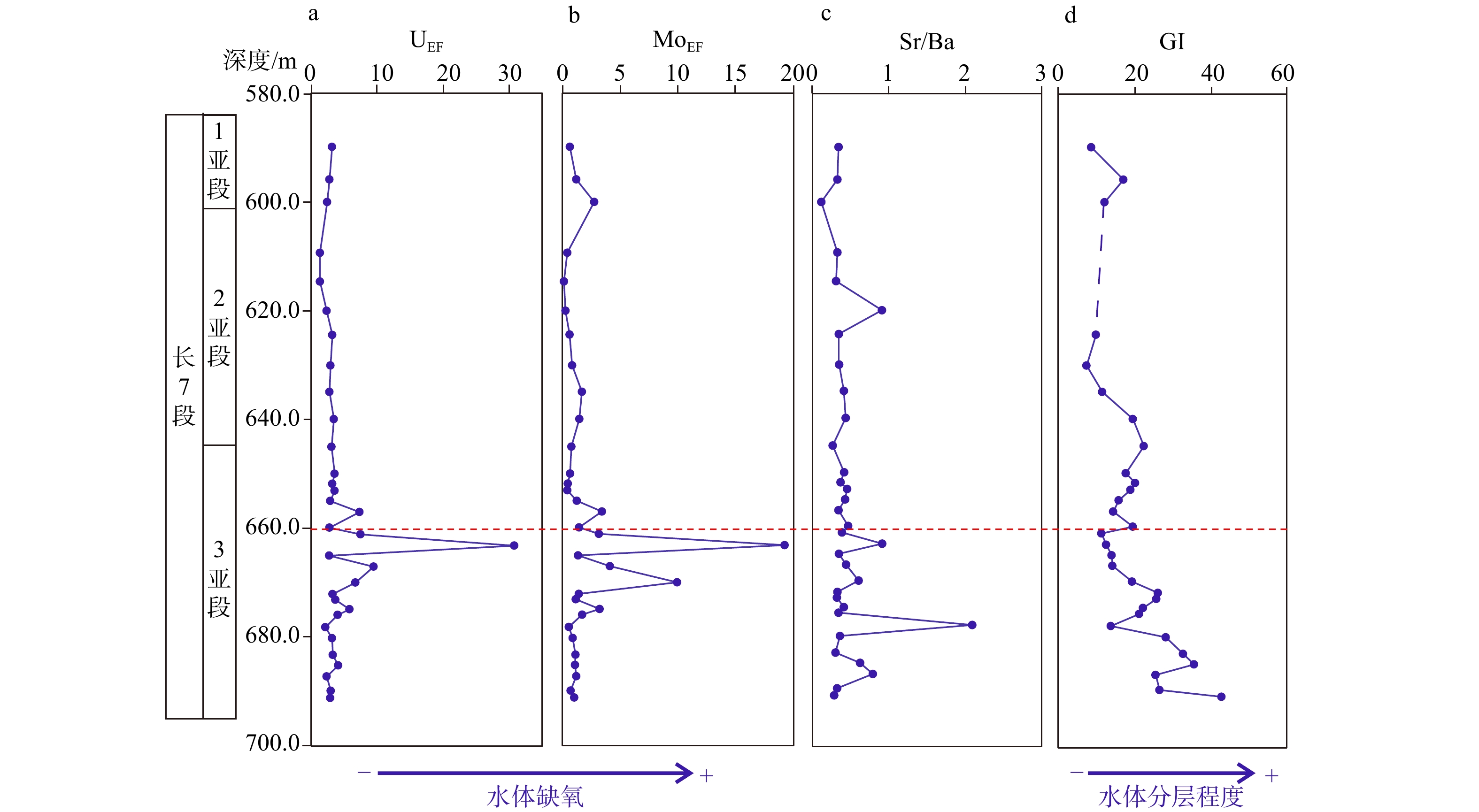
中—晚三叠世气候变化对鄂尔多斯盆地东南地区延长组7段烃源岩有机质富集的影响机制
路漫, 段国强, 张桐溪, 黄田华, 王兆洋, 李德伟
2026, 32(1): 107-123. doi: 10.12090/j.issn.1006-6616.2025139
摘要 (1772) HTML (112) PDF (1927KB)(163)
摘要:
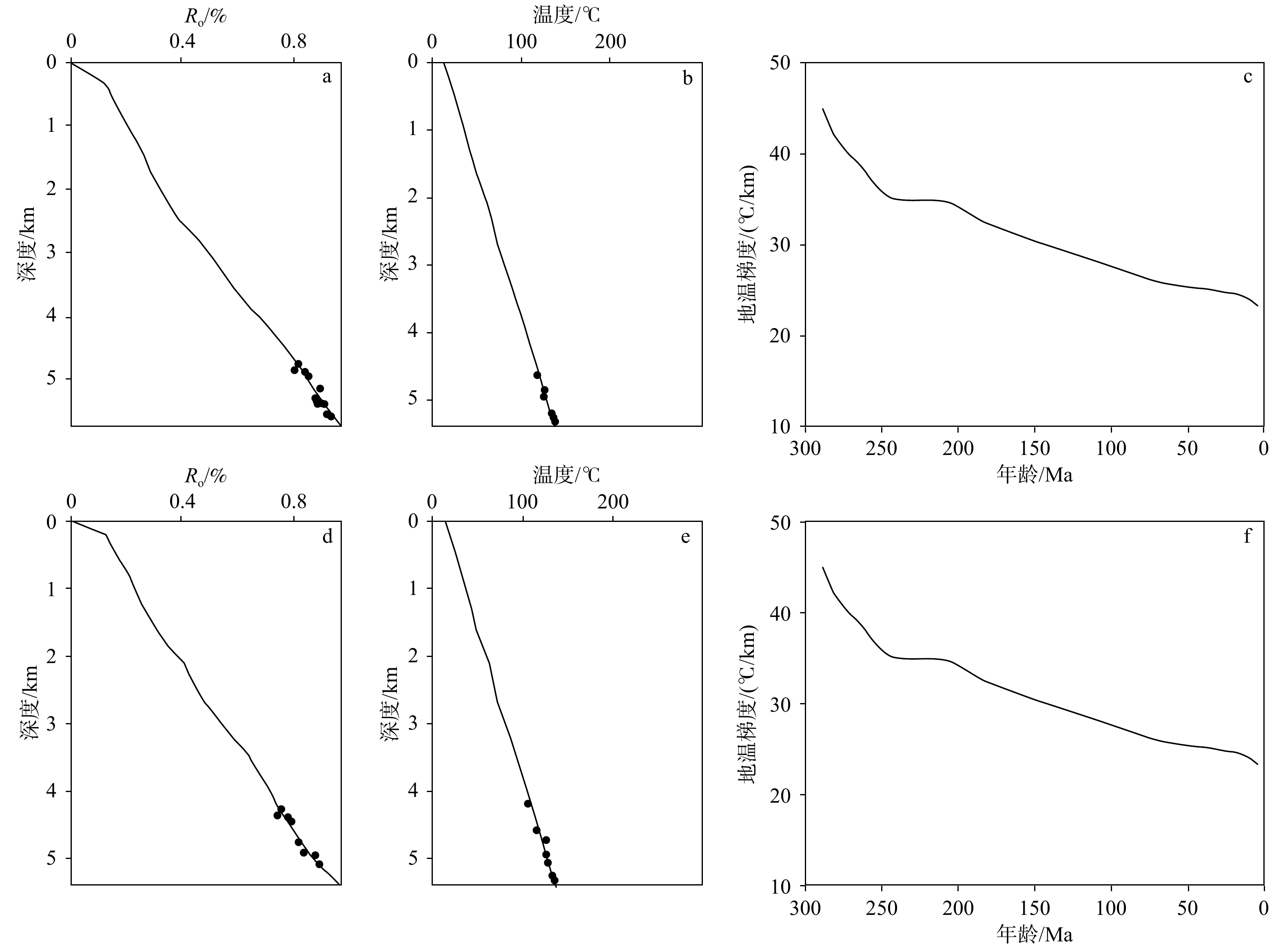
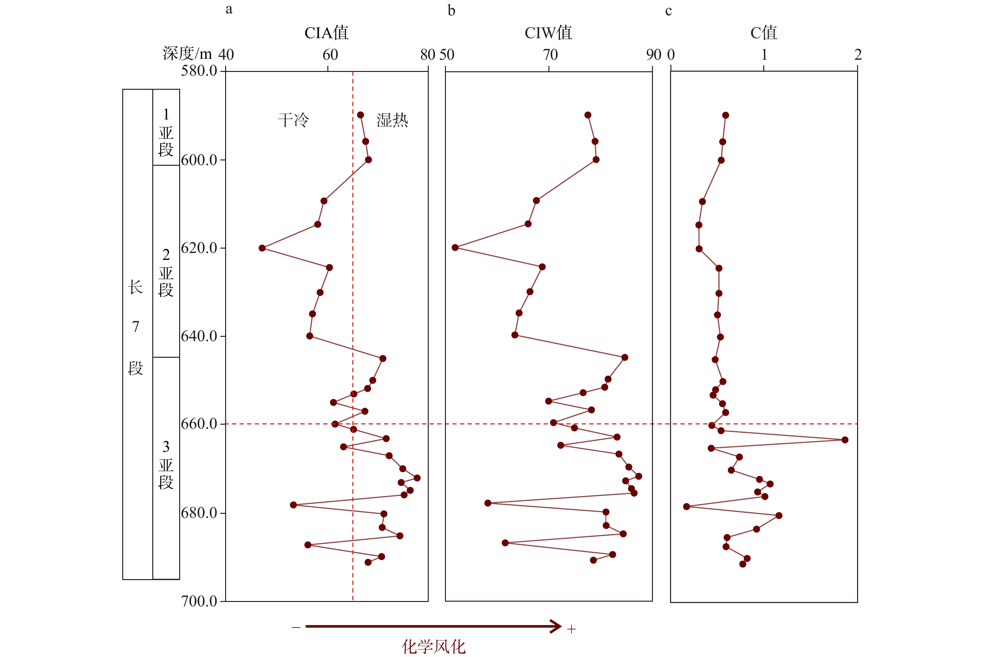
中—晚三叠世是地球历史上关键的气候转型期,期间发生的多次全球湿润气候事件对海洋和陆地沉积环境产生了深远影响,促进了海相与陆相烃源岩的发育。以鄂尔多斯盆地东南地区延长组7段(长7段)烃源岩为研究对象,基于元素地球化学和分子有机地球化学分析,揭示了中—晚三叠世气候湿润事件与湖盆有机质富集的耦合关系。研究结果显示,长7段3亚段中—下段具有高有机碳含量和良好的生烃能力,化学风化指数表明长7段3亚段中—下段沉积于温暖潮湿气候环境,而上覆长7段3亚段上段及长7段2亚段和1亚段则沉积于相对寒冷干燥气候条件。结合中—晚三叠世全球湿润气候事件特征、鄂尔多斯盆地东南地区长7段地层孢粉地层格架、锆石定年结果以及碳同位素地层对比发现,长7段3亚段中—下段与中—晚三叠世拉丁−卡尼期湿润气候事件具有良好对应关系。研究表明,在湿润气候事件影响下,陆源营养物质输入的增强提高了湖泊初级生产力,同时水体缺氧和分层加剧,为有机质保存创造了有利条件,沉积了优质烃源岩;而湿润气候事件之后,气候向较干冷转变,陆源输入减少,湖泊生产力下降,水体缺氧程度降低,不利于有机质的保存和富集。该研究不仅为中—晚三叠世古气候和古环境重建提供了依据,也为理解地质历史时期气候转折期背景下有机质富集机制提供了重要参考。
鄂尔多斯盆地西缘中部乌拉力克组页岩储层精细表征及评价
马明阳, 谢梦雨, 张东东, 王前平, 刘文汇, 王桐, 李风娇, 孙文熠, 管晓涵
2026, 32(1): 124-141. doi: 10.12090/j.issn.1006-6616.2025117
摘要 (1330) HTML (75) PDF (6221KB)(109)
摘要:
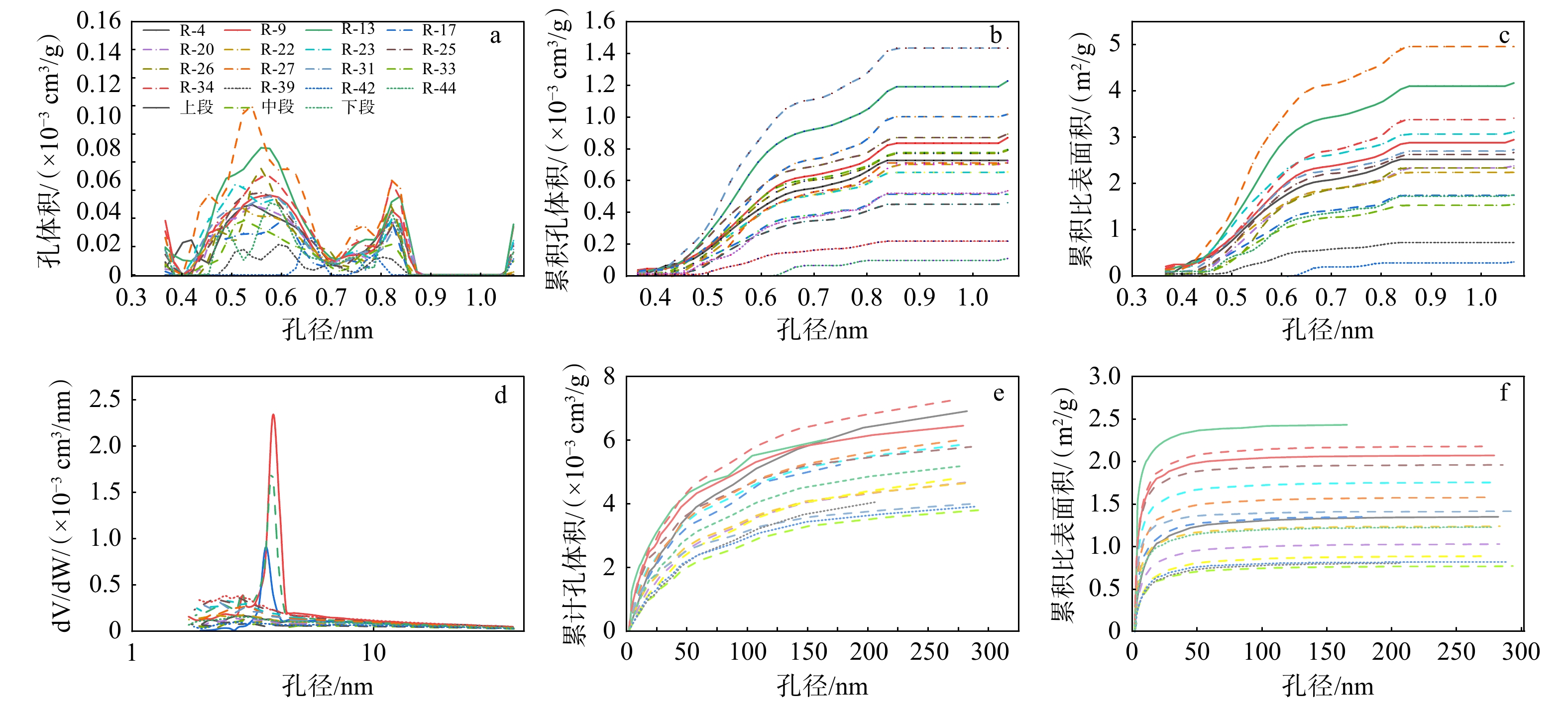
近年来鄂尔多斯盆地西缘奥陶纪乌拉力克组页岩气勘探取得突破,开拓了华北板块海相页岩气勘探的新领域。系统刻画“低总有机碳(TOC)含量”海相页岩气储层的微观孔隙结构特征并阐明孔隙发育的主控因素对于乌拉力克组页岩气预测与评价至关重要。选取盆地西缘中部典型取芯井为研究对象,开展了X射线衍射全岩矿物分析、氩离子抛光扫描电镜观察、低温气体吸附实验,揭示了乌拉力克组页岩储集空间及储集能力。研究结果表明:乌拉力克组黑色页岩整体属于低孔−低渗储层,其中上段以黏土质页岩为主,下段以硅质页岩为主,中段黏土质页岩与混合质页岩互层发育;页岩储层孔隙体积为4.021×10−3 ~8.307×10−3 cm3/g,平均为6.031×10−3 cm3/g,孔体积主要由中孔和宏孔贡献;孔隙比表面积为1.131~6.605 m2/g,平均为2.986 m2/g,以微孔贡献为主,中孔次之,宏孔最少;上段页岩孔隙度最高,中段页岩次之,下段页岩最低;孔隙类型以无机孔和微裂缝为主,有机孔不发育;页岩气主要赋存在0~10 nm的孔隙中,占比达86.7%;微米级微裂缝与纳米级孔隙连通形成的复杂孔隙−裂缝网络,是页岩气渗流和扩散的主要通道。储层的孔隙结构与物性主要受黏土矿物控制,上段和中段页岩的孔体积与比表面积优于下段,其中伊利石可作为天然气赋存载体。储层综合评价显示,上段黏土质页岩孔隙结构及物性最优,但TOC含量低,难以形成页岩气有效富集层;下段硅质页岩TOC含量较高,生烃能力强,虽孔隙结构及物性稍差,但高硅质含量使其脆性强、微裂缝发育;中段黏土质页岩与混合质页岩互层发育,兼具封盖作用与一定生储能力,有利于页岩气富集成藏。综合分析认为,乌拉力克组下段硅质页岩和中段黏土质页岩与混合质页岩互层段为有利勘探层段。
天然弱面对页岩气四维应力及加密井裂缝扰动规律研究
阮奇, 张烈辉, 赵玉龙, 张德良, 郑事倬
2026, 32(1): 142-158. doi: 10.12090/j.issn.1006-6616.2025144
摘要 (1611) HTML (70) PDF (3948KB)(166)
摘要:
中—深层页岩储层具有裂缝−基质复合结构特征,其内部弱面(天然裂缝、断层等)对地应力演化与裂缝扩展具有干扰、调控作用。目前鲜有研究将天然裂缝等弱结构面同时考虑为渗流−力学弱面,也缺乏其在生产过程中引起的四维应力演化及加密井裂缝扩展影响的系统量化分析。通过室内试验获取弱面刚度与渗流参数,构建能够表征弱面力学−渗流双重弱化效应的中—深层页岩气四维应力演化模型,并揭示弱面在不同生产阶段对应力分布与加密井裂缝形态的扰动机制。研究结果表明,低刚度弱面易发生形变,内部应力降低,裂缝尖端出现应力集中,且最大水平主应力受弱面扰动的程度随弱面与主应力方向夹角的增大而逐渐增强;对于最小水平主应力则表现为先减弱后增强的特征。随生产时间推移,考虑力学弱面的情况下最大水平主应力方向偏转更显著,相应的加密井裂缝在未接触裂缝带时长轴延伸更长;接触裂缝带时横向扩展增强,长轴缩短、短轴增加,且上述差异随生产时间变化不大,体现弱面对地应力扰动初期主导、后期稳定的特征。文章研究揭示了天然弱面对中—深层页岩四维应力演化的扰动机制,为中—深层页岩气多井压裂与二次开发过程中地应力调控与压裂参数优化提供了理论依据和工程参考。
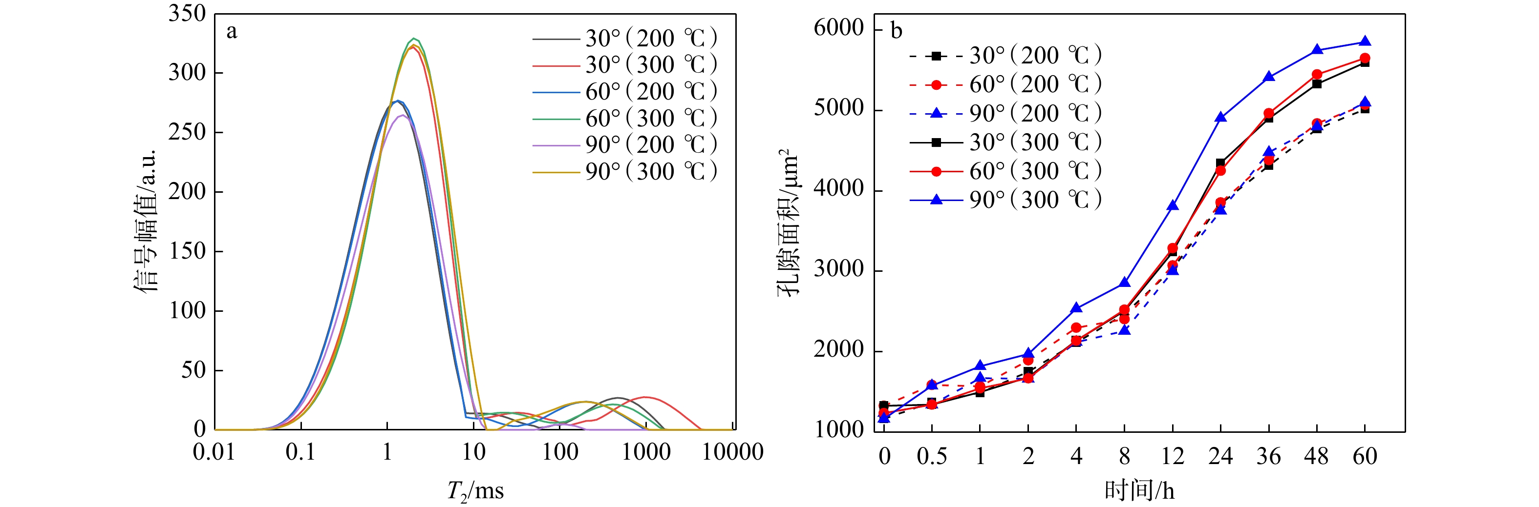
富倾斜层理深层页岩弹塑性变形与破坏规律的实验研究
霍庭旺, 汪道兵, 盛茂, 董永存, 王秋艳, 黄威翰, 宇波
2026, 32(1): 159-183. doi: 10.12090/j.issn.1006-6616.2025133
摘要 (1364) HTML (82) PDF (3621KB)(187)
摘要:
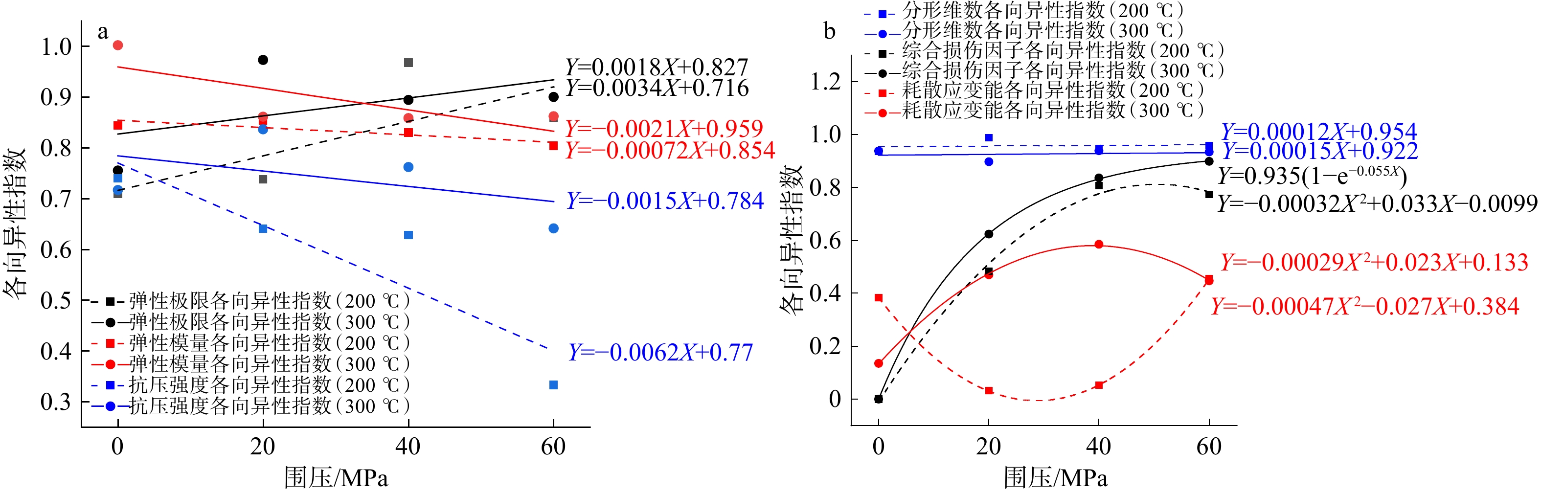
深层页岩储层具有高温高压及发育层理结构等特征。水力压裂过程中,其岩石力学性质随温压条件动态变化,层理结构的差异进一步导致其岩石力学性质表现出明显的各向异性。该研究利用高温三轴岩石力学实验系统,结合CT扫描、超声波测试、扫描电镜(SEM)、X射线衍射(XRD)及核磁共振等多种测试手段,对高温高压环境下层理性页岩的弹塑性变形行为与破坏特征及各向异性特征开展了系统性研究。结果表明,热应力促使层理结构发生膨胀,诱发热损伤裂隙发育,从而降低深层页岩力学强度。基于Mohr−Coulomb、Hoek−Brown及Drucker−Prager准则的综合分析表明,高温高压条件下深层页岩内聚力降低、内摩擦角增加,表现出更为显著的弹塑性特征。通过分形维数分析、能量耗散与损伤因子计算评估发现,高温作用加剧了深层页岩的损伤程度,增强了人工缝网的复杂结构。各向异性指数分析进一步表明,热应力强化了岩石的各向异性,而围压在一定程度上抑制了抗压强度和弹性模量的各向异性差异。综上,高温高压作用强化了深层页岩的弹塑性变形与破坏模式,并显著改变了不同层理倾角所引发的各向异性特征。研究成果可为深层页岩储层高效开发及水力压裂工程优化提供重要的力学依据和理论支持。
基于井震结合的三维裂缝复杂指数精细化表征
张金发, 冯永存, 何兵, 马思佳, 魏静怡, 邓金根
2026, 32(1): 184-196. doi: 10.12090/j.issn.1006-6616.2025059
摘要 (198) HTML (108) PDF (9867KB)(168)
摘要:
精准表征地层裂缝复杂程度对于评估井漏风险及压裂增产改造效果等油气钻采全生命周期各阶段作业状况具有重要意义。为解决现有裂缝特征参数无法全面表征裂缝复杂程度的问题,以中国渤海某油田为研究对象,综合考虑裂缝开度与裂缝密度对裂缝复杂程度的影响,采用层次分析法与熵权法主客观组合赋权方式,建立基于专家决策与测井资料的一维裂缝复杂指数模型,进一步利用地震反演获得的裂缝发育程度属性体作为克里金插值的约束条件,从而构建三维裂缝复杂指数属性体。利用融合裂缝开度与裂缝密度表征裂缝复杂程度的方法,求取已钻井一维裂缝复杂指数剖面,与成像测井图片对比,结果表明裂缝复杂指数越大,对应深度下的成像测井显示裂缝条数越多或裂缝开度越大,印证了该方法表征裂缝复杂程度的可行性;在三维裂缝复杂指数模型中提取已钻井所在属性体剖面,与地层岩性及双侧向电阻率剖面对比,结果表明裂缝复杂指数越大,其双侧向电阻率响应差异越大,同时该井段岩性对应为潜山花岗片麻岩裂缝发育段,进一步证实了该方法的可靠性。研究成果可为钻井工程漏失风险预测及可压性评估提供理论参考和工程指导。
考虑有效应力系数影响下地应力变化对页岩裂缝扩展影响研究
张晨曦, 唐慧莹, 唐裕鑫, 陈月, 邓文斌
2026, 32(1): 197-212. doi: 10.12090/j.issn.1006-6616.2025145
摘要 (1568) HTML (80) PDF (2631KB)(159)
摘要:
页岩气水平井多段压裂裂缝形态受地层三向应力分布影响,单井应力剖面是预测压裂缝高的重要依据,有效应力系数(Biot系数)及纵向网格分辨率均会影响应力剖面解释结果,进而影响缝高预测的准确性。文章采用不同Biot系数(常值及随测井变化函数)与不同纵向网格分辨率计算应力剖面,模拟分析不同应力剖面下平面三维裂缝形态差异,系统总结Biot系数对应力剖面及裂缝形态的影响规律,并进行纵向网格分辨率及Biot解释方法优选。结果显示:随着Biot系数降低,地层应力纵剖面变化幅度增大,水力裂缝纵向扩展能力受到抑制;提高压裂模型纵向网格分辨率有助于减小应力极值影响范围,1 m纵向网格分辨率下模拟效率与精度达到较好平衡;采用经验公式及孔弹性模型计算Biot系数所得结果相近,与室内实验结果误差为3.68%~3.93%,能更好匹配不同层位应力试验结果,且模拟缝高相较于Biot常值更接近实际井缝高监测结果,与同井位直改平井微地震监测缝高误差为8.64%~9.94%。由初始地应力拟合效果及后续模拟缝高与监测结果匹配程度可以看出,选取合理的Biot系数能更真实预测地应力分布及裂缝扩展形态。通过深入讨论Biot系数及纵向网格分辨率对应力剖面及裂缝形态影响,可为后续页岩气井应力分布计算及压裂缝高预测提供参考。
基于套外光纤监测的页岩油水平井压后产出效率评价
万有余, 林海, 周慰, 刘震, 江昊焱, 谢贵琪, 刘世铎, 刘永, 杨建轩, 伍坤宇
2026, 32(1): 213-226. doi: 10.12090/j.issn.1006-6616.2025090
摘要 (1566) HTML (80) PDF (2202KB)(150)
摘要:
柴达木盆地英雄岭地区页岩油资源丰富,水平井体积压裂是实现其高效开发的关键技术。为了能够更加精准地评价页岩油水平井体积压裂施工中的簇开启率和压后生产中的产出效率,基于光纤传感内在机理,深入探究套外光纤监测技术在页岩油压裂作业及生产评价中的独特优势,并系统剖析该技术于柴达木盆地页岩油水平井体积压裂实践中的应用成效。套外光纤监测资料解释表明,相较于均匀射孔方式,采取坡度射孔方式可使压裂施工中簇开启率由62%提升至88%,增幅26%;压后产出效率由0.94 m3/段提升到3.20 m3/段,提升幅度为2.4倍。此外,将金属性可溶桥的压裂作业控制在入井后8小时内,使施工漏液量减少了7.43%。文章研究成果和认识,为柴达木盆地英雄岭页岩油水平井体积压裂的射孔方式优选及桥塞入井后施工时机的抉择提供了精准指引。
多源数据驱动的页岩储层单井地应力智能预测方法及应用
申宝剑, 李丹, 何建华, 徐碧兰, 吴炎峰, 王濡岳, 蒋睿, 李瑞雪, 霍志周, 刘坤
2026, 32(1): 227-244. doi: 10.12090/j.issn.1006-6616.2025126
摘要 (1393) HTML (111) PDF (3480KB)(194)
摘要:
针对深层页岩具有“高温、高压、高应力及强塑性”的特点,现有地应力测试方法与测井解释模型存在预测精度低、耗时且推广能力弱等缺点,限制了地应力大小解释结果对页岩气勘探开发的有效指导。以川南复杂构造页岩气区块作为典型解剖区,充分利用井点钻、录、测、压裂等各类动、静态多源数据,并结合不同实验条件下的岩石物理参数、岩石力学及地应力大小的测试技术,采用机器学习与地质力学知识双向驱动的方法,构建了多方法融合的地应力大小智能预测方法,并将精细地应力解释剖面应用于页岩气高效开发。龙马溪组一段(龙一段)页岩受有机质含量、矿物组构及围压影响,使得整体下部①—④号小层的各向异性、力学性质及孔隙弹性效应明显强于上部小层。基于这种力学特征的差异,建立了适用于深层页岩的地应力各向同性解释模型。基于实验数据、工程数据及多向标定的地应力解释人工合成数据,形成了川南地区页岩储层地应力标准数据集。采用Pearson因子算法筛选了横波时差、电阻率、声波时差及杨氏模量等敏感特征参数,优化后的轻量级与极限梯度提升混合(L-XGBoost)融合智能模型实现三向地应力大小解释精度均在90%以上,且均方根误差、平均绝对误差及决定系数分别为6.63,3.89及0.91,具有推广泛化应用能力。纵向上受龙一段页岩岩相变化引起的力学强度波动,使其内部发育了4套应力隔挡层,其中①号层顶与⑥号层为2套强应力隔层,储隔应力差大于6 MPa,且褶皱变形挤压应力扰动区局部派生的挤压应力会增强纵向应力的隔挡作用,使得最小水平主应力值变大,造成压裂改造效果变差。研究揭示了龙一段页岩力学各向异性受控地质因素,并据此建立了适用于深层页岩的各向同性地应力解释模型。采用L-XGBoost融合智能模型实现三向地应力预测精度超过90%,明确了龙一段页岩4套应力隔挡层发育特征及其对压裂效果的影响。研究成果将为川东南复杂构造区页岩气纵向开发小层划分和水力压裂优化设计提供科学指导。
融合层序地层先验信息的测井岩相智能识别方法
张明迪, 李蒙, 刘远洋, 黄渊, 崔书岳
2026, 32(1): 245-257. doi: 10.12090/j.issn.1006-6616.2025108
摘要 (1135) HTML (138) PDF (6100KB)(192)
摘要:
岩相识别是储层表征的核心环节,对油气勘探开发具有重要意义。传统岩相识别主要依赖专家经验和人工解释,存在主观性强、效率低、一致性差等问题。文章针对碳酸盐岩生物礁、生屑滩等复杂岩相识别工作量大、精度低的难题,提出了一种层序地层先验约束下的深层碳酸盐岩测井岩相智能识别方法。该方法创新性地将层序地层学理论与深度学习技术深度融合,通过双分支神经网络架构分别提取测井响应特征和层序地层约束信息,并在特征空间实现有机融合,使模型在学习测井曲线数值模式的同时,遵循层序格架内岩相空间配置规律和垂向演化序列,有效解决了纯数据驱动方法易产生地质不合理预测的问题。方法采用自然伽马、声波时差、密度、电阻率等常规测井曲线及层序划分方案作为输入,利用卷积神经网络提取多尺度特征,通过长短时记忆模块(LSTM)实现岩相纵向演化的时序依赖关系建模。针对碳酸盐岩礁滩体发育规模,优选40 m样本长度以完整覆盖礁基−礁核−礁盖垂向序列或海平面旋回控制的沉积组合,并采用滑动时窗加权平均预测策略提升结果稳定性。元坝气田长兴组测井岩相识别应用表明,相比常规LSTM方法,新方法识别结果符合礁体演化规律,单井预测时间仅需5~10秒,效率较人工解释提升2~3个数量级,实现了岩相识别的自动化、智能化和地质合理化。
基于因果机器学习的页岩储层注CO2微观波及机制研究与主控因素分析
姜佳彤, 张翊航, 宋兆杰, 闫瑞升, 郑力军, 张凯星, 李培宇, 黄圣杰, Tangparitkul Suparit
2026, 32(1): 258-271. doi: 10.12090/j.issn.1006-6616.2025116
摘要 (1307) HTML (80) PDF (3811KB)(146)
摘要:
在废弃油气藏或咸水层注入CO2后,CO2−水−岩反应会改变储层孔喉物性参数,进而通过影响毛细管作用影响CO2微观波及效率。由于页岩岩芯孔喉结构复杂,不同结构的孔喉内CO2微观波及效率难以准确量化,制约了CO2注入方案的有针对性调整,进而影响了CO2地质封存的效果。通过构建多离子浓度场动态变化的格子玻尔兹曼模型,模拟不同物性储层中CO2−水−岩反应和CO2微观波及过程,形成了不同物性储层的CO2−水−岩反应数据集。在此基础上,基于双重机器学习框架,构建了CO2微观波及效率的因果学习模型,并引入随机森林算法,以CO2−水−岩反应时间作为连续型处理变量,系统量化了孔隙度、润湿性与平均孔径等关键孔喉物性参数对储层孔喉内CO2微观波及效率的影响权重。研究结果表明,高碳酸盐岩矿物(方解石)占比储层整体呈现更大的CO2微观波及效率,CO2−水−岩反应引发方解石溶解形成优势流动通道,同时亲油性方解石次生沉淀引发局部润湿性改变。“溶解−次生沉淀”动态过程通过改变储层孔喉结构及物性,从而影响毛细管作用,最终改变CO2流体的微观波及范围。然而,在相同矿物比例下,各样本的CO2微观波及效率存在差异,且方解石占比越大个体样本CO2微观波及效率极差越大,说明不同储层样本的物性差异显著影响CO2微观波及效率。结合因果学习识别影响CO2微观波及效率的关键孔喉物性参数,结果表明储层润湿性对于CO2波及的影响最为显著,中性偏水湿的储层孔喉中CO2的微观波及效率最高。通过构建CO2−水−岩反应格子玻尔兹曼模型并量化关键物性参数影响,为针对性调整CO2注入方案、增强CO2地质封存效果提供了参考与借鉴。
李四光科学思想与中国海洋石油事业开拓(1954—1971):基于史料考释与战略实践的研究
赵曼
2026, 32(1): 272-284. doi: 10.12090/j.issn.1006-6616.2025180
摘要 (1000) HTML (76) PDF (6991KB)(165)
摘要:
新中国成立前,“中国贫油论”在学术界盛行,中国石油勘探陷入理论认知与实践探索的双重困境。李四光运用地质力学理论,系统阐释中国构造体系的基本框架与核心特征,基于新华夏构造体系对中国东部油气资源的控制规律,提出“东西兼顾、陆海并举”的战略部署思路,确立“先找油区,再找油田”的勘探指导思想,构建起一整套科学完备的石油普查勘探方法论体系。大庆油田取得突破性进展后,李四光进一步部署“由陆及海”的渐进式策略,以渤海为起点,对中国全海域油气勘探布局进行系统规划,发出“向海洋进军”的战略号召,为中国海洋石油事业的起步与发展奠定了坚实的理论根基与实践基础。文章依托1954至1971年间李四光的书信、手稿、讲话、著作等珍贵史料,全面梳理其指导中国海洋石油勘探的完整实践历程,为理解科技自立自强、保障能源资源安全等国家战略的内在逻辑,提供重要的历史参照。
封二
封二
2026, 32(1).
摘要 (95) PDF (11557KB)(66)
摘要:
封三
封三
2026, 32(1).
摘要 (80) PDF (11488KB)(68)
摘要: