留言板

尊敬的读者、作者、审稿人, 关于本刊的投稿、审稿、编辑和出版的任何问题, 您可以本页添加留言。我们将尽快给您答复。谢谢您的支持!

姓名
邮箱
手机号码
标题
留言内容
验证码

当期目录

2026年  第32卷  第2期

封面
2026 年 2 期封面
2026, 32(2).
摘要 (51) PDF (1434KB)(47)
摘要:
目次
2026 年 2 期目次
2026, 32(2): 1-2.
摘要 (34) HTML (25) PDF (425KB)(58)
摘要:
构造体系与构造地质
华北克拉通新太古代晚期鲁西造山带的物质组成、构造格架及构造演化过程
王东明, 胡健民, 赵远方, 闫纪元, 公王斌, 张志刚
2026, 32(2): 169-195. doi: 10.12090/j.issn.1006-6616.2025033
摘要 (469) HTML (124) PDF (8707KB)(212)
摘要:
地球早期地壳的增生和演化是早前寒武纪研究的核心科学问题。华北克拉通作为全球最古老的克拉通之一,新太古代晚期(2.50~2.48 Ga)经历了复杂的克拉通化过程并伴随强烈的地壳增生和改造。鲁西花岗−绿岩带位于华北克拉通东部,已有的岩石学、地球化学、年代学和构造变形研究显示,鲁西地区发育一系列指示新太古代晚期地壳增生的证据,包括以肥城‒滕州岩浆弧和新太古代晚期变质火山岩为代表的陆缘弧和岛弧岩浆岩、以鲁山‒沂水岩浆岩带为代表的后碰撞壳源岩浆记录、新太古代晚期变沉积岩所代表的弧后盆地沉积以及板块斜向汇聚导致的大型走滑剪切变形。出露于鲁西地区中部的>2.60 Ga的英云闪长岩、奥长花岗岩、花岗闪长岩(TTG岩系)和表壳岩组合代表一个与胶辽地块具有明显亲缘性的古老陆块。因此,鲁西花岗−绿岩带是一个位于胶辽地块西缘的增生型造山带,即鲁西造山带。弧−陆高角度斜向碰撞和巨量幔源岩浆底垫分别代表了胶辽地块西缘水平和垂向地壳增生。该造山带在新太古代到古元古代末期经历了初始洋壳形成、俯冲到陆内伸展等构造演化阶段。新太古代晚期,华北克拉通东部胶辽地块周缘发生了广泛的地壳增生作用,这一过程受控于以板块热俯冲为特征的早期板块构造体制。
苏门答腊断层的构造演化:综述与展望
郭琳, 褚杨, 林伟, 雷宜阳, 刘谭杰, 郭宜琳, 孟令通
2026, 32(2): 196-216. doi: 10.12090/j.issn.1006-6616.2025067
摘要 (572) HTML (144) PDF (6290KB)(257)
摘要:
印度–澳大利亚板块向欧亚板块斜向汇聚,导致在仰冲板块形成一条长达1900 km的右行走滑断层——苏门答腊断层。已有研究对该断层进行了几何学、运动学以及地震活动研究但断层的构造演化过程至今并未得到精确的限定。文章围绕苏门答腊断层的演化,综述对苏门答腊断层已有的认识与限定,并在此基础上探讨苏门答腊断层研究的局限性及未来研究方向。苏门答腊断层是一高度分段的右行走滑断层,结合地震−构造特征可分为近20段。苏门答腊断层滑移速率从南至北较一致,为~15 mm/yr,现有结果表明断层的总位移量大约为20~25 km。区域上弧岩浆活动区域与断层展布相互重合,表明岩浆导致的地壳弱化促进了断层的形成,而断层活动产生的空间则又会控制部分岩浆的运移。现有对苏门答腊断层的年代学工作较少,已有的低温年代学数据表明,在2 Ma时期由于断层活动导致了断层附近地壳快速抬升;现今断层活动速率和位移量推算出的断层起始时间与该低温热年代学研究结论较为契合,表明苏门答腊断层在约2 Ma时有一期由于断层倾滑导致的快速隆升事件,代表着苏门答腊断层的贯通和现今构造体系的建立。文章通过整合地质、大地测量、地震活动、岩浆活动、低温年代学等多学科证据,系统梳理了苏门答腊断层的时空演化框架,进一步阐明了断层演化历史及现今构造格局的形成过程。研究结果加深了对斜向俯冲背景下应变分配机制及海沟平行走滑断层形成机制的认识,可为全球类似构造体系的研究及地震灾害评估提供重要参考。
北山造山带黑鹰山晚古生代—早中生代火山岩的地球化学特征:古亚洲洋从俯冲到碰撞的指示
丁奕文, 邵兆刚, 陈言飞, 陈宣华, 李冰, 余苇, 徐大兴, 韩乐乐
2026, 32(2): 217-232. doi: 10.12090/j.issn.1006-6616.2025017
摘要 (486) HTML (110) PDF (3299KB)(184)
摘要:
黑鹰山地区位于北山造山带北缘,是研究北山造山带古亚洲洋演化的关键地区。文章对黑鹰山地区出露的晚石炭世、晚三叠世火山凝灰岩进行了岩石地球化学研究。研究结果表明,晚石炭世火山凝灰岩属于过铝质钙碱性系列,富集大离子亲石元素(LILE)Rb、Ba、Th、U,亏损高场强元素Nb、Ta、Zr、Hf、Ti;稀土元素总量(ΣREE)为74.64×10−6~142.45×10−6,轻/重稀土分馏明显(LREE/HREE=5.14~7.49、(La/Yb)N=4.58~6.36),稀土元素配分模式呈右倾特征,具有弱的负Eu异常(δEu=0.35~0.66),表现出类I型花岗岩特征。晚三叠世火山凝灰岩属于弱过铝质高钾钙碱性系列,富硅、碱,贫铝、镁,具有强烈的Eu负异常(δEu=0.02~0.22);稀土元素配分模式呈略微右倾的“海鸥型”,富集Rb、Th、U等大离子亲石元素,亏损Ba、Nb、Zr、Ti等不相容元素,具有类S型花岗岩的特征。黑鹰山地区晚石炭世和晚三叠世火山凝灰岩分别形成于北山地区古亚洲洋俯冲和碰撞的构造环境,岩浆来源主要为地壳熔融,指示晚石炭世至晚三叠世红石山—黑鹰山一带可能发生了构造环境的转变。
地应力与构造应力场
复杂构造区现今地应力场特征及工程分区评价——以川东南盆缘龙马溪组页岩储层为例
马顺婷, 李瑞雪, 陈鑫豪, 杜奕霏, 邓虎成, 何建华, 杨鸿, 魏力民
2026, 32(2): 233-250. doi: 10.12090/j.issn.1006-6616.2025057
摘要 (170) HTML (48) PDF (8043KB)(42)
摘要:
川东南盆缘丁山−东溪地区位于川东断褶带与黔北断褶带交界处,受多期构造运动影响,构造特征复杂。区内志留系龙马溪组页岩气资源丰富,成藏条件优越,勘探开发潜力大。但该区现今地应力场情况复杂且平面预测精细低,导致水平井之间压裂改造效果与产量差异显著。因此,明确其现今地应力状态及分布规律有助于提高页岩气开发效益。该研究综合实验测试、测井及微地震等多源数据,精细解释了研究区井剖面地应力方向;结合水力压裂、声发射实验与测井资料,明确了井剖面地应力大小分布特征;基于考虑构造变形及断裂特征的精细化地质建模及非均质岩石力学属性赋值,应用数值模拟软件揭示了研究区现今地应力分布特征。在此基础上,分析了现今地应力特征对压裂改造效果的影响,构建了地应力分区评价标准;结合模拟结果,对丁山−东溪地区进行地应力分区,并依据新井压裂效果与应力状态的匹配关系验证了分区效果。结果表明,丁山−东溪地区现今地应力方向多为近东西向,局部受断裂及构造变形影响发生偏转。最大水平主应力、最小水平主应力及垂向主应力分别为58.4~167.0 MPa、38.6~135.4 MPa和54.7~148.2 MPa,呈走滑应力状态;水平两向应力差主要介于5~30 MPa。地应力大小及水平两向应力差整体受控于埋深,在构造变形高部位,地应力及水平两向应力差均减小;在断层附近,地应力减小而水平两向应力差增大。依据最小水平主应力80 MPa和水平两向应力差20 MPa进行分区,建议选择丁山中部缓斜坡区构造高部位、东溪斜坡区以及东溪断背斜区北部的低应力差−低地应力区开展压裂改造。研究成果深化了对川东南盆缘龙马溪组现今地应力场的认识,对压裂改造优化具有重要的实践价值。
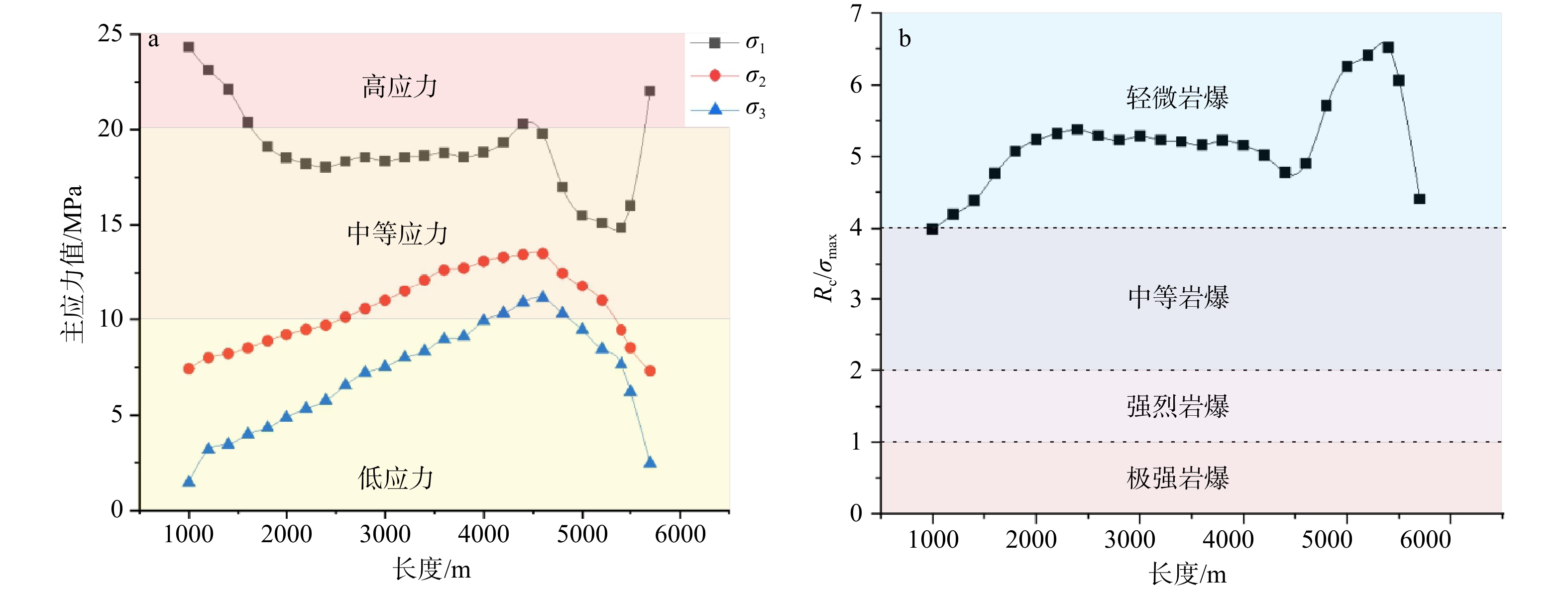
新疆某抽蓄电站深部岩体地应力赋存规律及地下硐室稳定性分析
张晓飞, 王继明, 张鹏, 李征征, 李常虎, 欧阳江泉
2026, 32(2): 251-266. doi: 10.12090/j.issn.1006-6616.2025076
摘要 (389) HTML (86) PDF (2580KB)(193)
摘要:
为揭示天山造山带南缘某大型深埋抽水蓄能电站地下硐室地应力场特征及其围岩稳定性,保障地下厂房及引水隧洞地质安全,首先在地下厂房内开展2组三维水压致裂法地应力测量,获取工程区地应力场基础数据;随后建立工程区的三维地质模型,并利用有限元数值模拟方法反演该区域的三维地应力场;最后结合三维应力场的分布特征,从地下硐室轴线布置的合理性及地下厂房与引水隧硐围岩岩爆风险2个方面,综合评估抽蓄电站工程区地下硐室的稳定性。研究结果表明:抽蓄电站地下厂房三维地应力测量显示,最大主应力(σ1)为16.19~16.23 MPa、方向为N43.98°E~N54.44°E、倾角为−4.81°~6.93°,中间主应力值(σ2)为9.82~12.23 MPa、方向近南东、倾角为−18.89°~−14.52°,最小主应力(σ3)为6.90~10.41 MPa、倾角近垂直;三维应力场反演得到地下厂房最大主应力值(σ1)为16.54~17.21 MPa、方位角为N47.88°E~N56.32°E,引水洞轴线方向的最大主应力值(σ1)为14.86~24.32 MPa;地下厂房和引水隧洞轴线方向与实测最大水平主应力(SH)夹角,与SHV型应力场最优夹角(62.84°)偏差均$\leqslant $10°,有利于地下硐室稳定性;采用强度应力比法、陶振宇判据等多准则判据分析,地下厂房及引水隧洞围岩总体为轻微岩爆等级。研究结果为该抽蓄电站地下厂房和引水隧洞设计与施工提供科学依据,同时填补了天山造山带南缘深部岩体三维地应力实测数据的空白。
2025年西藏定日6.8级地震对周围区域的应力影响
张晨晨, 万永革, 关兆萱, 赵杰斌, 王润妍, 周明月
2026, 32(2): 267-280. doi: 10.12090/j.issn.1006-6616.2025072
摘要 (236) HTML (74) PDF (4609KB)(183)
摘要:
文章通过定量计算地震产生的同震位移场、水平应变场及其在周围断层上产生的库伦破裂应力变化来探究2025年西藏定日6.8级地震对周围区域的影响。首先,将当地应力场投影到震源机制中心解确定该地震可能发生的2个节面上,发现节面Ⅰ(走向为184.37°、倾角为47.67°、滑动角为–78.10°)更容易破裂,结合断层走向判定其为发震断层面,登么错断裂为发震构造。然后基于地震破裂模型与均匀弹性半空间模型,计算得到地表同震位移场及水平应变场特征:水平位移自震中东西两侧向外移动、北侧部分区域向震中汇聚,水平位移量最大为76.65 cm;垂直位移为震中北侧沉降(最大量为83.97 cm)、东北侧隆升(最大量为33.25 cm),发震断层附近显示正断机制;体应变与面应变分布规律一致,均在震中南北两侧拉张(体应变量最大为1.768×10−6,面应变量最大为1.737×10−6)、震中周边及东西两侧压缩(体应变量最大为1.874×10−6,面应变量最大为1.987×10−6)。库伦破裂应力计算显示,申扎−定结断裂南段、拉孜−邛多江断裂东段库伦应力增加量超过触发阈值(0.01 MPa),需关注其地震活动性;登么错断裂应力卸载量最大,进一步印证其为发震构造。研究结果可为区域地震危险性评估提供重要参考。
正交各向异性页岩地层地应力精细评价方法
曾波, 桂俊川, 黄浩勇, 马天寿, 崔帅, 钟光海, 徐尔斯
2026, 32(2): 281-297. doi: 10.12090/j.issn.1006-6616.2025002
摘要 (113) HTML (54) PDF (1581KB)(48)
摘要:
针对正交各向异性地应力评价方法缺乏的问题,研究通过考虑岩石的正交各向异性(ORT)特征,开发了一种完备的页岩地层原位应力评估方法。该方法首先建立了各向异性岩石的动−静态力学参数转换关系;在此基础上,基于有效应力与应变的关系,推导出Biot系数的通解表达式,给出不同情况下的具体解;同时构建基于测井资料的ORT页岩岩石物理模型,获得用于计算ORT弹性参数和Biot系数的刚度矩阵,实现从各向异性的广义胡克定律出发推导出正交各向异性地层地应力的完整解析表达式。该方法在x1井的应用表明,ORT页岩地层水平向和垂向岩石弹性参数的显著差异,通过按方向建立的动−静态转换模型提高了静态岩石弹性参数的转换精度;垂直于层理面内的有效应力系数(Biot系数)$\alpha $11明显小于$\alpha $33,平均相对差异达13.4%;而在平行于层理面内,$\alpha $11和$\alpha $22的差异相对较小,Biot系数的各向异性特征显著。ORT模型不仅提供了详细的应力剖面,清晰反映了因黏土含量变化引起的应力“V”形波动,而且预测的最小和最大水平主应力误差分别低至1.9%和4.0%,优于传统横观各向同性(VTI)模型的5.8%、5.2%和各向同性(ISO)模型的8.2%、10.9%。ORT地应力评估方法提供了更准确、详细的页岩地层原位应力评价方法,这对钻井液密度窗口精细设计、压裂参数工艺制定以及压裂后的闷井时间的确定具有重要意义。
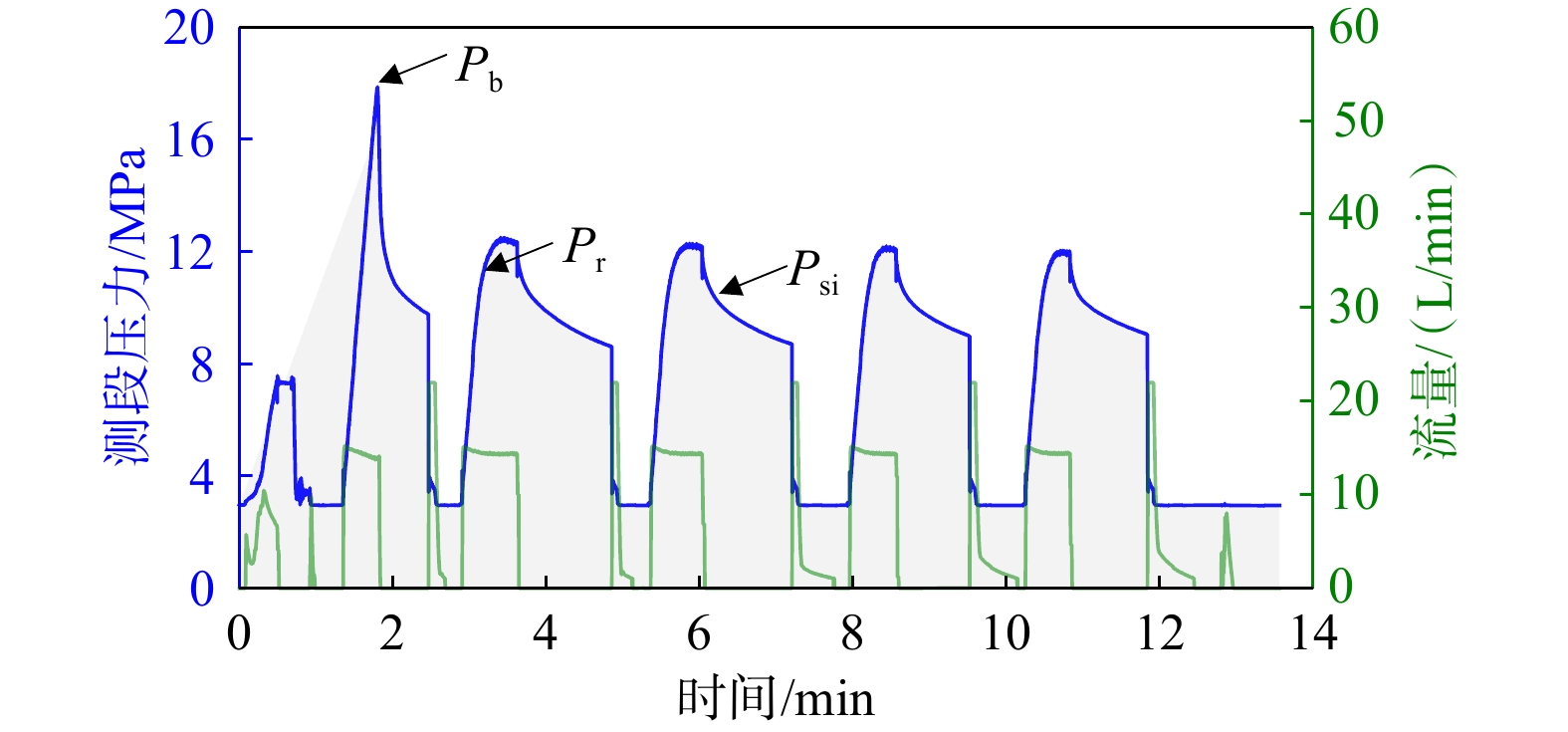
基于水压致裂数据的浅部地应力精细化表征与分析
熊思捷, 马晓冬, 杨跃辉, 吴邦宸, 李阿伟, 孙东生
2026, 32(2): 298-310. doi: 10.12090/j.issn.1006-6616.2025096
摘要 (124) HTML (58) PDF (4250KB)(73)
摘要:
查明浅部地应力场赋存状态,对地下工程的建设及安全运维作用重大,同时有助于揭示地应力的赋存机制。作为常用的地应力测量方法,水压致裂法在数据处理分析中通常将应力大小和方向分开确定:应力大小由压裂曲线解译得出,应力方向则由水力裂缝方位确定。基础此,文章以广东中南部2个500 m以浅的钻孔(ZK1、ZK2)为研究对象,系统提取并刻画了整孔水力裂缝形态,结合应力相对大小关系,获得了更为准确的应力值;进而构建了研究区应力剖面,并探究了天然裂缝密度对应力状态的影响。结果表明:ZK1钻孔整体呈逆冲型应力环境,ZK2钻孔应力环境随深度依次表现为逆冲型、走滑型和正断型;2个钻孔最大水平主应力方向分别为N18°W和N15°W。该结果不同于区域深部应力特征,揭示了浅部地应力赋存状态及其控制因素的差异。此外,研究发现天然裂缝密度较高也可能引起浅部应力场的变化。天然裂缝滑移趋势分析表明,ZK2钻孔中的天然裂缝稳定性总体上较好,而ZK1钻孔中的部分天然裂缝滑移趋势已接近0.6的经验摩擦极限,需重点监测其应力状态,以保障相关工程的安全。
正应力对走滑断层亚失稳协同化影响数值模拟
代树红, 孙朝阳
2026, 32(2): 311-322. doi: 10.12090/j.issn.1006-6616.2025022
摘要 (433) HTML (154) PDF (2028KB)(38)
摘要:
为揭示走滑断层在不同正应力作用下的协同化规律,通过数值模拟方法系统研究了走滑断层的失稳过程。通过对比分析不同正应力条件下走滑断层剪应变场的时空演化特征,探讨了正应力对剪应变场演化和断层位移的影响,并基于剪应变场和断层位移的变化,对协同化程度进行了定量判定。研究结果表明:在相同条件下,垂直于断层方向的正应变随时间步增长呈递减趋势;而平行于断层方向的剪应变在不同监测点的演化规律相似但均值大小不同,1号监测点剪应变均值为负值,11号监测点剪应变均值为正值,2—10号监测点剪应变均值趋向于0,其中监测点为获取数据变化的监测位置;在亚失稳阶段断层应力累积至临界时,模型的薄弱区域剪应变率先显著增加,剪应变集中区域范围逐渐扩展并贯通,最终形成连续的剪应变连通区域;同震位移、剪应变和剪应变能密度同正应力呈正相关关系;随着正应力的增加,协同化系数逐渐减小,协同化程度增加,在亚失稳阶段协同化系数出现明显的下降趋势。最终得出以下结论:正应力通过调控剪应变能的空间分布与释放过程,显著影响走滑断层亚失稳阶段的协同化程度;正应力增大导致同震位移增加、剪应变能积累增强,并有效提升断层的协同化程度;协同化系数可作为量化断层失稳前协同化程度的关键指标,对识别断层亚失稳状态具有应用价值。这一研究明确了正应力与走滑断层协同化程度之间的正相关关系,为地震预测和防灾减灾提供了重要的科学依据。
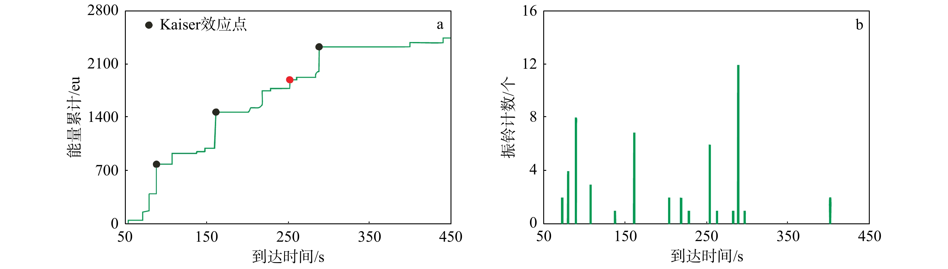
盘龙铅锌矿结构面稳定性分析及其工程意义研究
黄晓盼, 王成虎, 杨承伟, 刘冀昆, 肖海帆
2026, 32(2): 323-335. doi: 10.12090/j.issn.1006-6616.2025083
摘要 (375) HTML (108) PDF (2440KB)(181)
摘要:
广西盘龙铅锌矿是桂中地区重要的多金属矿产资源,其深部开采受岩体结构面和地应力场控制显著。为系统评估该矿深部结构面的稳定性,揭示高地应力与构造裂隙耦合作用下的滑动机制,保障深部矿山开采安全,综合采用超声波钻孔电视与水压致裂技术,获取SK1与SK2钻孔的结构面与地应力数据。结合Sheorey模型与应力张量变换方法,计算结构面上的剪应力与正应力,并基于摩擦滑动准则对2948组结构面进行稳定性评价。结果表明:矿区岩体结构面以陡倾角为主,优势倾向为北西—北北西向和北东—北东东向。在500~850 m深度范围内,三向主应力值分别为最大水平主应力SH=28.29~44.69 MPa、最小水平主应力Sh=19.46~27.09 MPa、垂向主应力Sv=14.50~22.68 MPa;SH方向为北西—北北西向,Sh方向为北东—北东东向。最大、最小水平侧压力系数平均值分别为kH = 2.07、kh = 1.28,表明三向主应力关系为SH>Sh>Sv,水平应力占主导地位,现今构造应力场以北西向挤压为主,与区域构造应力场方向一致。北西—北北西向结构面群在当前高应力环境下具有较高的剪切再活化风险,尤其是滑动潜势Ts>0.20且裂隙宽度>10 mm的结构面,应作为重点监测与加固对象。研究成果可为深部开采巷道布设优化、支护设计及灾害防控提供科学依据。
能源地质
中扬子地区震旦纪—早寒武世鄂西海槽演化特征及其天然气地质意义
陈科, 卢妍欣, 王昱荦, 李飞
2026, 32(2): 336-352. doi: 10.12090/j.issn.1006-6616.2025048
摘要 (112) HTML (39) PDF (5028KB)(46)
摘要:
新元古代震旦纪—早寒武世华南断陷盆地沉积了大量富有机质页岩和碳酸盐岩,优质烃源岩与储层发育,是油气勘探的重点领域。中扬子地区震旦纪—早寒武世发育鄂西海槽,但其形成与演化过程尚需进一步研究。基于钻井、野外露头和地震剖面等资料的综合分析,文章揭示出南北向鄂西海槽的形成与演化历史。研究结果表明,鄂西海槽经历了4个不同的阶段:南沱组沉积时期,鄂西地区初步形成沉降中心,但冰碛岩沉积厚度较小;陡山沱组沉积时期,雪球地球结束,气候转为温暖湿润,在鄂西海槽东侧形成了具有同沉积断裂的半地堑盆地;灯影组沉积时期,中—上扬子地区整体上形成2个台地和1个盆地的台−盆结构,鄂西地区发育完整的地堑盆地,呈现出碳酸盐岩台地的特征;牛蹄塘组沉积末期,鄂西海槽填充并消亡。其中陡山沱组二段和四段、牛蹄塘组二段发育富有机质页岩,是页岩气勘探的主要层系。同时鄂西海槽自下而上发育陡山沱组烃源岩、灯影组储层、牛蹄塘组烃源岩和盖层,具有“三明治”式的常规油气成藏模式。但多期次的构造活动导致部分油气封闭系统遭到破坏;此外,局部地区烃源岩埋藏深度大,致使有机质成熟度偏高。因此,寻找构造稳定区和成熟度适中地区是鄂西海槽页岩气勘探的关键,而优选有效成藏条件和良好保存地区则是常规天然气勘探的重点方向。
页岩油储层高精度一维地质力学建模研究
侯朔阳, 王小琼, 鲜成钢, 葛洪魁, 钟毅
2026, 32(2): 353-364. doi: 10.12090/j.issn.1006-6616.2025094
摘要 (134) HTML (45) PDF (2489KB)(74)
摘要:
页岩油储层甜点段纵向变化快,具有厘米级薄互层和层理发育的特征,且各向异性强。传统各向同性模型难以满足精细的地质力学建模与表征需求,给油气藏改造与压裂方案设计等带来了挑战。地质力学是实现复杂地质特征油气田效益开发的关键。为了获得高精度一维地质力学模型,开展了页岩油储层各向异性室内实验,同时结合测井数据进行一维地质力学建模,分析地质力学特征。通过各向异性实验,系统获得了页岩各向异性岩石力学参数。基于实验结果及各向异性模型,利用声波测井资料等构建了沿地层深度方向的各向异性刚度矩阵,获得了杨氏模量、泊松比的各向异性表征及抗压强度等力学参数。根据声波、密度曲线确定了研究区块的卸载特征,采用Bowers卸载理论计算孔隙压力,并通过现场模块化动态地层测试数据进行校准。在此基础上,结合高精度各向异性岩石力学模型和孔隙压力,应用各向异性弹性模型求取了更高精度的两向水平主应力,最终构建了高精度的一维各向异性地质力学模型,其精度较各向同性模型大幅提高。该模型通过了井史资料等现场数据的验证,揭示了沿井筒的各向异性地质力学参数及原位地应力展布特点。研究成果为油气地质−工程一体化奠定了基础,并为油气藏的改造与压裂方案设计提供了理论依据与技术支撑。
基于格里菲斯准则及等效夹杂理论的储层Biot系数计算方法
张辉, 裴晨阳, 王志民, 刘磊, 李静, 刘伊帅, 吴泽坤
2026, 32(2): 365-374. doi: 10.12090/j.issn.1006-6616.2025086
摘要 (190) HTML (54) PDF (1169KB)(156)
摘要:
Biot系数的定义为孔隙体积变化率与岩石总体积变化率的比值,反映了岩石在受外部荷载作用下岩石中孔隙压力抵消岩石外部总应力的效率。Biot系数作为孔弹性理论中耦合孔隙压力与储层有效应力的关键参数,在储层地应力计算和井壁稳定性分析中起着至关重要的作用。基于等效夹杂理论,通过引入极化因子和裂缝纵横比等参数表征裂缝形态对储层力学参数的影响,结合格里菲斯断裂准则建立裂缝纵横比期望值的求解方法,最终推导出裂缝型储层和缝洞型储层的Biot系数表达式。研究结果表明,根据此Biot系数计算方法得到的储层地应力计算结果与现场实测井地应力相比,最大水平主应力最大误差为5.75%,最小水平主应力最大误差为6.03%,误差满足工程精度要求。研究成果为非常规储层地应力场精准表征及高效勘探开发提供了理论依据。
地质灾害与工程地质
西南山区典型采空区滑坡易灾地质结构与失稳模式研究
张皓翔, 朱赛楠, 姚磊华, 高峰, 张丽美, 杨龙, 谭维佳, 代旭升, 高瑜
2026, 32(2): 375-390. doi: 10.12090/j.issn.1006-6616.2025047
摘要 (342) HTML (74) PDF (3145KB)(175)
摘要:
中国西南山区采空区滑坡频发。为研究此类滑坡之间存在的共性及差异,制定科学的防灾减灾对策,文章以灰岩山区的鸡冠岭滑坡、碎屑岩山区的赵家沟滑坡及变质岩山区的山阳滑坡3个采空区滑坡为研究对象进行对比研究,采用资料收集分析、现场调查、多期遥感解译、岩土体物理力学试验与数值模拟等方法,分析三者易灾地质结构与失稳机制的异同。研究结果表明,当斜坡具备陡峭地形、良好的临空条件、上陡下缓的“靴状地形”及二元结构等特征时,易于发生滑坡灾害;采空工况下各滑坡位移量增大,最大剪应变增量集中分布于潜在滑动面及采空区顶板区域,各滑坡整体稳定性降低。灰岩山区呈硬岩夹软岩型,以厚层硬岩夹薄层软岩为特征,呈高强度岩体特性,鸡冠岭滑坡因煤层开采较为垂直导致上部岩体拉剪应力集中,形成倾倒式滑坡,为“倾倒−滑移”破坏模式;碎屑岩山区呈软硬岩互层型,受薄层碎裂状软硬岩互层结构影响,岩体整体强度弱化,赵家沟滑坡因采空区顶板沉降形成“漏斗状”位移场,呈“蠕滑−拉裂”破坏模式;变质岩山区为典型上硬下软型,呈上部硬岩下部软岩结构,强度差异大,山阳滑坡变形机制表现为滑体剪切滑移与采空区顶板挠曲变形,呈“滑移−溃屈”破坏模式。文章可为采动型滑坡的早期识别与成灾模式研究提供重要科学依据。