留言板

尊敬的读者、作者、审稿人, 关于本刊的投稿、审稿、编辑和出版的任何问题, 您可以本页添加留言。我们将尽快给您答复。谢谢您的支持!

姓名
邮箱
手机号码
标题
留言内容
验证码

中—晚三叠世气候变化对鄂尔多斯盆地东南地区延长组7段烃源岩有机质富集的影响机制

路漫 段国强 张桐溪 黄田华 王兆洋 李德伟

路漫,段国强,张桐溪,等,2026. 中—晚三叠世气候变化对鄂尔多斯盆地东南地区延长组7段烃源岩有机质富集的影响机制[J]. 地质力学学报,32(1):107−123 doi: 10.12090/j.issn.1006-6616.2025139
引用本文: 路漫,段国强,张桐溪,等,2026. 中—晚三叠世气候变化对鄂尔多斯盆地东南地区延长组7段烃源岩有机质富集的影响机制[J]. 地质力学学报,32(1):107−123 doi: 10.12090/j.issn.1006-6616.2025139
LU M,DUAN G Q,Zhang T X,et al.,2026. Impact of middle to late Triassic climate change on organic matter enrichment in hydrocarbon source rocks of the Chang 7 Member, Yanchang Formation, southeastern Ordos Basin[J]. Journal of Geomechanics,32(1):107−123 doi: 10.12090/j.issn.1006-6616.2025139
Citation: LU M,DUAN G Q,Zhang T X,et al.,2026. Impact of middle to late Triassic climate change on organic matter enrichment in hydrocarbon source rocks of the Chang 7 Member, Yanchang Formation, southeastern Ordos Basin[J]. Journal of Geomechanics,32(1):107−123 doi: 10.12090/j.issn.1006-6616.2025139

中—晚三叠世气候变化对鄂尔多斯盆地东南地区延长组7段烃源岩有机质富集的影响机制

doi: 10.12090/j.issn.1006-6616.2025139
基金项目: 国家自然科学基金项目(42402137);中国石油大学(北京)科研基金资助项目(2462024BJRC006)
详细信息
    作者简介:

    路漫(1989—),女,讲师,主要从事油气地球化学和有机地球化学的研究。Email:luman1021@cup.edu.cn

  • 中图分类号: P593;P618.13

Impact of middle to late Triassic climate change on organic matter enrichment in hydrocarbon source rocks of the Chang 7 Member, Yanchang Formation, southeastern Ordos Basin

Funds: This research was financially supported by the National Natural Science Foundation of China (Grant No. 42402137) and the Science Foundation of China University of Petroleum, Beijing (Grant No. 2462024BJRC006).
  • 摘要: 中—晚三叠世是地球历史上关键的气候转型期,期间发生的多次全球湿润气候事件对海洋和陆地沉积环境产生了深远影响,促进了海相与陆相烃源岩的发育。以鄂尔多斯盆地东南地区延长组7段(长7段)烃源岩为研究对象,基于元素地球化学和分子有机地球化学分析,揭示了中—晚三叠世气候湿润事件与湖盆有机质富集的耦合关系。研究结果显示,长7段3亚段中—下段具有高有机碳含量和良好的生烃能力,化学风化指数表明长7段3亚段中—下段沉积于温暖潮湿气候环境,而上覆长7段3亚段上段及长7段2亚段和1亚段则沉积于相对寒冷干燥气候条件。结合中—晚三叠世全球湿润气候事件特征、鄂尔多斯盆地东南地区长7段地层孢粉地层格架、锆石定年结果以及碳同位素地层对比发现,长7段3亚段中—下段与中—晚三叠世拉丁−卡尼期湿润气候事件具有良好对应关系。研究表明,在湿润气候事件影响下,陆源营养物质输入的增强提高了湖泊初级生产力,同时水体缺氧和分层加剧,为有机质保存创造了有利条件,沉积了优质烃源岩;而湿润气候事件之后,气候向较干冷转变,陆源输入减少,湖泊生产力下降,水体缺氧程度降低,不利于有机质的保存和富集。该研究不仅为中—晚三叠世古气候和古环境重建提供了依据,也为理解地质历史时期气候转折期背景下有机质富集机制提供了重要参考。

     

  • 图  1  鄂尔多斯盆地及R203井地理位置

    a—鄂尔多斯盆地中—晚三叠世沉积地质背景(底图修改于https://deeptimemaps.com/);b—鄂尔多斯盆地构造单元划分与研究井位置;c—R203井长7段地层划分柱状图

    Figure  1.  Geographic location of the Ordos Basin and Well R203

    (a) Sedimentary geological background of the Ordos Basin during the middle to late Triassic (base map modified from https://deeptimemaps.com/); (b) Structural subdivision of the Ordos Basin and location of the studied core; (c) Stratigraphic column of Chang 7 Member from Well R203

    图  2  鄂尔多斯盆地R203井长7段烃源岩的TOC含量和热解参数指标的垂向变化图

    a—TOC含量;b—S1+S2;c—HI;d—OI

    Figure  2.  Vertical variations in TOC content and pyrolysis parameters of the source rocks in the Chang 7 Member of Well R203, Ordos Basin

    (a) TOC content; (b) S1+S2; (c) HI; (d) OI

    图  3  鄂尔多斯盆地R203井长7段烃源岩成熟度演化特征

    a—鄂尔多斯盆地R203井长7段烃源岩Tmax−HI交互图;b—C32藿烷22S/(22S+22R)和C31藿烷22S/(22S+22R)参数关系图

    Figure  3.  Maturity characteristics of the source rocks in the Chang 7 Member from Well R203 in the Ordos Basin

    (a) Cross plot of Tmax vs. HI; (b) Cross plot of C32 22S/(22S+22R) hopanes vs. C31 22S/(22S+22R) hopanes

    图  4  鄂尔多斯盆地R203井长7段烃源岩正构烷烃质谱图

    a—长7段1亚段585.70 m烃源岩;b—长7段2亚段614.62 m烃源岩;c—长7段3亚段659.85 m烃源岩

    Figure  4.  Chromatogram of long-chain alkanes (m/z 85) from source rocks of the Chang 7 Member in Well R203, Ordos Basin

    Source rock from (a) Submember 1 of the Chang 7 Member at 585.70 m; (b) Source rock from Submember 2 of the Chang 7 Member at 614.62m; and (c) Submember 3 of the Chang 7 Member at 659.85 m

    图  5  鄂尔多斯盆地R203井长7段烃源岩藿烷和甾烷质谱图

    a—长7段1亚段585.70 m烃源岩中藿烷分布特征;b—长7段2亚段614.62 m烃源岩中藿烷分布特征;c—长7段3亚段681.95 m烃源岩中藿烷分布特征;d—长7段1亚段585.70 m烃源岩中甾烷分布特征;e—长7段2亚段604.55 m烃源岩中甾烷分布特征;f—长7段3亚段673.08 m烃源岩中甾烷分布特征

    Figure  5.  Chromatogram of hopanes (m/z 191) and steranes (m/z 217) from source rocks of the Chang 7 Member in Well R203, Ordos Basin

    (a) Hopane distributions in Submember 1 of Chang 7 Member at 585.70 m; (b) Hopane distributions in Submember 2 of the Chang 7 Member at 614.62 m; (c) Hopane distributions in Submember 3 of the Chang 7 Member at 681.95 m;(d) Sterane distributions in Submember 1 of the Chang 7 Member at 585.70 m; (e) Sterane distributions in Submember 2 of the Chang 7 Member at 604.55 m; (f) Sterane distributions in Submember 3 of the Chang 7 Member at 673.08 m

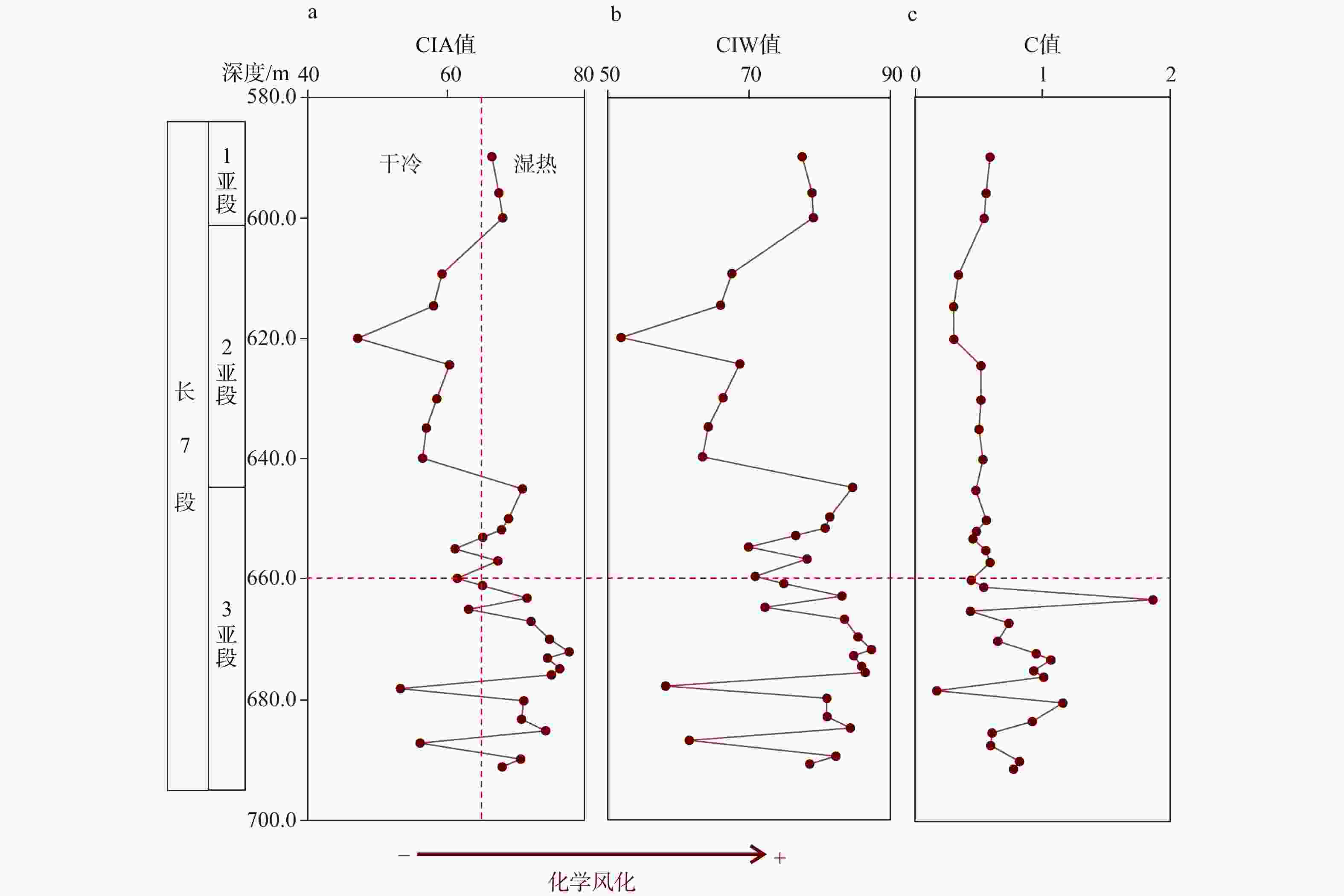
    图  6  鄂尔多斯盆地R203井长7段烃源岩的古气候指标的垂向变化图

    红色虚线代表文中提出的拉丁阶与卡尼阶的界限在研究井中的对应层位a—CIA值;b—CIW值;c—C值

    Figure  6.  Vertical variations in paleoclimate indicators from the Chang 7 Member, Well R203, Ordos Basin (a) CIA; (b) CIW; (c) C values The red dashed line represents the corresponding horizon of the proposed Ladinian−Carnian boundary in the study well.

    图  7  鄂尔多斯盆地长7段有机碳同位素(δ13Corg)及地层剖面柱状图

    井位ZK1901井、Z40井、Z140井、Y1011井、F75井、Y56井数据分别来自Bian et al.(2025)、Jin et al.(2021)、Chen et al.(2023)、 Liu et al.(2024)、Zhang et al.(2021)和Chen et al.(2019),其分布如图1所示;对应的化学地层格架来自于Bian et al.(2025),其中红色虚线表示Bian et al.(2025)及文中在上述岩芯中识别的拉丁阶−卡尼阶界限的地层位置

    Figure  7.  Organic carbon isotope (δ13Corg) and stratigraphic column of the Chang 7 Member in the Ordos Basin

    The data from the well locations ZK1901, Z40, Z140, Y1011, F75, and Y56 shown in Fig. 1 are sourced from Bian et al. (2025), Jin et al. (2021), Chen et al. (2023), Liu et al. (2024), Zhang et al. (2021), and Chen et al. (2019), respectively. The corresponding chemostratigraphic framework was established in Bian et al. (2025). Specifically, the red dashed line represents the stratigraphic position of the Ladinian–Carnian boundary identified within these cores by Bian et al. (2025) and in this study.

    图  8  鄂尔多斯盆地R203井长7段烃源岩地球化学参数斯皮尔曼相关性分析

    ***代表P≤0.001、**代表P≤0.01、*代表P≤0.05;圆形大小和颜色深浅(蓝色:负相关、红色:正相关)表示斯皮尔曼相关系数绝对值大小

    Figure  8.  Spearman’s correlation analysis of geochemical parameters of the Chang 7 Member source rocks from Well R203 in the Ordos Basin *** denotes P ≤ 0.001, ** denotes P ≤ 0.01, and * denotes P ≤ 0.05. The size and color intensity of the circles (blue: negative correlation; red: positive correlation) indicate the absolute value of the Spearman correlation coefficient.

    图  9  鄂尔多斯盆地R203井长7段烃源岩中陆源有机质输入和古生产力指标的垂向变化图

    红色虚线代表文中提出的拉丁阶与卡尼阶的界限在研究井中的对应层位a—二苯并呋喃/菲(DBF/Phe);b—藿烷/甾烷比值(H/St);c—Ni/Al比值

    Figure  9.  Vertical variations in terrigenous organic matter inputs and paleoproductivity proxies for the Chang 7 Member source rocks from Well R203 in the Ordos Basin (a) Dibenzofuran/phenanthrene (DBF/Phe); (b) Hopane/sterane (H/St); (c) Ni/Al The red dashed line represents the corresponding horizon of the proposed Ladinian−Carnian boundary in the study well.

    图  10  鄂尔多斯盆地R203井长7段烃源岩的氧化还原条件指标和古盐度指标的垂向变化图

    红色虚线代表文中提出的拉丁阶与卡尼阶的界限在研究井中的对应层位a—UEF;b—MoEF;c—Sr/Ba;d—伽马蜡烷指数(GI)

    Figure  10.  Vertical variations in redox condition proxies and paleo-salinity indicators for the Chang 7 Member source rocks from Well R203 in the Ordos Basin (a) UEF; (b) MoEF; (c) Sr/Ba; (d) Gammacerane index (GI) The red dashed line represents the corresponding horizon of the proposed Ladinian−Carnian boundary in the study well.

    图  11  中—晚三叠世湿润气候事件背景下鄂尔多斯盆地长7段烃源岩有机质富集模式

    a—事件中长7段3亚段有机质富集演化特征;b—事件后长7段2和1亚段有机质富集演化特征

    Figure  11.  Organic matter enrichment in Chang 7 Member source rocks, Ordos Basin, during the middle to late Triassic humid climate event

    (a) Organic matter enrichment pattern in Submember 3 of Chang 7 Member during the event; (b) Organic matter enrichment pattern in Submembers 2 and 1 of Chang 7 Member after the event

  • [1] ALGEO T J, LYONS T W, 2006. Mo–total organic carbon covariation in modern anoxic marine environments: implications for analysis of paleoredox and paleohydrographic conditions[J]. Paleoceanography, 21(1): PA1016. doi: 10.1029/2004pa001112
    [2] ALGEO T J, TRIBOVILLARD N, 2009. Environmental analysis of paleoceanographic systems based on molybdenum–uranium covariation[J]. Chemical Geology, 268(3-4): 211-225. doi: 10.1016/j.chemgeo.2009.09.001
    [3] ALGEO T J, SHEN J, 2024. Theory and classification of mass extinction causation[J]. National Science Review, 11(1): nwad237. doi: 10.1093/nsr/nwad237
    [4] BIAN L B, SCHOVSBO N H, CHAPPAZ A, et al., 2022. Paleoenvironmental reconstruction and organic matter accumulation of the lower Cambrian Qiongzhusi Formation in the Sichuan Basin, South China[J]. ACS Earth and Space Chemistry, 6(10): 2519-2529. doi: 10.1021/acsearthspacechem.2c00224
    [5] BIAN L B, WANG X M, CHAPPAZ A, et al., 2025. Elemental-organic geochemical evidence for the lacustrine metalimnetic oxygen minimum dynamics in the Mid-Late Triassic Chang 7 shales[J]. Earth and Planetary Science Letters, 651: 119153. doi: 10.1016/j.jpgl.2024.119153
    [6] BOREHAM C J, SUMMONS R E, ROKSANDIC Z, et al., 1994. Chemical, molecular and isotopic differentiation of organic facies in the Tertiary lacustrine Duaringa oil shale deposit, Queensland, Australia[J]. Organic Geochemistry, 21(6-7): 685-712. doi: 10.1016/0146-6380(94)90013-2
    [7] CALLEGARO S, DAL CORSO J, SONG H J, 2023. Editorial: how large igneous provinces (LIPs) during the Triassic shaped modern-day ecosystems[J]. Frontiers in Earth Science, 11: 1302216. doi: 10.3389/feart.2023.1302216
    [8] CAO G Y, LIU Y, LI C, et al., 2023. Salinity variations of the inner Yangtze Sea during the Ordovician-Silurian transition and its influences on marginal marine euxinia[J]. Global and Planetary Change, 225: 104129. doi: 10.1016/j.gloplacha.2023.104129
    [9] CHEN P, XIAN B, LI M, et al., 2023. Intensified lacustrine turbidite deposition as a response to the Carnian Pluvial Episode: Insights from the Triassic Ordos Basin in North China Plate[J]. Palaeogeography, Palaeoclimatology, Palaeoecology, 623: 111599. doi: 10.1016/j.palaeo.2023.111599
    [10] CHEN R, LIU G, SHANG F, et al., 2019. Nitrogen isotope compositions of the Upper Triassic Chang 7 shale, Ordos Basin, North China: implications for depositional redox conditions[J]. Marine and Petroleum Geology, 109: 279-290. doi: 10.1016/j.marpetgeo.2019.06.027
    [11] CUI J W, ZHU R K, XU W L, et al., 2023. New cognition and isochronous stratigraphic division scheme of the Yanchang Formation sedimentation in Ordos Basin[J]. Journal of Palaeogeography, 25(1): 93-104. (in Chinese with English abstract)
    [12] CUI J W, ZHU R K, ZHANG Z Y, et al., 2023. High resolution ID-TIMS redefines the distribution and age of the main Mesozoic lacustrine hydrocarbon source rocks in the Ordos Basin, China[J]. Acta Geologica Sinica‐English Edition, 97(2): 581-588. doi: 10.1111/1755-6724.14990
    [13] DAKE J M K, HARLEMAN D R F, 1969. Thermal stratification in lakes: analytical and laboratory studies[J]. Water Resources Research, 5(2): 484-495. doi: 10.1029/WR005i002p00484
    [14] DAL CORSO J, GIANOLLA P, NEWTON R J, et al., 2015. Carbon isotope records reveal synchronicity between carbon cycle perturbation and the “Carnian Pluvial Event” in the Tethys realm (Late Triassic)[J]. Global and Planetary Change, 127: 79-90. doi: 10.1016/j.gloplacha.2015.01.013
    [15] DAL CORSO J, BERNARDI M, SUN Y D, et al., 2020. Extinction and dawn of the modern world in the Carnian (Late Triassic)[J]. Science Advances, 6(38): eaba0099. doi: 10.1126/sciadv.aba0099
    [16] DAMSTÉ J S S, KENIG F, KOOPMANS M P, et al., 1995. Evidence for gammacerane as an indicator of water column stratification[J]. Geochimica et Cosmochimica Acta, 59(9): 1895-1900. doi: 10.1016/0016-7037(95)00073-9
    [17] DAMSTÉ J S S, SCHOUTEN S, 1997. Is there evidence for a substantial contribution of prokaryotic biomass to organic carbon in Phanerozoic carbonaceous sediments?[J]. Organic Geochemistry, 26(9-10): 517-530. doi: 10.1016/S0146-6380(97)00039-9
    [18] DENG S H, LU Y Z, LUO Z, et al., 2018. Subdivision and age of the Yanchang Formation and the Middle/Upper Triassic boundary in Ordos Basin, North China[J]. Science China Earth Sciences, 61(10): 1419-1439. doi: 10.1007/s11430-017-9215-3
    [19] DENG X Q, LI W H, LIU X S, et al., 2009. Discussion on the stratigraphic boundary between Middle Triassic and Upper Triassic[J]. Acta Geologica Sinica, 83(8): 1089-1096. (in Chinese with English abstract)
    [20] FENTON S, GRICE K, TWITCHETT R J, et al., 2007. Changes in biomarker abundances and sulfur isotopes of pyrite across the Permian–Triassic (P/Tr) Schuchert Dal section (East Greenland)[J]. Earth and Planetary Science Letters, 262(1-2): 230-239.
    [21] FU J H, NIU X B, DAN W D, et al., 2019. The geological characteristics and the progress on exploration and development of shale oil in Chang7 Member of Mesozoic Yanchang Formation, Ordos Basin[J]. China Petroleum Exploration, 24(5): 601-614. (in Chinese with English abstract)
    [22] FU S T, YAO J L, LI S X, et al., 2020. Enrichment characteristics and resource potential of continental shale oil in Mesozoic Yanchang Formation, Ordos Basin[J]. Petroleum Geology & Experiment, 42(5): 698-710. doi: 10.1190/ice2015-2188948
    [23] General Administration of Quality Supervision, Inspection and Quarantine of the People's Republic of China, Standardization Administration of the People's Republic of China, 2013. Rock pyrolysis analysis: GB/T 18602—2012[S]. Beijing: Standards Press of China. (in Chinese)
    [24] HE Z W, CLARKSON M O, ANDERSEN M B, et al., 2021. Temporally and spatially dynamic redox conditions on an upwelling margin: the impact on coupled sedimentary Mo and U isotope systematics, and implications for the Mo-U paleoredox proxy[J]. Geochimica et Cosmochimica Acta, 309: 251-271. doi: 10.1016/j.gca.2021.06.024
    [25] JI L M, MENG F W, 2006. Palynology of Yanchang Formation of Middle and Late Triassic in eastern Gansu Province and its paleoclimatic significance[J]. Journal of China University of Geosciences, 17(3): 209-220. doi: 10.1016/s1002-0705(06)60030-7
    [26] JI L M, WANG S F, XU J L, 2006. Acritarch assemblage in Yanchang Formation in Eastern Gansu Province and its environmental implications[J]. Earth Science: Journal of China University of Geosciences, 31(6): 798-806. (in Chinese with English abstract)
    [27] JIN X, BARANYI V, CAGGIATI M, et al., 2021. Middle Triassic lake deepening in the Ordos Basin of North China linked with global sea-level rise[J]. Global and Planetary Change, 207: 103670. doi: 10.1016/j.gloplacha.2021.103670
    [28] KAIHO K, AFTABUZZAMAN M, JONES D S, et al., 2021. Pulsed volcanic combustion events coincident with the end-Permian terrestrial disturbance and the following global crisis[J]. Geology, 49(3): 289-293. doi: 10.1130/G48022.1
    [29] KATZ B J, 1995. Factors controlling the development of lacustrine petroleum source rocks: an update[M]//HUC A H. Paleogeography, paleoclimate, and source rocks. Tulsa: AAPG Studies in Geology.
    [30] KIRILLIN G, SHATWELL T, 2016. Generalized scaling of seasonal thermal stratification in lakes[J]. Earth-Science Reviews, 161: 179-190. doi: 10.1016/j.earscirev.2016.08.008
    [31] KUSTATSCHER E, VAN KONIJNENBURG-VAN CITTERT J H A, ROGHI G, 2010. Macrofloras and palynomorphs as possible proxies for palaeoclimatic and palaeoecological studies: a case study from the Pelsonian (Middle Triassic) of Kühwiesenkopf/Monte Prà della Vacca (Olang Dolomites, N-Italy)[J]. Palaeogeography, Palaeoclimatology, Palaeoecology, 290(1-4): 71-80. doi: 10.1016/j.palaeo.2009.07.001
    [32] LI J G, WEI Y, YANG B, et al., 2025. Response of Carnian pluvial event in southern Ordos Basin[J]. Acta Geologica Sinica, 99(2): 365-381. (in Chinese with English abstract)
    [33] LI W H, PANG J G, CAO H X, et al., 2009. Depositional system and paleogeographic evolution of the late Triassic Yanchang Stage in Ordos Basin[J]. Journal of Northwest University (Natural Science Edition), 39(3): 501-506.
    [34] LI W H, LIU X, ZHANG Q, et al., 2019. Deposition evolution of Middle-Late Triassic Yanchang Formation in Ordos Basin[J]. Journal of Northwest University (Natural Science Edition), 49(4): 605-621.
    [35] LI X, ZHANG Y, SUN Y W, et al., 2023. Vegetation changes and climate shift during the latest Ladinian to the early Carnian: palynological evidence from the Yanchang Formation, Ordos Basin, China[J]. Frontiers in Earth Science, 10: 1008707. doi: 10.3389/feart.2022.1008707
    [36] LI X B, LIU H Q, YANG W W, et al., 2023a. A lacustrine basin driven by extreme events of alternate dry-wet climatic cycles: evidence from outcrops of Yanchang Formation in Upper Triassic, Ordos Basin[J]. Earth Science, 48(1): 293-316.
    [37] LI X B, LIU H Q, HUANG J P, et al., 2023b. Alternation of arid-humid climate, and formation and distribution of fluvial fan sand in the central area of Inland Lake Basin: a case study of the Yanchang Formation in Ordos Basin[J]. Acta Geologica Sinica, 97(3): 822-838. (in Chinese with English abstract)
    [38] LI Z H, CHEN Z Q, ZHANG F F, et al., 2020. Global carbon cycle perturbations triggered by volatile volcanism and ecosystem responses during the Carnian Pluvial Episode (late Triassic)[J]. Earth-Science Reviews, 211: 103404. doi: 10.1016/j.earscirev.2020.103404
    [39] LIU B J, XIA J, ZHU F L, et al., 2021. Response of hydrodynamics and water-quality conditions to climate change in a shallow lake[J]. Water Resources Management, 35(14): 4961-4976. doi: 10.1007/s11269-021-02982-5
    [40] LIU J C, CAO J, HE T C, et al., 2022. Lacustrine redox variations in the Toarcian Sichuan Basin across the Jenkyns Event[J]. Global and Planetary Change, 215: 103860. doi: 10.1016/j.gloplacha.2022.103860
    [41] LIU Q Y, LI P, JIANG L, et al., 2024. Distinctive volcanic ash–rich lacustrine shale deposition related to chemical weathering intensity during the Late Triassic: evidence from lithium contents and isotopes[J]. Science Advances, 10(11): eadi6594. doi: 10.1126/sciadv.adi6594
    [42] LIU R, ZHANG K, LIU Z J, et al., 2021. Oil shale mineralization and geological events in China[J]. Acta Sedimentologica Sinica, 39(1): 10-28. (in Chinese with English abstract)
    [43] LIU Y H, QIANG W, DANG X, et al., 2025. Study on the pore structure characteristics of interbedded shale oil and formation mechanisms of high-quality shale oil reservoirs in the Chang 7 Member, Yanchang Formation, Ansai Oilfield[J]. Journal of Geomechanics, 31(3): 506-521. (in Chinese with English abstract)
    [44] LONGMAN J, MILLS B J W, MANNERS H R, et al., 2021. Late Ordovician climate change and extinctions driven by elevated volcanic nutrient supply[J]. Nature Geoscience, 14(12): 924-929. doi: 10.1038/s41561-021-00855-5
    [45] LU J, ZHANG P X, DAL CORSO J, et al., 2021a. Volcanically driven lacustrine ecosystem changes during the Carnian Pluvial Episode (Late Triassic)[J]. Proceedings of the National Academy of Sciences of the United States of America, 118(40): e2109895118.
    [46] LU M, LU Y H, IKEJIRI T, et al., 2021b. Periodic oceanic euxinia and terrestrial fluxes linked to astronomical forcing during the Late Devonian Frasnian–Famennian mass extinction[J]. Earth and Planetary Science Letters, 562: 116839. doi: 10.1016/j.jpgl.2021.116839
    [47] LU M, DUAN G Q, ZHANG T X, et al., 2025. Influences of paleoclimatic changes on organic matter enrichment mechanisms in freshwater and saline lacustrine oil shales in China: a machine learning approach[J]. Earth-Science Reviews, 262: 105061. doi: 10.1016/j.earscirev.2025.105061
    [48] LU Y B, JIANG S, LU Y C, et al., 2019. Productivity or preservation? The factors controlling the organic matter accumulation in the late Katian through Hirnantian Wufeng organic-rich shale, South China[J]. Marine and Petroleum Geology, 109: 22-35. doi: 10.1016/j.marpetgeo.2019.06.007
    [49] MARYNOWSKI L, SIMONEIT B R T, 2009. Widespread Upper Triassic to Lower Jurassic wildfire records from Poland: evidence from charcoal and pyrolytic polycyclic aromatic hydrocarbons[J]. Palaios, 24(12): 785-798. doi: 10.2110/palo.2009.p09-044r
    [50] MCLENNAN S M, 1993. Weathering and global denudation[J]. The Journal of Geology, 101(2): 295-303. doi: 10.1086/648222
    [51] MILLER C S, BARANYI V, 2021. Triassic climates[M]//ALDERTON D, ELIAS S A. Encyclopedia of geology. 2nd ed. San Diego: Academic Press: 514-524. DOI: 10.1016/B978-0-12-409548-9.12070-6.
    [52] MOLDOWAN J M, SEIFERT W K, GALLEGOS E J, 1985. Relationship between petroleum composition and depositional environment of petroleum source rocks[J]. AAPG Bulletin, 69(8): 1255-1268. doi: 10.1306/ad462bc8-16f7-11d7-8645000102c1865d
    [53] MOLDOWAN J M, ALBRECHT P, PHILP R P, 1992. Biological markers in sediments and petroleum[M]. Englewood Cliffs: Prentice Hall.
    [54] MORT H P, ADATTE T, FÖLLMI K B, et al., 2007. Phosphorus and the roles of productivity and nutrient recycling during oceanic anoxic event 2[J]. Geology, 35(6): 483-486. doi: 10.1130/G23475A.1
    [55] MURPHY, A E, SAGEMAN, B B, HOLLANDER, D J, et al., 2000. Black shale deposition and faunal overturn in the Devonian Appalachian Basin: Clastic starvation, seasonal water‐column mixing, and efficient biolimiting nutrient recycling[J]. Paleoceanography, 15(3): 280-291. doi: 10.1029/1999PA000445
    [56] MUTTI M, WEISSERT H, 1995. Triassic monsoonal climate and its signature in Ladinian-Carnian carbonate platforms (Southern Alps, Italy)[J]. Journal of Sedimentary Research, 65(3b): 357-367. doi: 10.1306/d4268252-2b26-11d7-8648000102c1865d
    [57] NESBITT H W, YOUNG G M, 1982. Early Proterozoic climates and plate motions inferred from major element chemistry of lutites[J]. Nature, 299(5885): 715-717. doi: 10.1038/299715a0
    [58] PAUL K M, VAN HELMOND N A G M, SLOMP C P, et al., 2023. Sedimentary molybdenum and uranium: improving proxies for deoxygenation in coastal depositional environments[J]. Chemical Geology, 615: 121203. doi: 10.1016/j.chemgeo.2022.121203
    [59] PETERS K E, WALTERS C C, MOLDOWAN J M, 2005. The biomarker guide[M]. Cambridge: Cambridge University Press.
    [60] PHILP R P, FAN P, LEWIS C A, et al., 1991. Geochemical characteristics of oils from the Chaidamu, Shanganning and Jianghan Basins, China[J]. Journal of Southeast Asian Earth Sciences, 5(1-4): 351-358. doi: 10.1016/0743-9547(91)90048-3
    [61] POSENATO R, BASSI D, AVANZINI M, 2013. Bivalve pavements from shallow-water black-shales in the Early Jurassic of northern Italy: a record of salinity-and oxygen-depleted environmental dynamics[J]. Palaeogeography, Palaeoclimatology, Palaeoecology, 369: 262-271. doi: 10.1016/j.palaeo.2012.10.032
    [62] PRETO N, KUSTATSCHER E, WIGNALL P B, 2010. Triassic climates: state of the art and perspectives[J]. Palaeogeography, Palaeoclimatology, Palaeoecology, 290(1-4): 1-10. doi: 10.1016/j.palaeo.2010.03.015
    [63] QIU X W, LIU C Y, LI Y H, et al., 2009. Distribution characteristics and geological significances of tuff interlayers in Yanchang Formation of Ordos Basin[J]. Acta Sedimentologica Sinica, 27(6): 1138-1146. (in Chinese with English abstract)
    [64] SCHWARK L, VLIEX M, SCHAEFFER P, 1998. Geochemical characterization of Malm Zeta laminated carbonates from the Franconian Alb, SW-Germany (II)[J]. Organic Geochemistry, 29(8): 1921-1952. doi: 10.1016/S0146-6380(98)00192-2
    [65] SEPHTON M A, LOOY C V, BRINKHUIS H, et al., 2005. Catastrophic soil erosion during the end-Permian biotic crisis[J]. Geology, 33(12): 941-944. doi: 10.1130/G21784.1
    [66] SIMMS M J, RUFFELL A H, 1989. Synchroneity of climatic change and extinctions in the Late Triassic[J]. Geology, 17(3): 265-268. doi: 10.1130/0091-7613(1989)017<0265:soccae>2.3.co;2
    [67] STEFANI M, FURIN S, GIANOLLA P, 2010. The changing climate framework and depositional dynamics of Triassic carbonate platforms from the Dolomites[J]. Palaeogeography, Palaeoclimatology, Palaeoecology, 290(1-4): 43-57. doi: 10.1016/j.palaeo.2010.02.018
    [68] SUN Y D, WIGNALL P B, JOACHIMSKI M M, et al., 2016. Climate warming, euxinia and carbon isotope perturbations during the Carnian (Triassic) Crisis in South China[J]. Earth and Planetary Science Letters, 444: 88-100. doi: 10.1016/j.jpgl.2016.03.037
    [69] SUN Y W, LI X, LIU Q Y, et al., 2020. In search of the inland Carnian Pluvial Event: Middle–Upper Triassic transition profile and U–Pb isotopic dating in the Yanchang Formation in Ordos Basin, China[J]. Geological Journal, 55(7): 4905-4919. doi: 10.1002/gj.3691
    [70] TONG J N, CHU D L, LIANG L, et al., 2019. Triassic integrative stratigraphy and timescale of China[J]. Science China Earth Sciences, 62(1): 189-222. doi: 10.1007/s11430-018-9278-0
    [71] TRIBOVILLARD N, ALGEO T J, LYONS T, et al., 2006. Trace metals as paleoredox and paleoproductivity proxies: an update[J]. Chemical Geology, 232(1-2): 12-32. doi: 10.1016/j.chemgeo.2006.02.012
    [72] TRIBOVILLARD N, BOUT-ROUMAZEILLES V, ALGEO T, et al., 2008. Paleodepositional conditions in the Orca Basin as inferred from organic matter and trace metal contents[J]. Marine Geology, 254(1-2): 62-72. doi: 10.1016/j.margeo.2008.04.016
    [73] TROTTER J A, WILLIAMS I S, NICORA A, et al., 2015. Long-term cycles of Triassic climate change: a new δ18O record from conodont apatite[J]. Earth and Planetary Science Letters, 415: 165-174. doi: 10.1016/j.jpgl.2015.01.038
    [74] WANG A H, WANG Z H, LIU J K, et al., 2021. The Sr/Ba ratio response to salinity in clastic sediments of the Yangtze River Delta[J]. Chemical Geology, 559: 119923. doi: 10.1016/j.chemgeo.2020.119923
    [75] WANG D L, SCHWARK L, RUEBSAM W, et al., 2022. Eccentricity paced paleoenvironment evolution and microbial community structure in the Gulf of Mexico during the outgoing Early Eocene Climate Optimum[J]. Earth and Planetary Science Letters, 599: 117857. doi: 10.1016/j.jpgl.2022.117857
    [76] WANG L, SONG Z G, YIN Q, et al., 2011. Paleosalinity significance of occurrence and distribution of methyltrimethyltridecyl chromans in the Upper Cretaceous Nenjiang Formation, Songliao Basin, China[J]. Organic Geochemistry, 42(11): 1411-1419. doi: 10.1016/j.orggeochem.2011.08.012
    [77] WEDEPOHL K H, 1971. Environmental influences on the chemical composition of shales and clays[J]. Physics and Chemistry of the Earth, 8: 307-333. doi: 10.1016/0079-1946(71)90020-6
    [78] WOOLWAY R I, SHARMA S, WEYHENMEYER G A, et al., 2021. Phenological shifts in lake stratification under climate change[J]. Nature Communications, 12(1): 2318. doi: 10.1038/s41467-021-22657-4
    [79] WU Z R, HE S, HE Z L, et al., 2022. Petrographical and geochemical characterization of the Upper Permian Longtan formation and Dalong Formation in the Lower Yangtze region, South China: implications for provenance, paleoclimate, paleoenvironment and organic matter accumulation mechanisms[J]. Marine and Petroleum Geology, 139: 105580. doi: 10.1016/j.marpetgeo.2022.105580
    [80] YANG R C, JIN Z J, VAN LOON A J, et al., 2017. Climatic and tectonic controls of lacustrine hyperpycnite origination in the Late Triassic Ordos Basin, central China: implications for unconventional petroleum development[J]. AAPG Bulletin, 101(1): 95-117. doi: 10.1306/08151817360
    [81] YANG Z Y, MA X H, BESSE J, et al., 1991. Paleomagnetic results from Triassic sections in the Ordos Basin, north China[J]. Earth and Planetary Science Letters, 104(2-4): 258-277. doi: 10.1016/0012-821X(91)90208-Y
    [82] YUAN D N, LI S Y, XU Y J, et al., 2024. Response of dissolved carbon dioxide and methane concentration to warming in shallow lakes[J]. Water Research, 251: 121116. doi: 10.1016/j.watres.2024.121116
    [83] YUAN W, LIU G D, XU L M, et al., 2019. Petrographic and geochemical characteristics of organic-rich shale and tuff of the Upper Triassic Yanchang Formation, Ordos Basin, China: implications for lacustrine fertilization by volcanic ash[J]. Canadian Journal of Earth Sciences, 56(1): 47-59. doi: 10.1139/cjes-2018-0123
    [84] YUAN Y L, JING Z H, ZHANG B, et al., 2025. Biomarker characteristics and sedimentary paleoenvironment of Chang 7 source rocks in northern Ordos Basin[J]. Natural Gas Geoscience, 36(2): 293-306. (in Chinese with English abstract)
    [85] ZHANG K, LIU R, LIU Z J, et al., 2021. Geochemical characteristics and geological significance of humid climate events in the Middle-Late Triassic (Ladinian-Carnian) of the Ordos Basin, central China[J]. Marine and Petroleum Geology, 131: 105179. doi: 10.1016/j.marpetgeo.2021.105179
    [86] ZHANG X Y, ZHAN R R, DUAN L, et al., 2024. 3D digital modelling and detailed anatomy of tight sandstone reservoir outcrop with oil-bearing heterogeneity: a case study of Angou outcrop of Triassic Yanchang Formation in Ordos Basin[J]. Journal of Geomechanics, 30(4): 609-621. (in Chinese with English abstract)
    [87] ZHU R K, CUI J W, DENG S H, et al., 2019. High-precision dating and geological significance of Chang 7 tuff zircon of the Triassic Yanchang Formation, Ordos Basin in central China[J]. Acta Geologica Sinica‐English Edition, 93(6): 1823-1834. doi: 10.1111/1755-6724.14329
    [88] 崔景伟, 朱如凯, 徐旺林, 等, 2023. 鄂尔多斯盆地延长组等时地层对比方案与沉积新认识[J]. 古地理学报, 25(1): 93-104. doi: 10.7605/gdlxb.2023.01.007
    [89] 邓胜徽, 卢远征, 罗忠, 等, 2018. 鄂尔多斯盆地延长组的划分、时代及中-上三叠统界线[J]. 中国科学: 地球科学, 48(10): 1293-1311.
    [90] 邓秀芹, 李文厚, 刘新社, 等, 2009. 鄂尔多斯盆地中三叠统与上三叠统地层界线讨论[J]. 地质学报, 83(8): 1089-1096. doi: 10.3321/j.issn:0001-5717.2009.08.005
    [91] 付金华, 牛小兵, 淡卫东, 等, 2019. 鄂尔多斯盆地中生界延长组长7段页岩油地质特征及勘探开发进展[J]. 中国石油勘探, 24(5): 601-614.
    [92] 付锁堂, 姚泾利, 李士祥, 等, 2020. 鄂尔多斯盆地中生界延长组陆相页岩油富集特征与资源潜力[J]. 石油实验地质, 42(5): 698-710. doi: 10.11781/sysydz202005698
    [93] 国家能源局, 2019. 有机物和碳酸盐岩碳、氧同位素分析方法: SY/T 5238-2019[S]. 北京: 石油工业出版社.
    [94] 吉利明, 王少飞, 徐金鲤, 2006. 陇东地区延长组疑源类组合特征及其古环境意义[J]. 地球科学: 中国地质大学学报, 31(6): 798-806.
    [95] 李建国, 韦一, 杨兵, 等, 2025. 卡尼期雨幕事件在鄂尔多斯盆地南部地区的响应[J]. 地质学报, 99(2): 365-381. doi: 10.19762/j.cnki.dizhixuebao.2023330
    [96] 李文厚, 庞军刚, 曹红霞, 等, 2009. 鄂尔多斯盆地晚三叠世延长期沉积体系及岩相古地理演化[J]. 西北大学学报(自然科学版), 39(3): 501-506. doi: 10.16152/j.cnki.xdxbzr.2009.03.011
    [97] 李文厚, 刘溪, 张倩, 等, 2019. 鄂尔多斯盆地中晚三叠世延长期沉积演化[J]. 西北大学学报(自然科学版), 49(4): 605-621. doi: 10.16152/j.cnki.xdxbzr.2019-04-013
    [98] 李相博, 刘化清, 杨伟伟, 等, 2023a. 一个由干湿交替极端气候事件主导的内陆湖盆: 来自鄂尔多斯盆地上三叠统延长组露头剖面的沉积学证据[J]. 地球科学, 48(1): 293-316.
    [99] 李相博, 刘化清, 黄军平, 等, 2023b. 干湿气候交替与内陆湖盆河流扇砂体的形成与分布: 以鄂尔多斯盆地延长组为例[J]. 地质学报, 97(3): 822-838. doi: 10.3969/j.issn.0001-5717.2023.03.012
    [100] 柳蓉, 张坤, 刘招君, 等, 2021. 中国油页岩富集与地质事件研究[J]. 沉积学报, 39(1): 10-28. doi: 10.14027/j.issn.1000-0550.2020.104
    [101] 刘雨航, 强微, 党鑫, 等, 2025. 安塞油田延长组7段夹层型页岩油储层孔隙结构特征及优质储层成因机制研究[J]. 地质力学学报, 31(3): 506-521. doi: 10.12090/j.issn.1006-6616.2025011
    [102] 邱欣卫, 刘池洋, 李元昊, 等, 2009. 鄂尔多斯盆地延长组凝灰岩夹层展布特征及其地质意义[J]. 沉积学报, 27(6): 1138-1146. doi: 10.14027/j.cnki.cjxb.2009.06.012
    [103] 童金南, 楚道亮, 梁蕾, 等, 2019. 中国三叠纪综合地层和时间框架[J]. 中国科学: 地球科学, 49(1): 194-226.
    [104] 袁懿琳, 荆振华, 张斌, 等, 2025. 鄂尔多斯盆地北缘长7段烃源岩生物标志物特征与沉积环境分析[J]. 天然气地球科学, 36(2): 293-306. doi: 10.11764/j.issn.1672-1926.2024.06.004
    [105] 张小银, 詹容若, 段亮, 等, 2024. 致密砂岩含油非均质性储层的野外实例三维数字模型和精细解剖: 以鄂尔多斯盆地三叠系延长组安沟油砂露头为例[J]. 地质力学学报, 30(4): 609-621. doi: 10.12090/j.issn.1006-6616.2024028
    [106] 中华人民共和国国家质量监督检验检疫总局, 中国国家标准化管理委员会, 2013. 岩石热解分析: GB/T 18602-2012[S]. 北京: 中国标准出版社.
  • 加载中
图(11)
计量
  • 文章访问数:  520
  • HTML全文浏览量:  79
  • PDF下载量:  145
  • 被引次数: 0
出版历程
  • 收稿日期:  2025-09-22
  • 修回日期:  2026-01-08
  • 录用日期:  2026-01-12
  • 预出版日期:  2026-01-16
  • 刊出日期:  2026-02-27

目录

    /

    返回文章
    返回