留言板

尊敬的读者、作者、审稿人, 关于本刊的投稿、审稿、编辑和出版的任何问题, 您可以本页添加留言。我们将尽快给您答复。谢谢您的支持!

姓名
邮箱
手机号码
标题
留言内容
验证码

新疆某抽蓄电站深部岩体地应力赋存规律及地下硐室稳定性分析

张晓飞 王继明 张鹏 李征征 李常虎 欧阳江泉

张晓飞,王继明,张鹏,等,2026. 新疆某抽蓄电站深部岩体地应力赋存规律及地下硐室稳定性分析[J]. 地质力学学报,32(2):251−266 doi: 10.12090/j.issn.1006-6616.2025076
引用本文: 张晓飞,王继明,张鹏,等,2026. 新疆某抽蓄电站深部岩体地应力赋存规律及地下硐室稳定性分析[J]. 地质力学学报,32(2):251−266 doi: 10.12090/j.issn.1006-6616.2025076
ZHANG X F,WANG J M,ZHANG P,et al.,2026. Analysis of the three-dimensional in-situ stress state and underground cavern stability of a pumped storage hydropower station in Xinjiang, China[J]. Journal of Geomechanics,32(2):251−266 doi: 10.12090/j.issn.1006-6616.2025076
Citation: ZHANG X F,WANG J M,ZHANG P,et al.,2026. Analysis of the three-dimensional in-situ stress state and underground cavern stability of a pumped storage hydropower station in Xinjiang, China[J]. Journal of Geomechanics,32(2):251−266 doi: 10.12090/j.issn.1006-6616.2025076

新疆某抽蓄电站深部岩体地应力赋存规律及地下硐室稳定性分析

doi: 10.12090/j.issn.1006-6616.2025076
基金项目: 国家自然科学基金地质联合基金项目(U2244226);中国地质调查局地质调查项目(DD20230538)
详细信息
    作者简介:

    张晓飞(2000—),男,在读硕士,主要从事地应力测量、构造应力场、岩体稳定性评价等研究。Email:2571108943@qq.com

    通讯作者:

    张鹏(1986—),男,博士,副研究员,主要从事地应力测量与长期监测、构造应力场、岩体稳定性评价等研究。Email: zhangpeng0713@sina.com

  • 中图分类号: P313.5;P554

Analysis of the three-dimensional in-situ stress state and underground cavern stability of a pumped storage hydropower station in Xinjiang, China

Funds: This research was financially supported be the Key Program of the Joint Funds of the National Natural Science Foundation of China (Grant No. U2244226) and the Geological Survey Project of the China Geological Survey (Grant No. DD20230538).
  • 摘要: 为揭示天山造山带南缘某大型深埋抽水蓄能电站地下硐室地应力场特征及其围岩稳定性,保障地下厂房及引水隧洞地质安全,首先在地下厂房内开展2组三维水压致裂法地应力测量,获取工程区地应力场基础数据;随后建立工程区的三维地质模型,并利用有限元数值模拟方法反演该区域的三维地应力场;最后结合三维应力场的分布特征,从地下硐室轴线布置的合理性及地下厂房与引水隧硐围岩岩爆风险2个方面,综合评估抽蓄电站工程区地下硐室的稳定性。研究结果表明:抽蓄电站地下厂房三维地应力测量显示,最大主应力(σ1)为16.19~16.23 MPa、方向为N43.98°E~N54.44°E、倾角为−4.81°~6.93°,中间主应力值(σ2)为9.82~12.23 MPa、方向近南东、倾角为−18.89°~−14.52°,最小主应力(σ3)为6.90~10.41 MPa、倾角近垂直;三维应力场反演得到地下厂房最大主应力值(σ1)为16.54~17.21 MPa、方位角为N47.88°E~N56.32°E,引水洞轴线方向的最大主应力值(σ1)为14.86~24.32 MPa;地下厂房和引水隧洞轴线方向与实测最大水平主应力(SH)夹角,与SHV型应力场最优夹角(62.84°)偏差均$\leqslant $10°,有利于地下硐室稳定性;采用强度应力比法、陶振宇判据等多准则判据分析,地下厂房及引水隧洞围岩总体为轻微岩爆等级。研究结果为该抽蓄电站地下厂房和引水隧洞设计与施工提供科学依据,同时填补了天山造山带南缘深部岩体三维地应力实测数据的空白。

     

  • 图  1  工程区域构造地质背景与工程场址部署示意图

    a—工程区域构造地质图;b—工程场址部署示意图

    Figure  1.  Schematic diagrams illustrating the regional tectonic setting and engineering site layout of the project area

    (a) Regional tectonic map of the project area; (b) Schematic layout of the engineering site

    图  2  ZK309-1、ZK309-3测点代表性地应力测量压裂曲线

    Figure  2.  Fracturing curves for representative in-situ stress measurements at boreholes ZK309-1 and ZK309-3

    图  3  代表性钻孔最大次主应力方向印模示意图

    Figure  3.  Schematic diagram of impression results for the maximum sub-principal stress direction in representative boreholes

    图  4  工程区有限元计算模型

    Figure  4.  Finite element model of the project area

    图  5  工程区主应力云图

    a—最大主应力(σ1);b—中间主应力(σ2);c—最小主应力(σ3

    Figure  5.  Principal stress contour maps of the project area

    (a) Maximum principal stress (σ1); (b) Intermediate principal stress (σ2); (c) Minimum principal stress (σ3)

    图  6  地下厂房所在1398 m高程水平面主应力云图

    a—最大主应力(σ1);b—中间主应力(σ2);c—最小主应力(σ3

    Figure  6.  Principal stress contour maps on the horizontal plane at an elevation of 1398 m within the underground powerhouse

    (a) Maximum principal stress (σ1); (b) Intermediate principal stress (σ2); (c) Minimum principal stress (σ3)

    图  7  地下厂房所在1398 m高程水平面主应力方位矢量图

    a—最大主应力(σ1);b—中间主应力(σ2

    Figure  7.  Vector map of the principal stress orientation on the horizontal plane at an elevation of 1398 m within the underground powerhouse

    (a) Maximum principal stress (σ1); (b) Intermediate principal stress (σ2)

    图  8  引水隧洞轴线S70°E沿线主应力分布云图

    a—最大主应力(σ1);b—中间主应力(σ2);c—最小主应力(σ3);d—引水隧洞轴线S70°E方向投影

    Figure  8.  Distribution of principal stresses along the water diversion tunnel axis (S70°E)

    (a) Maximum principal stress (σ1); (b) Intermediate principal stress (σ2); (c) Minimum principal stress (σ3); (d) Projection along the water diversion tunnel axis (S70°E)

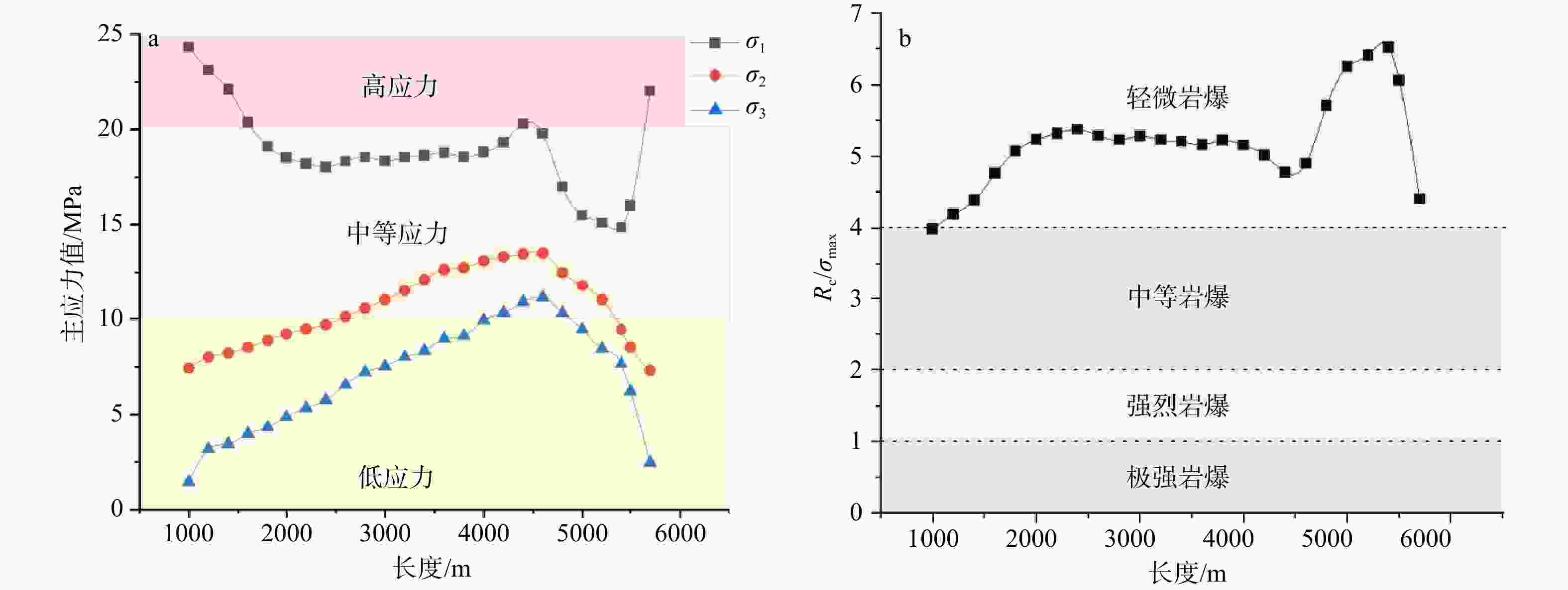
    图  9  引水隧洞主应力变化与岩爆等级评估

    a—引水隧洞轴线主应力变化曲线;b—基于岩石强度应力比法的岩爆等级分布

    Figure  9.  Principal stress variation and rockburst risk assessment along the water diversion tunnel

    (a) Variation of the principal stresses along the water diversion tunnel axis; (b) Distribution of rockburst risk levels based on the strength–stress ratio criterion

    表  1  水压致裂地应力测量结果

    Table  1.   Results of in-situ stress measurements using the hydraulic fracturing method

    钻孔编号 孔深/m 试验
    编号
    中心深度/m 压裂特征参数/MPa 主应力值/MPa σA方位 钻孔信息
    Pb Pr Ps T σA σB
    ZK309-1-1 140 1 20.50 18.30 16.00 10.11 2.30 14.52 10.31 方位角:/
    倾角:90°
    2 46.50 16.18 14.58 9.75 1.60 15.12 10.21 N60°E
    3 94.50 17.66 15.96 10.29 1.70 15.84 11.23 N64°E
    4 110.50 18.45 16.15 10.47 2.30 16.35 11.57
    5 129.50 20.30 18.80 10.95 1.50 15.34 12.24
    ZK309-1-2 20 1 7.60 13.46 12.06 9.20 1.40 15.54 9.20 方位角:36°
    倾角:−2°
    2 9.60 12.13 11.01 8.46 1.12 14.37 8.46
    3 14.50 11.50 10.30 8.13 1.20 14.09 8.13
    4 16.50 11.27 10.13 8.64 1.14 15.79 8.64
    5 18.60 11.42 10.21 7.90 1.21 13.49 7.90
    ZK309-1-3 20 1 9.50 22.19 20.69 11.30 1.50 13.21 11.30 12° 方位角:306°
    倾角:−2°
    2 11.50 24.32 22.22 12.15 2.10 14.24 12.15 11°
    3 13.20 17.41 15.79 10.52 1.62 15.77 10.52
    4 16.50 21.38 19.28 11.31 2.10 14.65 11.31
    5 18.50 17.41 16.07 10.09 1.34 14.21 10.09
    ZK309-3-1 138 1 20.50 12.22 10.54 9.42 1.68 17.71 9.42 方位角:/
    倾角:90°
    2 40.50 11.86 9.75 8.51 2.11 15.77 8.51 N61°E
    3 90.50 14.02 12.24 11.12 1.78 20.21 11.12 N63°E
    4 110.50 13.21 11.55 9.33 1.66 15.33 9.33
    5 130.50 10.11 9.03 7.52 1.68 18.77 9.68
    ZK309-3-2 20 1 7.50 11.35 8.61 7.31 2.74 13.32 7.31 方位角:305°
    倾角:−2°
    2 11.50 12.35 10.25 8.57 2.10 15.46 8.57
    3 14.50 11.24 9.75 8.13 1.49 14.64 8.13
    4 15.50 14.33 12.55 10.38 1.78 18.59 10.38
    5 17.50 13.59 10.11 8.37 3.48 15.00 8.37
    ZK309-3-3 20 1 5.50 11.27 10.13 8.64 1.14 15.79 8.64 12° 方位角:306°
    倾角:−2°
    2 7.50 11.42 9.32 7.46 2.10 13.06 7.46 11°
    3 9.50 13.46 11.57 9.58 1.89 17.17 9.58
    4 12.00 9.13 7.50 5.52 1.63 9.06 5.52
    5 16.00 12.55 10.22 9.20 2.33 17.38 9.20
    注:Pb—破裂压力;Pr—重张压力;Ps—关闭压力;T—抗拉强度;σA—最大次主应力;σB—最小次主应力
    下载: 导出CSV

    表  2  ZK309-1、ZK309-3 三维地应力测量结果

    Table  2.   Three-dimensional in-situ stress measurement results for boreholes ZK309-1 and ZK309-3

    测点编号 最大主应力(σ1 中间主应力(σ2 最小主应力(σ3
    量值/MPa 方位角/(°) 倾角/(°) 量值/MPa 方位角/(°) 倾角/(°) 量值/MPa 方位角/(°) 倾角/(°)
    ZK309-1 16.19 54.44 −4.81 12.23 144.89 −18.89 10.41 129.52 70.46
    ZK309-3 16.23 43.98 6.93 9.82 132.17 −14.52 6.90 158.80 73.85
    下载: 导出CSV

    表  3  地应力实测数据与反演结果对比分析

    Table  3.   Comparison of measured iand modeled n situ stress data

    测点编号 方法 最大主应力/σ1 中间主应力/σ2 最小主应力/σ3
    量值/MPa 方位角/(°) 倾角/(°) 量值/MPa 方位角/(°) 倾角/(°) 量值/MPa 方位角/(°) 倾角/(°)
    ZK309-1 实测 16.19 54.44 −4.81 12.23 144.89 −18.89 10.41 129.52 70.46
    反演 17.21 56.32 −3.92 13.21 142.22 −16.54 11.13 129.30 73.67
    ZK309-3 实测 16.23 43.98 6.93 9.82 132.17 −14.52 6.90 158.80 73.85
    反演 16.54 47.88 5.62 10.45 136.77 −13.98 7.30 154.30 71.44
    下载: 导出CSV

    表  4  岩爆风险判别和分级

    Table  4.   Rockburst risk identification and classification

    判据方法 判别公式 判据阈值 分级情况 判据特点
    岩石强度应力比法 Rc/σmax 4 ~ 7 轻微岩爆 未考虑硐室开挖过程和初始应力场的应力重分布影响
    2 ~ 4 中等岩爆
    1 ~ 2 强烈岩爆
    < 1 极强岩爆
    陶振宇判据 Rc/σmax 5.5 ~ 14.5 轻微岩爆
    2.5 ~ 5.5 中等岩爆
    < 2.5 强烈岩爆
    岩石应力强度比法 σθmax/Rc 0.3 ~ 0.5 轻微岩爆 考虑硐室开挖过程和初始应力场的应力重分布影响
    0.5 ~ 0.7 中等岩爆
    0.7 ~ 0.9 强烈岩爆
    > 0.9 极强岩爆
    Russenes判据 Is(50)/σθmax 0.150 ~ 0.200 轻微岩爆
    0.083 ~ 0.150 中等岩爆
    < 0.083 强烈岩爆
    注:Rc为岩石饱和单轴抗压强度,MPa;σmax为最大主应力,在文章中σmax=σ1,MPa;σθmax为隧道开挖面最大切向应力,MPa;Is(50)为岩石修正点荷载强度,MPa
    下载: 导出CSV

    表  5  地下厂房岩爆风险预测结果

    Table  5.   Predicted rockburst risk in the underground powerhouse

    判据方法埋深 / m判别值岩爆等级
    岩石强度应力比法5205.98轻微岩爆
    陶振宇判据5205.98轻微岩爆
    岩石应力强度比法5200.38轻微岩爆
    Russenes判据5200.12中等岩爆
    下载: 导出CSV
  • [1] AMADEI B, STEPHANSSON O, 1997. Rock stress and its measurement[M]. London: Chapman & Hall.
    [2] BROWN E T, HOEK E, 1980. Underground excavations in rock[M]. London: CRC Press.
    [3] CHEN Q C, SUN D S, CUI J J, et al., 2019. Hydraulic fracturing stress measurements in Xuefengshan deep borehole and its significance[J]. Journal of Geomechanics, 25(5): 853-865. (in Chinese with English abstract)
    [4] CHI J J, TENG J, SHANG Y J, et al., 2023. Comparative analysis of the ground stress changes in a deep buried tunnel in Tianshan[J]. Xinjiang Geology, 41(3): 431-435. (in Chinese with English abstract)
    [5] FAN Y L, CAO J W, YU S, et al., 2023. Prediction and analysis on large deformation of surrounding rocks in the Muzhailing Tunnel of the Weiyuan–Wudu Expressway under high in-situ stress[J]. Journal of Geomechanics, 29(6): 786-800. (in Chinese with English abstract)
    [6] FENG C J, CHEN Q C, WU M L, et al., 2012. Analysis of hydraulic fracturing stress measurement data-discussion of methods frequently used to determine instantaneous shut-in pressure[J]. Rock and Soil Mechanics, 33(7): 2149-2159. (in Chinese with English abstract)
    [7] FENG X T, XIAO Y X, FENG G L, et al., 2019. Study on the development process of rockbursts[J]. Chinese Journal of Rock Mechanics and Engineering, 38(4): 649-673. (in Chinese with English abstract)
    [8] GUO H H, HE X M, ZHU L T, et al., 2024. Evolution of structural characteristics with multistage stress fields in the Sikeshu Sag, Junggar Basin[J]. Bulletin of Geological Science and Technology, 43(5): 146-160. (in Chinese with English abstract)
    [9] HOEK E, BROWN E T, 1980. Underground excavations in rock[M]. London: Institution of Mining and Metallurgy.
    [10] HUANG S T, HU W H, YANG P X, et al., 2020. Late quaternary activity characteristics of the Tangbal-Tasdun fault zone in the eastern Tianshan area[J]. Seismology and Geology, 42(5): 1058-1071. (in Chinese with English abstract)
    [11] JIANG H, YAN J, WEI Y Z, et al., 2025. Analysis of ground stress characteristics of long and deep buried high-speed railway tunnel in near active fault zone[J]. Railway Investigation and Surveying, 51(1): 112-119. (in Chinese with English abstract)
    [12] JIANG J, DONG Z H, ZHOU C H, et al., 2025. Comprehensive measurement of geostress and analysis of initial stress field inversion in a high-head pumped storage power station in Xinjiang[J]. Journal of Water Resources & Water Engineering, 36(2): 144-152. (in Chinese with English abstract)
    [13] LEE J S, 1997. The earthquake[M]. Beijing: Geological Publishing House. (in Chinese)
    [14] LI Z Z, YANG W C, ZHANG P, et al., 2023. In-situ stress measurement and inversion analysis of a large hydropower project in southeast Tibet[J]. Journal of Geomechanics, 29(3): 442-452. (in Chinese with English abstract)
    [15] LIAO C T, SHI Z X, 1983. In-situ stress measurements and their application to engineering design in the Jinchuan mine[J]. Chinese Journal of Rock Mechanics and Engineering, 2(1): 103-112. (in Chinese with English abstract) doi: 10.1016/0148-9062(84)90982-3
    [16] LIU N, ZHANG C S, CHU W J, et al. , 2013. Influence of mechanical characteristics of deep-buried marble on rockburst occurrence conditions[J]. Rock and Soil Mechanics, 34(9): 2638-2642, 2648. (in Chinese with English abstract)
    [17] LIU Y, ZHANG J Q, LUO C, et al., 2024. Influencing factors of time-space characteristics of delayed rockburst in tunnel under high in-situ stress[J]. Railway Engineering, 64(10): 94-99. (in Chinese with English abstract)
    [18] LIU Y Y, SU Y H, FANG Y B, et al., 2025. Model test of loose failure mechanism and stability coefficient analysis of tunnel surrounding rock[J]. Journal of Railway Science and Engineering, 22(7): 3134-3147. (in Chinese with English abstract)
    [19] LIU Z Z, CAO P, LIN H, et al., 2020. Three-dimensional upper bound limit analysis of underground cavities using nonlinear Baker failure criterion[J]. Transactions of Nonferrous Metals Society of China, 30(7): 1916-1927. doi: 10.1016/S1003-6326(20)65350-X
    [20] LV A Z, 1997. Selection method of section configration of underground chamber in high strata stress zone[J]. Journal of China Coal Society, 22(5): 49-52. (in Chinese with English abstract)
    [21] MA J, YAN S H, DONG Z H, et al. , 2024. In-situ stress measurement and in-situ stress field inversion analysis by hydraulic fracturing in large-scale underground plants[J]. China Rural Water and Hydropower, (6): 252-258. (in Chinese with English abstract)
    [22] MARTIN C D, KAISER P K, MCCREATH D R, 1999. Hoek-Brown parameters for predicting the depth of brittle failure around tunnels[J]. Canadian Geotechnical Journal, 36(1): 136-151. doi: 10.1139/t98-072
    [23] MENG J, ZHANG P, WANG J M, et al., 2024. Study on regional stress background and prevention of the rock burst accident on October 20th, 2018 in the Longyun Coal Industry area, Shandong, China[J]. Journal of Geomechanics, 30(3): 473-486. (in Chinese with English abstract)
    [24] MENG W, GUO C B, MAO B Y, et al., 2021. Tectonic stress field and engineering influence of China-Nepal railway corridor[J]. Geoscience, 35(1): 167-179. (in Chinese with English abstract)
    [25] MENG W, TIAN T, SUN D S, et al., 2022. Research on stress state in deep shale reservoirs based on in-situ stress measurement and rheological model[J]. Journal of Geomechanics, 28(4): 537-549. (in Chinese with English abstract)
    [26] PAN J H, 2025. Stress distribution of surrounding rock during excavation of water diversion tunnel project and optimization of safety technology for support structure construction[J]. Water Conservancy Science and Technology and Economy, 31(4): 78-83. (in Chinese with English abstract)
    [27] PENG J B, CUI P, ZHUANG J Q, 2020. Challenges to engineering geology of Sichuan-Tibet railway[J]. Chinese Journal of Rock Mechanics and Engineering, 39(12): 2377-2389. (in Chinese with English abstract)
    [28] QI L, MA Q C, 2000. On the selection of longitudinal direction and stability of underground opening based on the analysis of in-situ stress field[J]. Chinese Journal of Rock Mechanics and Engineering, 19(S1): 1120-1123. (in Chinese with English abstract)
    [29] RUSSENES B F, 1974. Analysis of rock spalling for tunnels in steep valley sides[D]. Trondheim: Norwegian Institute of Technology: 9-17.
    [30] SHAO C C, LI Y F, ZOU X, et al., 2020. Research on CBR-based decision-making model of rock burst prevention in railway engineering[J]. Railway Standard Design, 64(5): 132-136. (in Chinese with English abstract)
    [31] SUN F Y, GUO J Q, ZHANG X B, et al., 2025. Research on the radial stress gradient effect of rockburst characteristics in tunnel under true triaxial condition with single-side unloading[J]. Chinese Journal of Rock Mechanics and Engineering, 44(2): 373-390. (in Chinese with English abstract) doi: 10.3724/1000-6915.jrme.2024.0604
    [32] TAO W B, ZHANG Z F, WANG F, et al. , 2025. Inverse analysis of initial ground stress field in Maoyushan extra-long soft rock highway tunnel[J]. Journal of Hefei University of Technology (Natural Science), 48(7): 983-988, 995. (in Chinese with English abstract)
    [33] TAO Z Y, 1987. Rock burst and its judgment in high-ground stress region[J]. Yangtze River, 18(5): 25-32. (in Chinese)
    [34] WANG B, SUN D S, LI A W, et al., 2024. In situ stress state of deep basement in the Songliao Basin: evidence from in situ stress measurement in SK-2 borehole[J]. Earth Science Frontiers, 31(2): 377-390. (in Chinese with English abstract)
    [35] WANG C H, SONG C K, LIU L P, 2012. Study of stress characteristics of brittle failures of rock around underground openings[J]. Rock and Soil Mechanics, 33(S1): 1-7. (in Chinese with English abstract)
    [36] WANG C H, LI W, 2025. Major advances and prospects in in-situ stress measurement and estimation methods over the past 10 years (2014-2025)[J]. Journal of Geomechanics, 31(6): 1188-1209. (in Chinese with English abstract)
    [37] WANG D, WANG J F, LI T B, et al., 2021. Analysis of three-dimensional movement characteristics of rockfall: a case study at a railway tunnel entrance in the southwestern mountainous area, China[J]. Journal of Geomechanics, 27(1): 96-104. (in Chinese with English abstract)
    [38] WANG J R, PU S, YAO Z G, et al., 2025. Rock burst initiation mechanism of horizontal layered hard rock tunnel under high geostress[J]. Journal of Highway and Transportation Research and Development, 42(5): 173-183. (in Chinese with English abstract)
    [39] WANG X Q, LU X, LIU B, et al. , 2009. Study on present-day vertical crust movement and seismic activity in Xinjiang area[J]. Journal of Geodesy and Geodynamics, 29(6): 22-27, 31. (in Chinese with English abstract)
    [40] XIAO H F, WU N Y, GAO G Y, et al., 2025. A method for determining characteristic pressure parameters during hydraulic fracturing based on linearized fitting[J]. Journal of Geomechanics, 31(6): 1282-1295. (in Chinese with English abstract)
    [41] XIE F R, CUI X F, ZHAO J T, et al., 2004. Regional division of the recent tectonic stress field in China and adjacent areas[J]. Chinese Journal of Geophysics, 47(4): 654-662. (in Chinese with English abstract)
    [42] XIE F R, CHEN Q C, CUI X F, et al., 2007. Fundamental database of crustal stress environment in continental China[J]. Progress in Geophysics, 22(1): 131-136. (in Chinese with English abstract)
    [43] XU B, XIE H P, TU Y J, 2007. Numerical simulation of rockburst stress state during excavation of underground powerhouse of Pubugou Hydropower Station[J]. Chinese Journal of Rock Mechanics and Engineering, 26(S1): 2894-2900. (in Chinese with English abstract)
    [44] XU L S, WANG L S, 1999. Study on the laws of rockburst and its forecasting in the tunnel of Erlang Mountain road[J]. Chinese Journal of Geotechnical Engineering, 21(5): 569-572. (in Chinese with English abstract)
    [45] XU L X, RAN Y K, LIANG M J, et al., 2020. Geometric distribution and characteristics of the surface rupture of two historical earthquakes in the Barkol Basin, Xinjiang[J]. Seismology and Geology, 42(1): 1-17. (in Chinese with English abstract)
    [46] YANG S X, YAO R, LI Y J, et al., 2025. Progress and perspectives in research on crustal stress and earthquakes[J]. Journal of Geomechanics, 31(6): 1127-1145. (in Chinese with English abstract)
    [47] YAO N, ZHANG Y L, LIU Y, et al., 2025. Rock burst intensity grading prediction based on the combination of PCA, CBLOF and SVMSMOTE algorithms[J]. Chinese Journal of Rock Mechanics and Engineering, 44(5): 1230-1241. (in Chinese with English abstract) doi: 10.3724/1000-6915.jrme.2024.0475
    [48] YIN S H, KOU Y Y, ZHOU Y, et al., 2025. Optimized layout and excavation sequence of deep chambers[J]. Chinese Journal of Engineering, 47(4): 628-641. (in Chinese with English abstract)
    [49] YU L, YOU Z M, CHEN J P, et al., 2015. Rock classification for tunnels in high geostress areas[J]. Modern Tunnelling Technology, 52(3): 23-30. (in Chinese with English abstract)
    [50] YUAN H Y, WU C Y, YU X H, et al., 2025. Late Quaternary activity characteristics of the eastern segment of the Bogda northern margin fault, Eastern Tianshan[J]. China Earthquake Engineering Journal, 47(5): 1243-1250. (in Chinese with English abstract)
    [51] ZHANG J J, FU B J, 2008. Rockburst and its criteria and control[J]. Chinese Journal of Rock Mechanics and Engineering, 27(10): 2034-2042. (in Chinese with English abstract)
    [52] ZHAO C L, ZHANG Y X, LI Z S, et al., 2025. Comparative study of excavation schemes for underground plant caverns based on in-situ stress field inversion[J]. Journal of Geomechanics, 31(6): 1255-1267. (in Chinese with English abstract)
    [53] ZHAO H, ZHANG H R, 2025. Rock burst assessment and numerical simulation of deep-buried long tunnel based on energy criterion[J]. Drilling Engineering, 52(3): 55-62. (in Chinese with English abstract)
    [54] ZHU Y H, CHEN S W, RUAN L, et al., 2025. The rockburst tendency evaluation in Jigongling phosphate mine[J]. Water Resources and Hydropower Engineering, 56(6): 227-240. (in Chinese with English abstract)
    [55] ZOBACK M D, HEALY J H, 1992. In situ stress measurements to 3.5 km depth in the Cajon Pass scientific research borehole: implications for the mechanics of crustal faulting[J]. Journal of Geophysical Research: Solid Earth, 97(B4): 5039-5057. doi: 10.1029/91JB02175
    [56] 陈群策, 孙东生, 崔建军, 等, 2019. 雪峰山深孔水压致裂地应力测量及其意义[J]. 地质力学学报, 25(5): 853-865. doi: 10.12090/j.issn.1006-6616.2019.25.05.070
    [57] 池建军, 滕杰, 尚彦军, 等, 2023. 天山某深埋隧道地应力变化对比分析[J]. 新疆地质, 41(3): 431-435. doi: 10.3969/j.issn.1000-8845.2023.03.022
    [58] 范玉璐, 曹佳文, 余顺, 等, 2023. 高地应力作用下渭武高速木寨岭隧道围岩大变形灾变预测分析研究[J]. 地质力学学报, 29(6): 786-800.
    [59] 丰成君, 陈群策, 吴满路, 等, 2012. 水压致裂应力测量数据分析: 对瞬时关闭压力ps的常用判读方法讨论[J]. 岩土力学, 33(7): 2149-2159. doi: 10.3969/j.issn.1000-7598.2012.07.035
    [60] 冯夏庭, 肖亚勋, 丰光亮, 等, 2019. 岩爆孕育过程研究[J]. 岩石力学与工程学报, 38(4): 649-673. doi: 10.13722/j.cnki.jrme.2023.0687
    [61] 郭宏辉, 何新明, 朱林涛, 等, 2024. 准噶尔盆地四棵树凹陷多期应力场作用下的构造演化特征[J]. 地质科技通报, 43(5): 146-160.
    [62] 黄帅堂, 胡伟华, 杨攀新, 等, 2020. 东天山唐巴勒-塔斯墩断裂带晚第四纪活动特征[J]. 地震地质, 42(5): 1058-1071.
    [63] 姜浩, 严健, 韦远圳, 等, 2025. 近活动断裂带长大深埋高铁隧道地应力特征分析[J]. 铁道勘察, 51(1): 112-119. doi: 10.19630/j.cnki.tdkc.202410150001
    [64] 蒋健, 董志宏, 周春华, 等, 2025. 新疆某高水头抽蓄电站地应力综合测量及应力场反演分析[J]. 水资源与水工程学报, 36(2): 144-152. doi: 10.11705/j.issn.1672-643X.2025.02.17
    [65] 李四光, 1977. 论地震[M]. 北京: 地质出版社.
    [66] 李征征, 杨文超, 张鹏, 等, 2023. 藏东南某大型水电站工程区地应力状态及反演分析[J]. 地质力学学报, 29(3): 442-452. doi: 10.12090/j.issn.1006-6616.20232912
    [67] 廖椿庭, 施兆贤, 1983. 金川矿区原岩应力实测及在矿山设计中的应用[J]. 岩石力学与工程学报, 2(1): 103-112.
    [68] 刘宁, 张春生, 褚卫江, 等, 2013. 深埋大理岩力学特性对岩爆发生条件的影响分析[J]. 岩土力学, 34(9): 2638-2642, 2648. doi: 10.16285/j.rsm.2013.09.024
    [69] 刘阳阳, 苏永华, 方砚兵, 等, 2025. 隧道围岩松动破坏机制模型实验及稳定性系数分析[J]. 铁道科学与工程学报, 22(7): 3134-3147. doi: 10.19713/j.cnki.43-1423/u.T20241455
    [70] 刘宇, 张均清, 罗驰, 等, 2024. 高地应力隧道滞后型岩爆时空特征影响因素[J]. 铁道建筑, 64(10): 94-99. doi: 10.3969/j.issn.1003-1995.2024.10.16
    [71] 吕爱钟, 1997. 高地应力区地下硐室断面形状的选择方法[J]. 煤炭学报, 22(5): 49-52.
    [72] 马健, 鄢双红, 董志宏, 等, 2024. 大型地下厂房水压致裂法地应力测量及地应力场反演分析[J]. 中国农村水利水电(6): 252-258.
    [73] 孟静, 张鹏, 王继明, 等, 2024. 山东龙郓煤业10·20冲击地压事故区域应力背景与防控研究[J]. 地质力学学报, 30(3): 473-486. doi: 10.12090/j.issn.1006-6616.2023094
    [74] 孟文, 郭长宝, 毛邦燕, 等, 2021. 中尼铁路交通廊道现今构造应力场及其工程影响[J]. 现代地质, 35(1): 167-179. doi: 10.19657/j.geoscience.1000-8527.2020.104
    [75] 孟文, 田涛, 孙东生, 等, 2022. 基于原位地应力测试及流变模型的深部泥页岩储层地应力状态研究[J]. 地质力学学报, 28(4): 537-549. doi: 10.12090/j.issn.1006-6616.2022041
    [76] 潘军海, 2025. 引水隧洞工程开挖围岩应力分布与支护结构施工安全技术优化[J]. 水利科技与经济, 31(4): 78-83. doi: 10.3969/j.issn.1006-7175.2025.04.015
    [77] 彭建兵, 崔鹏, 庄建琦, 2020. 川藏铁路对工程地质提出的挑战[J]. 岩石力学与工程学报, 39(12): 2377-2389. doi: 10.13722/j.cnki.jrme.2020.0446
    [78] 戚蓝, 马启超, 2000. 在地应力场分析的基础上探讨地下洞室长轴向选取和围岩稳定性[J]. 岩石力学与工程学报, 19(S1): 1120-1123. doi: 10.3321/j.issn:1000-6915.2000.z1.065
    [79] 邵晨超, 李远富, 邹鑫, 等, 2020. 基于CBR的铁路工程岩爆预防措施决策模型研究[J]. 铁道标准设计, 64(5): 132-136. doi: 10.13238/j.issn.1004-2954.201906150006
    [80] 孙飞跃, 郭佳奇, 张小兵, 等, 2025. 真三轴单面卸荷条件下隧道岩爆特征的径向应力梯度效应研究[J]. 岩石力学与工程学报, 44(2): 373-390. doi: 10.3724/1000-6915.jrme.2024.0604
    [81] 陶文斌, 张志峰, 王飞, 等, 2025. 毛羽山特长公路软岩隧道初始地应力反演分析[J]. 合肥工业大学学报(自然科学版), 48(7): 983-988, 995. doi: 10.3969/j.issn.1003-5060.2025.07.019
    [82] 陶振宇, 1987. 高地应力区的岩爆及其判别[J]. 人民长江, 18(5): 25-32.
    [83] 王斌, 孙东生, 李阿伟, 等, 2024. 松辽盆地深部基底地应力状态: 来自松科2井地应力实测数据的证据[J]. 地学前缘, 31(2): 377-390. doi: 10.13745/j.esf.sf.2023.11.38
    [84] 王成虎, 宋成科, 刘立鹏, 2012. 地下洞室围岩脆性破坏时的应力特征研究[J]. 岩土力学, 33(S1): 1-7. doi: 10.16285/j.rsm.2012.s1.001
    [85] 王成虎, 李尉, 2025. 近10年(2014—2025年)地应力测试与估算方法的主要进展及展望[J]. 地质力学学报, 31(6): 1188-1209. doi: 10.12090/j.issn.1006-6616.2025080
    [86] 王栋, 王剑锋, 李天斌, 等, 2021. 西南山区某铁路隧道口高位落石三维运动特征分析[J]. 地质力学学报, 27(1): 96-104. doi: 10.12090/j.issn.1006-6616.2021.27.01.010
    [87] 王钧荣, 蒲松, 姚志刚, 等, 2025. 高地应力水平层状硬岩隧道岩爆孕育机理[J]. 公路交通科技, 42(5): 173-183. doi: 10.3969/j.issn.1002-0268.2025.05.019
    [88] 王晓强, 路星, 刘斌, 等, 2009. 新疆地区现今地壳垂直运动及地震活动研究[J]. 大地测量与地球动力学, 29(6): 22-27, 31. doi: 10.3969/j.issn.1671-5942.2009.06.005
    [89] 肖海帆, 武凝雨, 高桂云, 等, 2025. 基于线性化拟合的水压致裂特征压力参数判定方法[J]. 地质力学学报, 31(6): 1282-1295. doi: 10.12090/j.issn.1006-6616.2025091
    [90] 谢富仁, 崔效锋, 赵建涛, 等, 2004. 中国大陆及邻区现代构造应力场分区[J]. 地球物理学报, 47(4): 654-662. doi: 10.3321/j.issn:0001-5733.2004.04.016
    [91] 谢富仁, 陈群策, 崔效锋, 等, 2007. 中国大陆地壳应力环境基础数据库[J]. 地球物理学进展, 22(1): 131-136. doi: 10.3321/j.issn:1000-6915.2004.23.031
    [92] 许博, 谢和平, 涂扬举, 2007. 瀑布沟水电站地下厂房开挖过程中岩爆应力状态的数值模拟[J]. 岩石力学与工程学报, 26(S1): 2894-2900. doi: 10.3321/j.issn:1000-6915.2007.z1.046
    [93] 徐良鑫, 冉勇康, 梁明剑, 等, 2020. 新疆巴里坤1842年和1914年2次M7 $ 1 / 2 $历史地震地表破裂的几何展布及特征[J]. 地震地质, 42(1): 1-17.
    [94] 徐林生, 王兰生, 1999. 二郎山公路隧道岩爆发生规律与岩爆预测研究[J]. 岩土工程学报, 21(5): 569-572. doi: 10.3321/j.issn:1000-4548.1999.05.009
    [95] 杨树新, 姚瑞, 李玉江, 等, 2025. 地应力与地震研究进展及展望[J]. 地质力学学报, 31(6): 1127-1145. doi: 10.12090/j.issn.1006-6616.2025104
    [96] 姚囝, 张义礼, 刘洋, 等, 2025. 基于PCA, CBLOF和SVMSMOTE算法组合的岩爆烈度等级分级预测[J]. 岩石力学与工程学报, 44(5): 1230-1241. doi: 10.3724/1000-6915.jrme.2024.0475
    [97] 尹升华, 寇永渊, 周昀, 等, 2025. 深部硐室群布置方式及开挖顺序优化研究[J]. 工程科学学报, 47(4): 628-641. doi: 10.13374/j.issn2095-9389.2024.05.31.004
    [98] 余莉, 尤哲敏, 陈建平, 等, 2015. 高地应力地区隧道围岩分级研究[J]. 现代隧道技术, 52(3): 23-30. doi: 10.13807/j.cnki.mtt.2015.03.004
    [99] 袁海洋, 吴传勇, 于晓辉, 等, 2025. 东天山博格达北缘断裂东段晚第四纪活动特征[J]. 地震工程学报, 47(5): 1243-1250. doi: 10.20000/j.1000-0844.20240806001
    [100] 张镜剑, 傅冰骏, 2008. 岩爆及其判据和防治[J]. 岩石力学与工程学报, 27(10): 2034-2042. doi: 10.3321/j.issn:1000-6915.2008.10.010
    [101] 赵春雷, 张延新, 李自硕, 等, 2025. 基于地应力场反演的地下厂房开挖方案比选研究[J]. 地质力学学报, 31(6): 1255-1267. doi: 10.12090/j.issn.1006-6616.2025081
    [102] 赵晖, 张浩然, 2025. 基于能量准则的深埋长隧洞岩爆评价及数值模拟分析[J]. 钻探工程, 52(3): 55-62. doi: 10.12143/j.ztgc.2025.03.007
    [103] 祝雨杭, 陈世万, 阮亮, 等, 2025. 鸡公岭磷矿岩爆倾向性评价研究[J]. 水利水电技术(中英文), 56(6): 227-240. doi: 10.13928/j.cnki.wrahe.2025.06.019
  • 加载中
图(9) / 表(5)
计量
  • 文章访问数:  392
  • HTML全文浏览量:  86
  • PDF下载量:  203
  • 被引次数: 0
出版历程
  • 收稿日期:  2025-06-23
  • 修回日期:  2025-08-29
  • 录用日期:  2025-09-04
  • 预出版日期:  2025-09-09
  • 刊出日期:  2026-04-28

目录

    /

    返回文章
    返回