留言板

尊敬的读者、作者、审稿人, 关于本刊的投稿、审稿、编辑和出版的任何问题, 您可以本页添加留言。我们将尽快给您答复。谢谢您的支持!

姓名
邮箱
手机号码
标题
留言内容
验证码

准中地区深层八道湾组过渡相页岩成烃潜力研究

曾治平 李宝庆 王金铎 刘慧 李劭杰 甘润坤

曾治平,李宝庆,王金铎,等,2026. 准中地区深层八道湾组过渡相页岩成烃潜力研究[J]. 地质力学学报,32(1):67−83 doi: 10.12090/j.issn.1006-6616.2025111
引用本文: 曾治平,李宝庆,王金铎,等,2026. 准中地区深层八道湾组过渡相页岩成烃潜力研究[J]. 地质力学学报,32(1):67−83 doi: 10.12090/j.issn.1006-6616.2025111
ZENG Z P,LI B Q,WANG J D,et al.,2026. Hydrocarbon generation potential of deeply buried shales within the Jurassic transitional Badaowan Formation, central Junggar Basin[J]. Journal of Geomechanics,32(1):67−83 doi: 10.12090/j.issn.1006-6616.2025111
Citation: ZENG Z P,LI B Q,WANG J D,et al.,2026. Hydrocarbon generation potential of deeply buried shales within the Jurassic transitional Badaowan Formation, central Junggar Basin[J]. Journal of Geomechanics,32(1):67−83 doi: 10.12090/j.issn.1006-6616.2025111

准中地区深层八道湾组过渡相页岩成烃潜力研究

doi: 10.12090/j.issn.1006-6616.2025111
基金项目: 国家自然科学基金项目(42272207)
详细信息
    作者简介:

    曾治平(1977—),男,博士,研究员,从事石油地质专业。Email:zengzhiping.slyt@sinopec.com

    通讯作者:

    李宝庆(1986—),男,博士,副教授,从事石油地质专业。Email:libq@cug.edu.cn

  • 中图分类号: TE122.2;P618.13

Hydrocarbon generation potential of deeply buried shales within the Jurassic transitional Badaowan Formation, central Junggar Basin

Funds: This research was financially supported by the National Natural Science Foundation of China (Grant No. 42272207).
  • 摘要: 准噶尔盆地中部(准中地区)深层侏罗系八道湾组过渡相页岩是近年来非常规油气勘探的前沿阵地,而其页岩成烃潜力仍有待进一步厘定。准中地区阜康凹陷与东道海子凹陷最新勘探钻遇埋深超5000 m 的八道湾组页岩层系,为查明该区深层页岩成烃潜力提供了宝贵机遇。此次研究以阜康凹陷与东道海子凹陷深层八道湾组页岩为研究对象,通过运用有机地球化学、显微组分分析、热模拟实验、数值模拟、生物标志化合物分析等多种手段,探讨了准中八道湾组深层页岩成烃潜力。阜康凹陷与东道海子凹陷深层八道湾组页岩有机质丰度较高,总有机碳(TOC)含量分别为0.75%~5.06%和0.81%~5.27%,以II型和III型有机质为主。热演化程度表明该层段现今处于生油阶段(镜质体反射率Ro分别为0.70%~0.82%和0.51%~0.80%)。热史模拟显示,该套页岩于侏罗纪晚期进入生烃门限,于晚白垩世进入主生油期,生烃过程持续约150 Ma;岩石热解产烃率为380~500 mg/g。生物标志化合物参数指示了氧化还原条件频繁波动的过渡相环境特征,水生生物与陆源高等植物均有母质贡献。综上,准中地区深层八道湾组页岩成烃潜力大,是潜在页岩油气勘探目标。

     

  • 图  1  准噶尔盆地中部地区东道海子凹陷与阜康凹陷位置示意图、八道湾组沉积相图和地层综合柱状图

    a—准噶尔盆地构造分区;b—阜康凹陷与东道海子凹陷八道湾组沉积相图;c—研究区地层综合柱状图

    Figure  1.  Locations of the Dongdaohaizi and Fukang depressions in the central Junggar Basin and sedimentary facies of Badaowan Formation

    (a) Structural units of the Junggar Basin; (b) Lateral distribution of sedimentary facies of Badaowan Formation in the Fukang and Dongdaohaizi depressions; (c) Comprehensive strata column of the studied region

    图  2  准中深层八道湾组页岩典型有机组分荧光显微照片

    a—层状藻类体与富氢镜质体;b—孢子体与分散藻类体;c—胶质镜质体;d—角质体;e—藻类体和孢粉体;f—正常镜质体

    Figure  2.  Typical microscopic components in deeply buried shales of Badaowan Formation

    (a) Lamalginite and hydrogen-rich vitrinite; (b) Sporinite and dispersed alginate; (c) Gelocollinite; (d) Cutinite; (e) Alginite and sporomorph; (f) Vitrinite

    图  3  研究区八道湾组深层页岩有机地化特征散点图

    a—TOC−S1+S2散点图; b—Tmax−HI散点图; c—显微组分相对比例散点图; d—Ro深度散点图

    Figure  3.  Scatter plots of geochemical data for shale samples of the Badaowan Formation in the studied region

    (a) TOC–S1+S2 scatter plot; (b) Tmax–HI scatter plot; (c) Ternary plot of microscopic component proportion; (d) Ro–depth scatter plot

    图  4  准中地区阜康凹陷与东道海子凹陷深层八道湾组典型页岩烃类抽提物生物标志化合物谱图

    a—饱和烃总离子流图(TIC),董斜19井, 7179 m;b—m/z 191质量测谱图(萜烷),董斜19井,7179 m;c—m/z 217质量测谱图(甾烷),董斜19井,7179 m;d—饱和烃总离子流图(TIC),成601井,6496 m;e—m/z 191质量测谱图(萜烷),成601井,6496 m;f—m/z 217质量测谱图(甾烷),成601井,6496 m

    Figure  4.  Chromatographs of biomarkers from organic extracts of typical shales within the Badaowan Formation in the Fukang and Dongdaohaizi depressions of the central Junggar Basin

    (a) Total ion chromatograph of saturated hydrocarbons, TIC, Well Dongxie-19, 7179 m; (b) Terpanes, m/z 191, Well Dongxie-19, 7179 m; (c) steranes, m/z 217, Well Dongxie-19, 7179 m; (d) TIC of saturated hydrocarbons, Well Cheng-601, 6496 m; (e) Terpanes, m/z 191, Well Cheng-601, 6496 m; (f) Steranes, m/z 217, Well Cheng-601, 6496 m

    图  5  准中地区阜康凹陷与东道海子凹陷深层八道湾组典型页岩抽提物生物标志化合物参数统计图

    a—伽马蜡烷指数柱状图;b—Pr/C17−Ph/C18散点图;c—C27−C28−C29规则甾烷相对比例散点图;d—C29Ts/(C29Ts+C29降藿烷)−莫烷/藿烷散点图;e—C29ααα20S/(20S+20R)规则甾烷−C29αββ/(αββ+ααα)规则甾烷散点图;f—Ts/(Ts+Tm)−C3122S/(22S+22R)藿烷散点图

    Figure  5.  Plots of biomarker ratios for organic extracts from deeply buried shales within the Badaowan Formation in the Fukang and Dongdaohaizi depressions of the central Junggar Basin

    (a) Histogram of gammacerane index; (b) Pr/C17 vs. Ph/C18 scatter plot; (c) Ternary plot of C27–C28– C29 regular sterane proportions; (d) C29Ts/(C29Ts+C29)hopane vs. moretane/hopane scatter plot; (e) C2920S/(20S+20R) vs. C29αββ/(αββ+ααα) regular sterane scatter plot; (f) Ts/(Ts+Tm) vs. C3122S/(22S+22R) hopane scatter plot

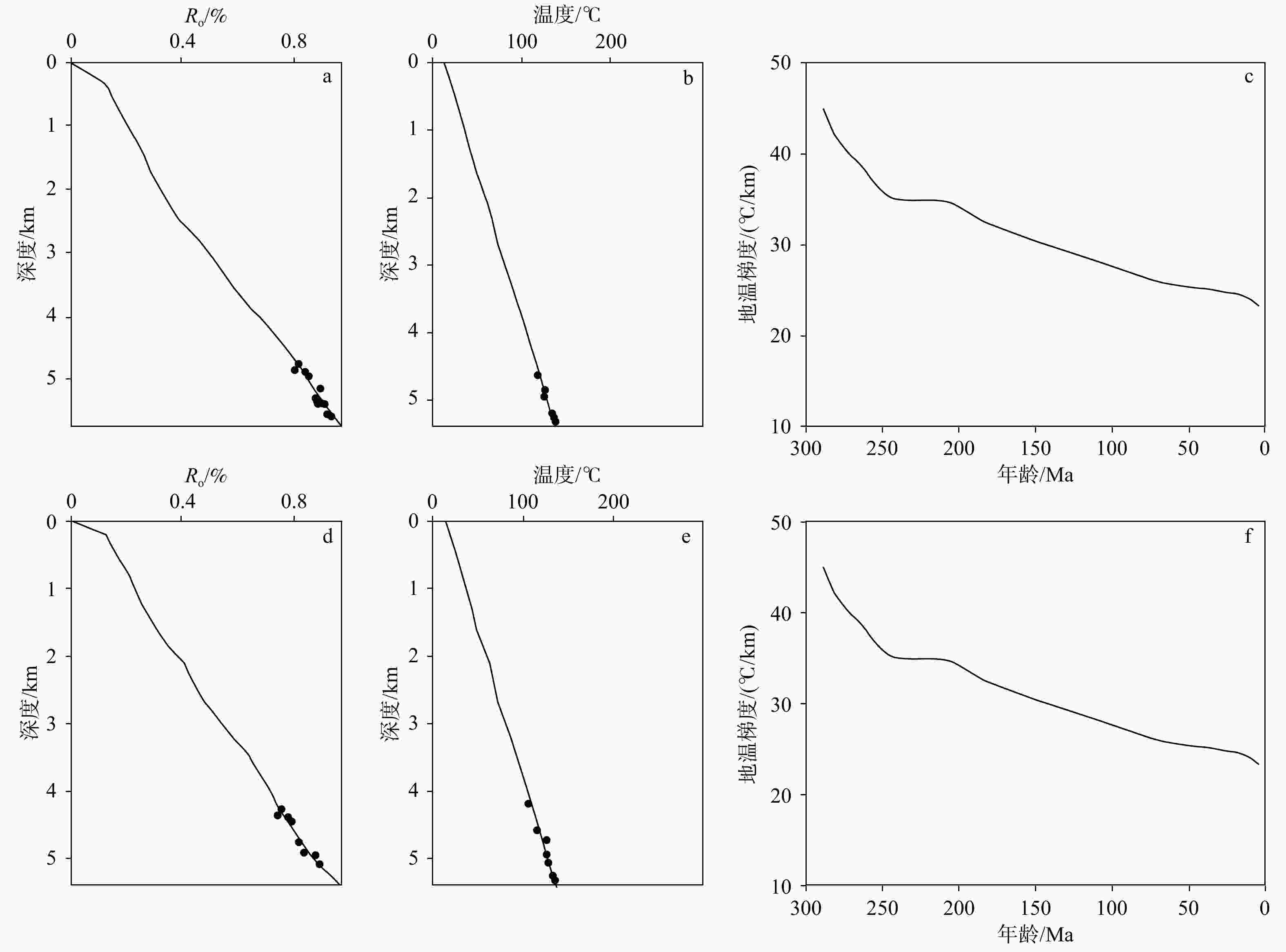
    图  6  准中地区阜康凹陷与东道海子凹陷典型单井模拟Ro、地层温度及地温梯度曲线

    a—阜康凹陷董6井Ro−深度关系图; b—阜康凹陷董6井地层温度−深度关系图; c—阜康凹陷董6井地温梯度−时间关系图; d—东道海子凹陷成1井Ro−深度关系图; e—东道海子凹陷成1井地层温度−深度关系图; f—东道海子凹陷成1井地温梯度−时间关系图

    Figure  6.  Ro, formation temperature and temperature gradient used for basin modeling of typical deeply drilled wells in the Fukang and Dongdaohaizi depressions of the central Junggar Basin

    (a) Ro–depth relation of Well Dong-6 in the Fukang depression; (b) Formation temperature–depth relation of Well Dong-6 in the Fukang depression; (c) Temperature gradient–time relation of Well Dong-6 in the Fukang depression; (d) Ro–depth relation of Well Cheng-1 in the Dongdaohaizi depression; (e) Formation temperature–depth relation of Well Cheng 1 in the Dongdaohaizi depression; (f) Temperature gradient–time relation of Well Cheng-1 in the Dongdaohaizi depression

    图  7  准中地区阜康凹陷与东道海子凹陷典型深井地层热演化史示意图

    a—阜康凹陷董6井;b—东道海子凹陷成1井

    Figure  7.  Thermal history modeling results of typical deeply drilled wells in the Fukang and Dongdaohaizi depressions of the central Junggar Basin

    (a) Well Dong-6 in the Fukang depression; (b) Well Cheng-1 in the Dongdaohaizi depression

    图  8  八道湾组页岩热模拟实验烃类产率随成熟度变化图

    a—总烃产率; b—液态烃产率; c—气态烃产率

    Figure  8.  Hydrocarbon product yields of shales within the Badaowan Formation during hydrous pyrolysis experiments

    (a) Total hydrocarbons; (b) Liquid hydrocarbons; (c) Gaseous hydrocarbons

    图  9  准中地区深层八道湾组页岩成烃成藏模式图(A−A’测线位置见图1b)

    Figure  9.  Petroleum formation and accumulation mode of deeply buried shales within the Badaowan Formation in the central Junggar Basin (Location of the line A–A’ is shown in the Fig. 1b)

    表  1  阜康凹陷与东道海子深层八道湾组页岩分析测试列表

    Table  1.   Geochemical analysis list of deeply buried shales within the Badaowan Formation in the Fukang and Dongdaohaizi depressions

    层位凹陷井名深度/m测试项目及数量
    岩石热解显微组分镜质体反射率生物标志化合物



    阜康凹陷董斜197070~720010555
    董175500~58008120
    董65600~56658120
    董27050~70708220
    董165300~53508110
    东道海子凹陷成6016489~649912586
    成15020~520012460
    成64620~475012580
    下载: 导出CSV

    表  2  准中地区东道海子凹陷与阜康凹陷深层八道湾组页岩有机地化特征

    Table  2.   Organic geochemical features of deeply buried shales within the Badaowan Formation in the Dongdaohaizi and Fukang depressions of the central Junggar Basin

    岩性 东道海子凹陷暗色页岩 阜康凹陷暗色泥岩
    HI/(mg/g) 67.63~510.59
    150.03
    43.25~410.60
    115.96
    TOC /% 0.81~5.27
    1.87
    0.75~5.06
    1.46
    S1+S2 /(mg/g) 1.83~16.02
    4.02
    0.52~9.38
    3.58
    Tmax / ℃ 435.2~445.8
    441.6
    436.1~449.1
    446.3
    Ro/% 0.51~0.80
    0.63
    0.70~0.82
    0.75
    注:最小值~最大值
       平均值
    下载: 导出CSV

    表  3  准中地区阜康凹陷与东道海子凹陷深层八道湾组典型页岩有机显微组分特征表

    Table  3.   Organic microscopic components in typical shales of the deeply buried Badaowan Formation in the Dongdaohaizi and Fukang depressions within the central Junggar Basin

    凹陷 井名 深度/m 有机显微组分/%
    镜质组 惰质组 壳质组 腐泥组
    阜康凹陷董2705529.08.346.316.4
    董2706220.70079.3
    董斜19717936.427.324.212.1
    董斜19716045.524.218.212.1
    董斜19713532.332.319.416.1
    董斜19711529.524.632.813.1
    董斜19707630.027.525.017.5
    董16531035.326.538.20
    董17555544.427.822.25.6
    董6566333.3029.637.0
    东道海子凹陷成1504135.10064.9
    成1504492.67.400
    成1508946.0038.016.0
    成1512229.7033.337.0
    成601459837.044.418.50
    成601459430.630.622.216.7
    成601454442.131.610.515.8
    成601451526.547.120.65.9
    成601446729.432.426.511.8
    成6465236.409.154.5
    成6462441.7043.315.0
    成6468825.0033.341.7
    成6470219.7032.348.0
    成6464834.0054.012.0
    下载: 导出CSV

    表  4  准中地区阜康凹陷与东道海子凹陷深层典型八道湾组页岩抽提物生物标志化合物比值参数表

    Table  4.   Biomarker ratios of organic extracts from typical shales within the Badaowan Formation in the Fukang and Dongdaohaizi depressions in the central Junggar Basin

    凹陷 井名 深度/m A B C D E F G H I J K L M N O P Q
    阜康凹陷 董斜19 7179 2.98 0.59 0.72 1.68 0.20 0.08 0.57 0.17 0.67 0.41 33.43 23.52 43.05 0.58 0.43
    7160 0.86 0.58 0.25 1.24 0.33 0.07 0.57 0.15 0.55 0.36 29.21 21.65 49.14 0.49 0.34 0.54 0.54
    7135 0.85 0.69 0.23 1.85 0.22 0.12 0.52 0.24 0.51 0.29 33.95 30.90 35.15 0.47 0.51 0.56 0.61
    7115 0.89 0.65 0.17 1.27 0.17 0.10 0.57 0.19 0.52 0.23 35.64 27.43 36.93 0.52 0.46 0.61 0.65
    7076 3.30 0.76 0.26 1.42 0.24 0.14 0.57 0.18 0.60 0.39 39.80 21.87 38.33 0.52 0.56
    东道海子凹陷 成601 6489 0.90 0.75 0.23 0.99 0.21 0.08 0.55 0.14 0.62 0.37 36.82 20.31 42.88 0.56 0.51 0.55 0.56
    6492 2.33 0.63 0.26 1.33 0.19 0.08 0.57 0.16 0.52 0.33 26.95 26.12 46.93 0.50 0.47
    6496 0.89 0.71 0.52 1.41 0.16 0.16 0.61 0.12 0.47 0.25 24.71 38.22 37.06 0.57 0.49 0.58 0.63
    6497 1.04 0.67 0.44 1.42 0.19 0.19 0.58 0.13 0.46 0.26 36.52 37.39 26.09 0.62 0.48
    6498 0.74 0.60 0.39 0.85 0.19 0.19 0.58 0.13 0.47 0.28 30.10 30.20 39.69 0.40 0.50 0.59 0.66
    6499 0.71 0.61 0.50 1.09 0.21 0.18 0.57 0.14 0.55 0.28 35.30 29.50 35.20 0.39 0.42
    注:A—Pr/Ph;B—C24/C23长链三环萜;C—C22/C21长链三环萜;D—C26/C25长链三环萜;E—C31 R/C30藿烷;F—伽马蜡烷指数;G—C31 22S/(22S+22R)藿烷;H—莫烷/藿烷;I—Ts/(Ts+Tm),Ts—18α(H)-22,29,30-三降藿烷;Tm—17α(H)-22,29,30-三降藿烷;J—C29Ts/(C29Ts+C29降藿烷);K—C27规则甾烷 /%;L—C28规则甾烷 /%;M—C29规则甾烷/%;N—C29 20S/(20S+20R) 规则甾烷; O—C29 αββ/(αββ+ααα)规则甾烷;P—MPI(甲基菲指数);Q—TrMN(三甲基萘指数)
    下载: 导出CSV

    表  5  八道湾组页岩热模拟实验烃类产率

    Table  5.   Hydrocarbon yields during hydrous pyrolysis experiments of shales within the Badaowan Formation

    温度 /℃ Ro /% 总烃产率 /(mg/g) 液态烃产率/ (mg/g) 气态烃产率/ (mg/g)
    300 0.73 248 240 8
    325 1.08 466 435 31
    350 1.22 519 475 44
    375 1.31 522 466 56
    400 1.48 530 461 69
    425 1.55 560 472 88
    450 2.45 620 470 150
    475 3.05 649 472 177
    500 3.52 662 470 192
    525 4.03 681 471 210
    下载: 导出CSV
  • [1] BERGSTRÖM S M, HUFF W D, KOLATA D R, 1998. The Lower Silurian Osmundsberg K-bentonite. Part I: stratigraphic position, distribution, and palaeogeographic significance[J]. Geological Magazine, 135(1): 1-13.
    [2] CHEN L, YANG Y T, WANG F, et al., 2020. Exploration History and Enlightenment in Junggar Basin[J]. Xinjiang Petroleum Geology, 41(5): 505-518. (in Chinese with English abstract)
    [3] CHEN L, ZHENG L J, HUANG H P, et al. , 2022. Carbon isotopic evolution of hydrocarbon gases generated from carbonate source rocks via different thermal simulation methods[J]. Petroleum Geology & Experiment, 44(1): 121-128, 138. (in Chinese with English abstract)
    [4] DAI J X, DONG D Z, NI Y Y, et al., 2024. Distribution patterns of tight sandstone gas and shale gas[J]. Petroleum Exploration and Development, 51(4): 667-678. (in Chinese with English abstract) doi: 10.1016/s1876-3804(24)60505-7
    [5] DING J H, SUN J S, ZHANG J C, et al., 2022. Elemental geochemical evidence for controlling factors and mechanisms of transitional organic matter accumulation: the upper Permian Longtan Formation black shale in the Lower Yangtze region, South China[J]. Journal of Natural Gas Science and Engineering, 98: 104385. doi: 10.1016/j.jngse.2021.104385
    [6] General Administration of Quality Supervision, Inspection and Quarantine of the People's Republic of China, Standardization Administration of the People's Republic of China, 2013. Rock pyrolysis analysis: GB/T 18602—2012 [S]. Beijing: China Standards Press. (in Chinese)
    [7] General Administration of Quality Supervision, Inspection and Quarantine of the People's Republic of China, Standardization Administration of the People's Republic of China, 2014. Classification of macerals for bituminous coal GB/T 15588—2013[S]. Beijing: China Standards Press.(in Chinese)
    [8] GONÇALVES P A, KUS J, HACKLEY P C, et al., 2024. The petrology of dispersed organic matter in sedimentary rocks: review and update[J]. International Journal of Coal Geology, 294: 104604. doi: 10.1016/j.coal.2024.104604
    [9] GONG Y J, ZHANG K H, ZENG Z P, et al., 2021. Origin of overpressure, vertical transfer and hydrocarbon accumulation of Jurassic in Fukang Sag, Junggar Basin[J]. Earth Science, 46(10): 3588-3600. (in Chinese with English abstract)
    [10] GUO R C, SUI F G, ZENG Z P, et al. , 2016. Aromatic parameter reconstruction of crude oil maturity and its application in Hala'alate area[J]. Petroleum Geology & Experiment, 38(5): 679-684, 691. (in Chinese with English abstract)
    [11] GUO X S, ZHOU D H, ZHAO P R, et al., 2022. Progresses and directions of unconventional natural gas exploration and development in the Carboniferous-Permian coal measure strata, Ordos Basin[J]. Oil & Gas Geology, 43(5): 1013-1023. (in Chinese with English abstract)
    [12] HE D F, ZHANG L, WU S T, et al., 2018. Tectonic evolution stages and features of the Junggar Basin[J]. Oil & Gas Geology, 39(5): 845-861. (in Chinese with English abstract)
    [13] HE Z L, NIE H K, HU D F, et al., 2020. Geological problems in the effective development of deep shale gas: a case study of Upper Ordovician Wufeng-Lower Silurian Longmaxi formations in Sichuan Basin and its periphery[J]. Acta Petrolei Sinica, 41(4): 379-391. (in Chinese with English abstract)
    [14] JING Z H, GAO S, RODRIGUES S, et al., 2021. Influence of porosity on the reactivity of inertinite and vitrinite toward sodium hypochlorite: implications for enhancing coal seam gas development[J]. International Journal of Coal Geology, 237: 103709. doi: 10.1016/j.coal.2021.103709
    [15] JING Z H, PAN S Q, WANG X M, et al., 2022. Oxidant stimulation to enhance coal seam permeability mechanism and application[J]. Journal of China Coal Society, 47(11): 3975-3989. (in Chinese with English abstract)
    [16] KILLOPS S D, ALLIS R G, FUNNELL R H, 1996. Carbon dioxide generation from coals in Taranaki Basin, New Zealand: implications for petroleum migration in Southeast Asian Tertiary basins[J]. AAPG Bulletin, 80(4): 545-568. doi: 10.1306/64ed8840-1724-11d7-8645000102c1865d
    [17] LEWAN M D, KOTARBA M J, WIĘCŁAW D, et al., 2008. Evaluating transition-metal catalysis in gas generation from the Permian Kupferschiefer by hydrous pyrolysis[J]. Geochimica et Cosmochimica Acta, 72(16): 4069-4093. doi: 10.1016/j.gca.2008.06.003
    [18] LI G X, JIA C Z, ZHAO Q, et al., 2025. Coal-rock gas accumulation mechanism and the whole petroleum system of coal measures[J]. Petroleum Exploration and Development, 52(1): 33-49. doi: 10.1016/S1876-3804(25)60003-6
    [19] LI J, JIANG Z L, LUO X, et al., 2009. Geochemical characteristics of coal-measure source rocks and coal-derived gas in Junggar Basin, NW China[J]. Petroleum Exploration and Development, 36(3): 365-374. (in Chinese with English abstract) doi: 10.1016/s1876-3804(09)60133-6
    [20] LI S J, ZHENG L J, GUO X W, 2022a. Thermal evolution and hydrocarbon generation capacity of typical Palaeozoic marine source rocks in the South China Craton: Constrains from semiclosed artificial thermal maturation experiments[J]. Lithosphere 13, 9072890.
    [21] LI S J, GUO X W, WANG B, et al., 2024. Recognition of a hydrothermally linked oil accumulation process in the Tahe oil field, northwestern China, with organic geochemistry, Re-Os, and U-Pb geochronology. AAPG Bulletin 108(8), 1485-1508.
    [22] LI S J, GUO X W, ZHENG L J, 2022b. Carbon-hydrogen isotopic systematics of gases generated in semi-closed hydrous pyrolysis of type I source rock with the presence of formation water: Implications for gas isotope partitioning under supercritical conditions. Marine and Petroleum Geology 142, 105735.
    [23] LI S J, GUO X W, ZHENG L J, et al., 2023. Semi-closed hydrous pyrolysis of type I source rock using formation water: Implications for biomarker behaviour under supercritical conditions[J]. Marine and Petroleum Geology, 158: 106510. doi: 10.1016/j.marpetgeo.2023.106510
    [24] LIANG M L, WANG Z X, LI C L, et al., 2020. Effect of structural deformation on permeability evolution of marine shale reservoirs[J]. Journal of Geomechanics, 26(6): 840-851. (in Chinese with English abstract)
    [25] LIU C W, GUO X G, WANG Z S, et al., 2020. Study on hydrocarbon accumulation stage of Jurassic Toutunhe Formation in Fudong Slope, Junggar Basin[J]. Natural Gas Geoscience, 31(7): 962-969. (in Chinese with English abstract)
    [26] LIU G Y, SONG Y, MAO X J, et al., 2024. Main strategies and orientations for high-efficiency exploration in Junggar Basin[J]. China Petroleum Exploration, 29(1): 47-64. (in Chinese with English abstract)
    [27] LIU G Y, SONG Y, MAO X J, et al., 2024. Main strategies and orientations for high-efficiency exploration in Junggar Basin[J]. China Petroleum Exploration, 29(1): 47-64. (in Chinese with English abstract)
    [28] LIU Q Y, JIN Z J, GAO B, et al., 2010. Characterization of gas pyrolysates from different types of Permian source rocks in Sichuan Basin[J]. Natural Gas Geoscience, 21(5): 700-704. (in Chinese with English abstract)
    [29] LIU W B, XU X Y, BAI J, et al., 2025. Shale Oil: a new strategic energy[J]. Bulletin of Mineralogy, Petrology and Geochemistry, 44(1): 1-5. (in Chinese)
    [30] LUO Q Y, ZHONG N N, ZHU L, et al., 2013. Correlation of burial organic carbon and paleoproductivity in the Mesoproterozoic Hongshuizhuang Formation, northern North China[J]. Chinese Science Bulletin, 58(11): 1299-1309. doi: 10.1007/s11434-012-5534-z
    [31] MA J, ZHANG G L, LIU S Q, et al., 2025. Sedimentary evolution and main controlling factors during the Lower Jurassic in the central Junggar Basin[J]. Journal of Chengdu University of Technology (Science & Technology Edition), 52(3): 542-557. (in Chinese with English abstract)
    [32] MA X H, ZHANG X W, XIONG W, et al., 2023. Prospects and challenges of shale gas development in China[J]. Petroleum Science Bulletin, 8(4): 491-501. (in Chinese with English abstract)
    [33] MAO R, MI J K, ZHANG S C, et al., 2012. Study on the hydrocarbon generation characteristics of different-coaly source rocks by gold-tube pyrolysis experiments[J]. Natural Gas Geoscience, 23(6): 1127-1134. (in Chinese with English abstract)
    [34] MAO X J, LI Y P, LIANG Z L, et al., 2024. Hydrocarbon accumulation conditions and exploration potential of the Jurassic coal measure gas in Junggar Basin[J]. China Petroleum Exploration, 29(4): 31-43. (in Chinese with English abstract)
    [35] MOHSENIAN E, FATHI-MOBARAKABAD A, SACHSENHOFER R F, et al., 2014. 3D basin modelling in the Central Persian Gulf, offshore Iran[J]. Journal of Petroleum Geology, 37(1): 55-70. doi: 10.1111/jpg.12569
    [36] National Energy Administration, 2016. Method of thermal simulation in gold tubes for hydrocarbon generation of source rocks: SY/T 7035—2016[S]. Beijing: Petroleum Industry Press. (in Chinese)
    [37] PETERS K E, FOWLER M G, 2002. Applications of petroleum geochemistry to exploration and reservoir management[J]. Organic Geochemistry, 33(1): 5-36. doi: 10.1016/S0146-6380(01)00125-5
    [38] PETERSEN H I, ANDSBJERG J, BOJESEN-KOEFOED J A, et al., 2000. Coal-generated oil: source rock evaluation and petroleum geochemistry of the Lulita oilfield, Danish North Sea[J]. Journal of Petroleum Geology, 23(1): 55-90. doi: 10.1111/j.1747-5457.2000.tb00484.x
    [39] QIAO J Q, LIU L F, SHANG X Q, et al., 2023. Application and effectiveness analysis of the hydrocarbon-migration tracing: a case study of hydrocarbons from the Jurassic Badaowan Formationin of the Baijiahai high in the Junggar Basin, China[J]. Bulletin of Mineralogy, Petrology and Geochemistry, 42(1): 107-121. (in Chinese with English abstract)
    [40] QIU N S, YANG H B, WANG X L, 2002. Tectono-thermal evolution in the Junggar Basin[J]. Chinese Journal of Geology, 37(4): 423-429. (in Chinese with English abstract)
    [41] REN X C, XIU J L, LIU L, et al., 2023. Late Paleozoic-Mesozoic structural style, deformation sequence, and formation process and mechanism of the checkboard structure in the eastern Junggar Basin[J]. Journal of Geomechanics, 29(2): 155-173. (in Chinese with English abstract)
    [42] SHEN B J, YANG Y F, TENG G E, et al. , 2016. Characteristics and hydrocarbon significance of organic matter in shale from the Jiaoshiba structure, Sichuan Basin: a case study of the Wufeng-Longmaxi formations in well Jiaoye1[J]. Petroleum Geology & Experiment, 38(4): 480-488, 495. (in Chinese with English abstract)
    [43] SONG Z J, DENG S, SONG Y L, et al., 2024. High-pressure phase behavior and mass transfer law of Gulong shale oil and CO2 in Daqing oilfield[J]. Acta Petrolei Sinica, 45(2): 390-402. (in Chinese with English abstract)
    [44] SUMMONS R E, POWELL T G, BOREHAM C J, 1988. Petroleum geology and geochemistry of the Middle Proterozoic McArthur Basin, northern Australia: III. Composition of extractable hydrocarbons[J]. Geochimica et Cosmochimica Acta, 52(7): 1747-1763. doi: 10.1016/0016-7037(88)90001-4
    [45] SWEENEY J J, BURNHAM A K, 1990. Evaluation of a simple model of vitrinite reflectance based on chemical kinetics[J]. AAPG Bulletin, 74(10): 1559-1570.
    [46] TAN J Q, WANG Z H, WANG W H, et al., 2021. Depositional environment and hydrothermal controls on organic matter enrichment in the lower Cambrian Niutitang shale, southern China[J]. AAPG Bulletin, 105(7): 1329-1356. doi: 10.1306/12222018196
    [47] VOLKMAN J K, BARRETT S M, BLACKBURN S I, et al., 1998. Microalgal biomarkers: a review of recent research developments[J]. Organic Geochemistry, 29(5-7): 1163-1179. doi: 10.1016/S0146-6380(98)00062-X
    [48] WANG F Y, FENG W P, PANG X Q, et al., 2023. Key problems and solutions in quantitative analysis of hydrocarbon generation, expulsion, migration and accumulation in whole petroleum system[J]. Acta Petrolei Sinica, 44(9): 1434-1444. (in Chinese with English abstract)
    [49] WANG J D, ZENG Z P, XU B B, et al., 2024. Fluid phase and hydrocarbon reservoir types of Permian Upper Urho Formation in Shawan Sag, Junggar Basin[J]. Lithologic Reservoirs, 36(1): 23-31. (in Chinese with English abstract)
    [50] WANG N, LI R X, WANG X Z, et al., 2016. Pyrolytic study on the gas-generating process of transitional shale[J]. Natural Gas Geoscience, 27(1): 189-197. (in Chinese with English abstract)
    [51] WANG Q J, ZHOU J, ZHANG F Q, et al., 2025. Research on the charging periods of the ultra-shallow play in front of the Hashan area, northwestern margin of the Junggar Basin[J]. Journal of Geomechanics, 31(3): 491-505. (in Chinese with English abstract)
    [52] WANG W, WANG J T, XIN J, et al., 2024. Mechanism of fluid shale interaction and construction of drilling fluid system in marine land transitional shale reservoirs[J]. Drilling Fluid & Completion Fluid, 41(4): 427-436. (in Chinese with English abstract)
    [53] WANG Z C, HUANG S P, GONG D Y, et al., 2013. Geochemical characteristics of natural gases in the Upper Triassic Xujiahe Formation in the southern Sichuan Basin, SW China[J]. International Journal of Coal Geology, 120: 15-23. doi: 10.1016/j.coal.2013.09.002
    [54] XIANG W, JIANG W L, LIU C W, et al., 2025. Geochemical characteristics and genesis of Jurassic coal measure gas in Baijiahai Uplift, Junggar Basin[J]. Natural Gas Geoscience, 36(2): 367-379. (in Chinese with English abstract)
    [55] ZHANG J C, LI Z, WANG D S, et al., 2022. Shale gas accumulation patterns in China[J]. Natural Gas Industry, 42(8): 78-95. (in Chinese with English abstract)
    [56] ZHANG M, LI X Q, ZHANG J Z, et al. , 2019. Reservoir-forming conditions of shale gas in Badaowan Formation in Fukang area, Xinjiang[J]. Coal Geology & Exploration, 47(2): 103-110, 120. (in Chinese with English abstract)
    [57] ZHAO J Y, JI D S, WU J, et al., 2022. Research on rock mechanics parameters of the Jurassic-Cretaceous reservoir in the Sikeshu sag, Junggar Basin, China[J]. Journal of Geomechanics, 28(4): 573-582. (in Chinese with English abstract)
    [58] ZHAO Y L, LIANG H B, JING C, et al., 2019. A new method for quick EUR evaluation of shale gas wells[J]. Journal of Southwest Petroleum University (Science & Technology Edition), 41(6): 124-131. (in Chinese with English abstract)
    [59] ZHI D M, XIE A, YANG F, et al., 2024. Exploration prospects of the whole oil and gas system in the Permian hydrocarbon depressions in the eastern Junggar Basin[J]. Journal of Geomechanics, 30(5): 781-794. (in Chinese with English abstract)
    [60] ZHAO Z, FENG Q, LIU X, et al., 2022. Petroleum maturation processes simulated by high-pressure pyrolysis and kinetic modeling of low-maturity type I Kerogen. Energy & Fuels 36, 1882-1893.
    [61] ZHONG M Y, XU J Y, XU Y H, et al., 2025. Molecular geochemical characteristics of expelled and retained oil during thermal evolution of source rocks in the brackish lake phase and their geological significance[J]. Bulletin of Mineralogy, Petrology and Geochemistry, 44(1): 134-146. (in Chinese with English abstract) doi: 10.3724/j.issn.1007-2802.20240124
    [62] ZHOU L H, CHEN C W, CUI Y, et al., 2023. New fields, new types and resource potentials of oil-gas exploration in Huanghua depression of Bohai Bay Basin[J]. Acta Petrolei Sinica, 44(12): 2160-2178. (in Chinese with English abstract)
    [63] ZOU C N, ZHU R K, CHEN Z Q, et al., 2019. Organic-matter-rich shales of China[J]. Earth-Science Reviews, 189: 51-78. doi: 10.1016/j.earscirev.2018.12.002
    [64] ZOU C N, ZHAO Q, WANG H Y, et al., 2022. The main characteristics of marine shale gas and the theory & technology of exploration and development in China[J]. Natural Gas Industry, 42(8): 1-13. (in Chinese with English abstract)
    [65] 国家标准GB/T18602-2012, 岩石热解分析[S].
    [66] 陈磊, 杨镱婷, 汪飞, 等, 2020. 准噶尔盆地勘探历程与启示[J]. 新疆石油地质, 41(5): 505-518. doi: 10.11781/sysydz202201121
    [67] 陈磊, 郑伦举, 黄海平, 等, 2022. 碳酸盐岩烃源岩不同热模拟方式下气体碳同位素演变特征[J]. 石油实验地质, 44(1): 121-128, 138. doi: 10.11698/PED.20240377
    [68] 戴金星, 董大忠, 倪云燕, 等, 2024. 致密砂岩气藏与页岩气藏展布模式[J]. 石油勘探与开发, 51(4): 667-678.
    [69] 宫亚军, 张奎华, 曾治平, 等, 2021. 准噶尔盆地阜康凹陷侏罗系超压成因, 垂向传导及油气成藏[J]. 地球科学, 46(10): 3588-3600.
    [70] 国家能源局, 2016.黄金管生烃热模拟实验方法: SY/T 7035—2016 [S]. 北京: 石油工业出版社. doi: 10.11781/sysydz201605679
    [71] 郭瑞超, 隋风贵, 曾治平, 等, 2016. 芳烃参数重建原油成熟度及其在哈山地区的应用[J]. 石油实验地质, 38(5): 679-684, 691. doi: 10.11743/ogg20220501
    [72] 郭旭升, 周德华, 赵培荣, 等, 2022. 鄂尔多斯盆地石炭系-二叠系煤系非常规天然气勘探开发进展与攻关方向[J]. 石油与天然气地质, 43(5): 1013-1023.
    [73] 国家标准GB/T15588, 烟煤显微组分分类[S].
    [74] 国家标准GB/T 18606—2025 , 沉积物和原油中生物标志化合物的气相色谱-质谱测定方法 [S].
    [75] 何登发, 张磊, 吴松涛, 等, 2018. 准噶尔盆地构造演化阶段及其特征[J]. 石油与天然气地质, 39(5): 845-861. doi: 10.11743/ogg20180501
    [76] 何治亮, 聂海宽, 胡东风, 等, 2020. 深层页岩气有效开发中的地质问题: 以四川盆地及其周缘五峰组—龙马溪组为例[J]. 石油学报, 41(4): 379-391.
    [77] 荆振华, 潘松圻, 王小明, 等, 2022. 煤储层氧化增渗作用机理及应用[J]. 煤炭学报, 47(11): 3975-3989. doi: 10.13225/j.cnki.jccs.L022.1145
    [78] 李剑, 姜正龙, 罗霞, 等, 2009. 准噶尔盆地煤系烃源岩及煤成气地球化学特征[J]. 石油勘探与开发, 36(3): 365-374.
    [79] 梁明亮, 王宗秀, 李春麟, 等, 2020. 构造变形对海相页岩储层渗透率演化的影响[J]. 地质力学学报, 26(6): 840-851. doi: 10.12090/j.issn.1006-6616.2020.26.06.066
    [80] 刘超威, 郭旭光, 王泽胜, 等, 2020. 准噶尔盆地阜康凹陷东斜坡侏罗系头屯河组油气成藏期次[J]. 天然气地球科学, 31(7): 962-969. doi: 10.11764/j.issn.1672-1926.2020.03.012
    [81] 刘国勇, 宋永, 毛新军, 等, 2024. 准噶尔盆地高效勘探主要策略与方向[J]. 中国石油勘探, 29(1): 47-64. doi: 10.3969/j.issn.1672-7703.2024.01.004
    [82] 刘全有, 金之钧, 高波, 等, 2010. 四川盆地二叠系不同类型烃源岩生烃热模拟实验[J]. 天然气地球科学, 21(5): 700-704.
    [83] 刘卫彬, 徐兴友, 白静, 等, 2025. 页岩油: 一种新兴战略能源[J]. 矿物岩石地球化学通报, 44(1): 1-5.
    [84] 罗情勇, 钟宁宁, 朱雷, 等, 2013. 华北北部中元古界洪水庄组埋藏有机碳与古生产力的相关性[J]. 科学通报, 58(11): 1036-1047.
    [85] 马骥, 张关龙, 刘圣乾, 等, 2025. 准噶尔盆地中部下侏罗统沉积演化及主控因素[J]. 成都理工大学学报(自然科学版), 52(3): 542-557. doi: 10.12474/cdlgzrkx.2024040302
    [86] 马新华, 张晓伟, 熊伟, 等, 2023. 中国页岩气发展前景及挑战[J]. 石油科学通报, 8(4): 491-501. doi: 10.3969/j.issn.2096-1693.2023.04.037
    [87] 毛榕, 米敬奎, 张水昌, 等, 2012. 不同煤系源岩生烃特征的黄金管热模拟实验对比研究[J]. 天然气地球科学, 23(6): 1127-1134.
    [88] 毛新军, 李艳平, 梁则亮, 等, 2024. 准噶尔盆地侏罗系煤岩气成藏条件及勘探潜力[J]. 中国石油勘探, 29(4): 31-43.
    [89] 乔锦琪, 刘洛夫, 尚晓庆, 等, 2023. 油气运移示踪应用及有效性分析: 以准噶尔盆地白家海凸起侏罗系八道湾组油气为例[J]. 矿物岩石地球化学通报, 42(1): 107-121.
    [90] 邱楠生, 杨海波, 王绪龙, 2002. 准噶尔盆地构造—热演化特征[J]. 地质科学, 37(4): 423-429. doi: 10.3321/j.issn:0563-5020.2002.04.005
    [91] 任新成, 修金磊, 刘林, 等, 2023. 准噶尔东部晚古生代—中生代构造样式、变形序列及棋盘格构造的形成过程与机制[J]. 地质力学学报, 29(2): 155-173. doi: 10.12090/j.issn.1006-6616.2022113
    [92] 申宝剑, 仰云峰, 腾格尔, 等, 2016. 四川盆地焦石坝构造区页岩有机质特征及其成烃能力探讨: 以焦页1井五峰-龙马溪组为例[J]. 石油实验地质, 38(4): 480-488, 495. doi: 10.11781/sysydz201604480
    [93] 宋兆杰, 邓森, 宋宜磊, 等, 2024. 大庆油田古龙页岩油-CO2高压相态及传质规律[J]. 石油学报, 45(2): 390-402.
    [94] 王飞宇, 冯伟平, 庞雄奇, 等, 2023. 全油气系统生、排烃和运聚定量分析中的关键问题与解决途径[J]. 石油学报, 44(9): 1434-1444. doi: 10.7623/syxb202309003
    [95] 王金铎, 曾治平, 徐冰冰, 等, 2024. 准噶尔盆地沙湾凹陷二叠系上乌尔禾组流体相态及油气藏类型[J]. 岩性油气藏, 36(1): 23-31. doi: 10.12108/yxyqc.20240103
    [96] 王宁, 李荣西, 王香增, 等, 2016. 海陆过渡相页岩气形成热模拟实验研究[J]. 天然气地球科学, 27(1): 189-197. doi: 10.11764/j.issn.1672-1926.2016.01.0189
    [97] 王千军, 周健, 张发强, 等, 2025. 准噶尔盆地西北缘哈山地区超浅层油气成藏期次研究[J]. 地质力学学报, 31(3): 491-501.
    [98] 王维, 王金堂, 辛江, 等, 2024. 海陆过渡相页岩储层液岩作用机理及钻井液体系构建[J]. 钻井液与完井液, 41(4): 427-436. doi: 10.12358/j.issn.1001-5620.2024.04.002
    [99] 项威, 蒋文龙, 刘超威, 等, 2025. 准噶尔盆地白家海凸起侏罗系煤岩气地球化学特征与成因[J]. 天然气地球科学, 36(2): 367-379.
    [100] 张金川, 李振, 王东升, 等, 2022. 中国页岩气成藏模式[J]. 天然气工业, 42(8): 78-95.
    [101] 张敏, 李贤庆, 张吉振, 等, 2019. 新疆阜康地区八道湾组页岩气成藏条件[J]. 煤田地质与勘探, 47(2): 103-110, 120. doi: 10.3969/j.issn.1001-1986.2019.02.017
    [102] 赵进雍, 冀冬生, 吴见, 等, 2022. 准噶尔盆地四棵树凹陷侏罗系—白垩系储层岩石力学参数研究[J]. 地质力学学报, 28(4): 573-582.
    [103] 赵玉龙, 梁洪彬, 井翠, 等, 2019. 页岩气井EUR快速评价新方法[J]. 西南石油大学学报(自然科学版), 41(6): 124-131. doi: 10.11885/j.issn.1674-5086.2019.09.16.09
    [104] 支东明, 谢安, 杨帆, 等, 2024. 准噶尔盆地东部二叠系富烃凹陷全油气系统勘探前景[J]. 地质力学学报, 30(5): 781-794.
    [105] 钟鸣宇, 徐建永, 徐耀辉, 等, 2025. 咸水湖相烃源岩热演化过程中排出油和滞留油分子地球化学特征及其地质意义[J]. 矿物岩石地球化学通报 44(1): 134-146.
    [106] 周立宏, 陈长伟, 崔宇, 等, 2023. 渤海湾盆地黄骅坳陷油气勘探新领域、新类型及资源潜力[J]. 石油学报, 44(12): 2160-2178. doi: 10.7623/syxb202312010
    [107] 邹才能, 赵群, 王红岩, 等, 2022. 中国海相页岩气主要特征及勘探开发主体理论与技术[J]. 天然气工业, 42(8): 1-13. doi: 10.3787/j.issn.1000-0976.2022.08.001
    [108] 中华人民共和国国家质量监督检验检疫总局, 中国国家标准化管理委员会, 2013. 岩石热解分析: GB/T 18602—2012 [S]. 北京: 中国标准出版社.
    [109] 中华人民共和国国家质量监督检验检疫总局, 中国国家标准化管理委员会, 2014. 烟煤显微组分分类: GB/T 15588—2013 [S]. 北京: 中国标准出版社.
  • 加载中
图(9) / 表(5)
计量
  • 文章访问数:  1606
  • HTML全文浏览量:  93
  • PDF下载量:  172
  • 被引次数: 0
出版历程
  • 收稿日期:  2025-08-11
  • 修回日期:  2026-01-20
  • 录用日期:  2026-01-21
  • 预出版日期:  2026-01-21
  • 刊出日期:  2026-02-27

目录

    /

    返回文章
    返回