2025 Vol. 31, No. 6

Cover Page
Cover Page
2025, 31(6)
Abstract (230) PDF (1607KB)(117)
Abstract:
Contents
Contents
2025, 31(6): 1-2.
Abstract (199) HTML (149) PDF (465KB)(305)
Abstract:
2025, 31(6): 1109-1110. doi: 10.12090/jissn.1006-6616.20253102
Abstract (315) HTML (156) PDF (295KB)(150)
Abstract:
Research progress and prospects of deep stress measurement technology
SUN Dongsheng, LI Awei, YANG Yuehui, WU Bangchen, ZHANG Hao, SUN Weifeng, LI Ran
2025, 31(6): 1111-1126. doi: 10.12090/j.issn.1006-6616.2025089
Abstract (559) HTML (162) PDF (1565KB)(207)
Abstract:
  Objective  With the implementation of the national strategy of seeking resources, safety, and space from deep Earth, the frequency and intensity of various engineering disasters caused by in-situ stress have also significantly increased. At the same time, in engineering fields such as underground gas storage and water diversion tunnels, using the minimum principal stress criterion to determine the upper limit operating pressure can to some extent improve the storage capacity of underground space or reduce tunnel support costs. Overall, the importance of in-situ stress in the process of advancing towards the deep Earth is becoming increasingly prominent. However, there are still bottlenecks in the demand oriented deep stress measurement technology, such as insufficient detection capability and low reliability of measurement results, which restrict the application of in-situ stress data in solving scientific problems such as tectonic activity, deep resource development, and space utilization.   Methods  On the basis of a brief review of the current development status of in-situ stress measurement technology, this article focuses on the progress and achievements of the team in theoretical research, technical development, and application practice of in-situ stress measurement in recent years.   Results  It points out the challenges faced by deep in-situ stress measurement in terms of theoretical methods and technical aspects, and proposes a research route and direction for deep borehole stress detection in conjunction with the current national science and technology major project "Key Technologies and Experiments for Deep Stress Detection".   Conclusion  The goal is to develop high, precise, and advanced in-situ stress measurement technology and equipment, construct an in-situ stress observation technology system covering the depth space of the hypocenter source. [ Significance ] Deep borehole in-situ stress detection technology holds significant potential for applications in geodynamics research, deep resource exploration, and disaster prediction and prevention.
Progress and perspectives in research on crustal stress and earthquakes
YANG Shuxin, YAO Rui, LI Yujiang, HUANG Luyuan, HU Xingping
2025, 31(6): 1127-1145. doi: 10.12090/j.issn.1006-6616.2025104
Abstract (813) HTML (250) PDF (4189KB)(243)
Abstract:
  Objective  The crustal stress state is a key physical parameter for understanding lithospheric dynamics, elucidating earthquake preparation mechanisms, and assessing regional seismic hazards. It also provides essential data for the optimal design, safe construction, and operation of major underground energy and geotechnical engineering projects. Systematically reviewing the research context in this field and clarifying the current progress and challenges can provide guidance for future research.   Methods  Through a systematic review and synthesis, we summarize the technical methodologies and the evolution of development paradigms in three interconnected domains: acquisition of crustal stress data, analysis and modeling of stress fields, and stress processes associated with earthquakes.   Results  (1) Progress in stress information acquisition: Observation techniques have advanced from shallow to deep levels and from single-site measurements to network-based monitoring. Traditional methods have been continuously refined, while deep borehole in-situ techniques, such as elastic strain recovery (ASR) and differential strain curve analysis (DSCA), have extended observation depths beyond 5 km. The integration of multidisciplinary data has become a prominent trend. (2) Advances in stress field analysis and modeling: Methodologies have evolved from analytical and numerical approaches to an intelligent framework that integrates mechanisms, data, and knowledge. Numerical models have developed from two-dimensional elastic formulations to three-dimensional visco-elastoplastic representations, enabling the dynamic characterization of regional four-dimensional stress fields. (3) Developments in earthquake-related stress processes: In-situ stress measurements, Coulomb stress modeling, and combined physical–numerical experiments jointly reveal the cyclic pattern of “quiescence–accumulation–release–adjustment” during earthquake initiation, as well as stress triggering and shadow effects, and the physical mechanisms underlying fault instability nucleation.   Conclusion  Current research still faces challenges such as the scarcity of deep stress data, the complexity of integrating multi-source data, and the high uncertainty in determining the initial stress field. Future studies should focus on (1) developing intelligent, multi-method technologies for deep stress observation; (2) constructing machine learning–based inversion and four-dimensional dynamic stress field models constrained by physical principles; (3) advancing research on thermo–chemical–mechanical coupling rheology; and (4) promoting a new paradigm for seismic prediction that integrates stress mechanisms, big data, and expert knowledge. Thereby, future studies will provide a more robust scientific foundation for seismic risk assessment and disaster prevention and mitigation. [ Significance ] This review of advancements and prospects in crustal stress and earthquake research provides references and insights for the observation and analysis of seismic stress processes and for the research on seismic dynamic prediction methods.
How do borehole observations characterize crustal stress?
MA Xiaodong
2025, 31(6): 1146-1158. doi: 10.12090/j.issn.1006-6616.2025153
Abstract (463) HTML (110) PDF (1817KB)(185)
Abstract:
  Objective  Knowing the in-situ stress state is of great importance for understanding a wide range of geomechanical processes in the Earth’s crust, and for addressing many practical problems in the subsurface. The in-situ stress characterization in boreholes through the classic hydraulic fracturing test and borehole failure observation has provided fundamental knowledge of the stress state in the brittle upper crust.   Methods  Compiling borehole observations and other stress indicators over much larger scales reveals coherent and consistent stress orientations and relative stress magnitudes over appreciable depths and between boreholes at the regional scale. Stress magnitudes determined using the hydraulic fracturing method and borehole failure observation are consistent with the classic Anderson and Coulomb faulting theories, as well as with the empirical Byerlee’s law. This is useful for constraining the in-situ stress state and quantifying fault stability. The general state of frictional equilibrium in the upper crust is present, although stress variations at local scales due to discontinuities, lithology contrasts, rock mass anisotropy and other factors are practically ubiquitous.   Results  To date, the hydraulic fracturing method and borehole failure observations—and their evolved variants—remain extremely useful. However, given the challenges ahead in subsurface exploration and engineering, it is imperative that we fundamentally revolutionize how we collect, interpret, and share the stress data with innovative developments in crustal stress characterization.   Significance  In this paper, we also present several ongoing projects that attempt to innovate stress observations at various scales. These attempts build upon the foundation laid by hydraulic fracturing tests and borehole failure observations. At the scale of individual boreholes, deep learning is being employed to automatically identify borehole stress indicators, such as fractures and breakouts, in image logs to increase the efficiency and robustness of stress interpretation. Processed image logs with various characteristics can further improve the applicability of deep learning models. At the scale of borehole arrays in subsurface engineering, the use of multiple boreholes and complementary approaches (hydraulic fracturing tests and borehole failure observations) enables stress characterization at finer spatial scales, which prompts the understanding of stress distribution and engineering practicality. At the scale of ultra-deep boreholes, the identification and classification of uncommon stress indicators, such as natural fractures, are utilized to invert the in-situ stress and crustal rock mass strength. The inversion confirms the frictional equilibrium hypothesis and offers an alternative approach for stress characterization.  Conclusion  These attempts underscore the importance of moving beyond the paradigm of borehole stress characterization and the interconnectedness between classic theories and novel developments.
Insights into the statistical relationship between focal mechanisms and stress from synthetic experiments
LI Zhenyue, WAN Yongge
2025, 31(6): 1159-1167. doi: 10.12090/j.issn.1006-6616.2025082
Abstract (523) HTML (123) PDF (17540KB)(148)
Abstract:
  Objective  The extent to which the spatial distribution patterns (particularly the clustering characteristics) of fault nodal planes or the P, B, and T axes of a set of focal mechanism data can provide information about background stress causing earthquakes has long been a controversial academic topic.   Methods  This study systematically investigates this issue through synthetic experiments designed on the basis of the stress–fault slip relationship, with stress parameters including the orientations of the three principal stresses and the stress shape ratio (R).   Results  The experimental results demonstrate that the spatial distribution patterns of both fault nodal planes and PBT axes are jointly controlled by the stress shape ratio and the fault failure conditions. In most cases, the two nodal planes exhibit widely scattered spatial distributions. Only when the shape ratio is close to 0.5 and the contact area between the Mohr-Coulomb failure envelope and Mohr’s circle is minimized do the distributions of both the actual and the auxiliary planes become relatively concentrated. Under these specific conditions, the fault nodal planes (their normals) gain statistical significance for estimating stress orientations. Identifying the actual fault plane among the two nodal planes in focal mechanisms would enhance the determination of principal stress directions. Notably, the spatial distribution of PBT axes effectively captures both the principal stress orientations and the shape ratio. Key findings include: (1) Due to the influence of fault failure conditions and the shape ratio, the P, B, and T axes may not cluster or disperse simultaneously. However, when clustering occurs, they converge near the $ {\sigma }_{1} $, $ {\sigma }_{2} $, or $ {\sigma }_{3} $ axes, respectively. (2) A ring-shaped (toroidal) distribution of T axes indicates a high R-value. (3) P and T axes never exhibit fully random scattering; if such disorder is observed in real data, it suggests that the focal mechanisms may not share a common stress regime.   Conclusion  This study provides critical constraints for evaluating whether focal mechanism data used in stress inversion belong to a unified stress regime and for predicting stress parameters from the distribution of PBT axes. [ Significance ] These results offer significant implications for developing and applying stress inversion methodology using focal mechanisms.
Determination of hydraulic fracture closure pressure based on total system stiffness method: Case studies
YANG Yuehui, SUN Dongsheng, WU Bangchen, LI Awei, LI Ran, QIN Xianghui, SUN Weifeng, MENG Wen, CHEN Qunce
2025, 31(6): 1168-1176. doi: 10.12090/j.issn.1006-6616.2025099
Abstract (324) HTML (100) PDF (1902KB)(154)
Abstract:
  Objective  Hydraulic fracturing is one of the most widely used and ISRM-recommended techniques for in-situ stress measurement in rock masses, where a key step is determining closure pressure from the pressure-decay curve as a proxy for the minimum horizontal principal stress. Conventional interpretation methods mainly rely on tangents or best-fit lines to analyze the pressure-decay rate, making the result highly sensitive to the selected time window and lacking clear physical representation of fracture closure, which introduces uncertainties in closure pressure and stress evaluation.   Methods  This study proposes a method based on the evolution of Total System Stiffness (TSS), in which the pressure-decay curve after shut-in is transformed into a TSS curve to better capture fracture-closure behavior, and the method is applied to hydraulic-fracturing datasets from different boreholes, lithologies and depths.   Results  The evolution of TSS after shut-in can be divided into three main stages whose features can be used to identify upper and lower bounds of closure pressure and to evaluate whether the pressure curve is suitable for in-situ stress interpretation; closure pressures obtained in this way show reduced sensitivity to the choice of time window compared with conventional approaches.   Conclusion  The TSS method provides clear physical meanings for the beginning and end of fracture closure and determines closure pressure directly from pressure data, without fitting or extrapolation. [ Significance ] The method offers a practical tool for improving closure-pressure interpretation and is expected to be widely applicable in hydraulic-fracturing-based in-situ stress analysis.
Tectonic stress field and crustal strength of the central-southern Tanlu Fault Zone
MENG Wen, CHEN Qunce, GUO Xiangyun, HUANG Xin
2025, 31(6): 1177-1187. doi: 10.12090/j.issn.1006-6616.2025107
Abstract (511) HTML (153) PDF (2328KB)(164)
Abstract:
  Significance  The accurate estimation of crustal strength—the capacity of the lithosphere to resist tectonic deformation—is fundamental to both seismic hazard assessment and geodynamic studies.   Methods  This study integrates borehole logging data and focal mechanism solutions from the central-southern Tanlu Fault Zone.   Objective  The study aims to analyze the characteristics of the tectonic stress field.   Results  The study reveals that the stress states in the shallow and deep crust are generally consistent, with a predominant strike-slip stress regime and a preferential ENE–WSW orientation of the maximum horizontal principal stress. The regional fault friction coefficient is approximately 0.3, significantly lower than the 0.6–1.0 range suggested by Byerlee's law, indicating a moderate level of fault frictional strength. Furthermore, constrained by these findings, a crustal strength profile was established for the central-southern Tanlu Fault Zone.   Conclusion  This profile reveals a relatively strong upper and middle crust underlain by an extremely weak lower crust. Regional tectonic forces are primarily transmitted through the upper and middle crust. This extremely weak lower crust is closely linked to the destruction of the North China Craton since the Mesozoic, likely serving as both a consequence and a facilitating mechanism of the deep deformation processes that led to lithospheric thinning.
Major advances and prospects in in-situ stress measurement and estimation methods over the past 10 years (2014–2025)
WANG Chenghu, LI Wei
2025, 31(6): 1188-1209. doi: 10.12090/j.issn.1006-6616.2025080
Abstract (1009) HTML (403) PDF (2357KB)(235)
Abstract:
  Objective  The characteristics of the in-situ stress field are fundamental to major strategic underground engineering projects, deep earth resource and energy development, and geohazard prevention and control. Over the past decade, significant progress and breakthroughs have been made in in-situ stress measurement and estimation methods.   Method  This article systematically reviews the main advances in in-situ stress measurement and estimation methods from 2014 to 2025. These advances can be categorized into four technical fields: core-based methods, borehole-based methods, geophysics-based methods, and emerging data-driven estimation methods.   Results  Core-based testing methods have improved the accuracy of in-situ stress magnitude measurements through theoretical refinements and enhanced the precision of stress direction determination through equipment upgrades, addressing the previous inability to measure in-situ stress in low-strength rocks. Borehole-based testing methods have been further developed and now use sensors with high temperature and pressure resistance, as well as corrosion resistance, enabling deep borehole imaging, direction identification, and in-situ stress measurement. Accurate analytical solutions for in-situ stress magnitudes have been obtained through corrections. Geophysics-based methods have enabled the inversion of the in-situ stress field using focal mechanism solutions of minor earthquakes (magnitude 0.5–1.0), providing extensive rock mass stress information. Acoustic, imaging, and dipmeter logging technologies have also evolved to utilize non-contact, high-precision, and high-sensitivity equipment, making them more suitable for deep boreholes and oilfield development. Advancements in big data and artificial intelligence have given rise to data-driven testing methods that can be divided into three categories based on prediction approaches: machine learning, intelligent neural network prediction, and intelligent back-analysis. These methods have advanced in-situ stress measurement from discrete "point measurements" to full-field "field reconstruction."   Conclusion  Compared to traditional methods, current in-situ stress testing is moving toward "deepening, intelligentization, and systematization."   Significance  Future research should focus on the dual drivers of intelligent prediction models and intelligent testing equipment to address the challenges of complex deep geological environments.
Research and development of a volumetric mining-induced stress monitoring sensor and its application
LI Guanghan, SUN Dongsheng, HAN Jun, GUO Baolong, MA Shuangwen, ZHU Zhijie
2025, 31(6): 1210-1221. doi: 10.12090/j.issn.1006-6616.2025078
Abstract (550) HTML (160) PDF (1882KB)(138)
Abstract:
  Objective  As coal mining depth continuously advancing to the kilometer level, the dynamic evolution characteristics of mining-induced stress fields have become a crucial challenge for deep surrounding rock stability control and dynamic disaster early warning. Existing traditional monitoring equipment is limited by uniaxial measurement, and suffers from insufficient monitoring sensitivity and poor long-term stability in heterogeneous media such as coal and rock masses, failing to meet the precise monitoring needs of deep mining.  Methods  This study proposes a new type of volumetric mining-induced stress monitoring sensor. Through complete coupling between its cylindrical sensing structure and the surrounding rock of the borehole, it breaks through the uniaxial measurement limitation of traditional equipment, enabling real-time monitoring of mining-induced stress changes caused by micro-deformations of surrounding rock masses.   Results  Laboratory tests, field tests, and application results show the following: (1) In laboratory tests, the pressure change output by the sensor shows a highly linear relationship with axial stress, with a sensitivity of 0.456, which is better than that of traditional stress gauges; (2) Long-term stability tests indicate that under high and low stress environments, the sensor’s pressure fluctuations show no continuous drift or data jumps, demonstrating good long-term monitoring stability; (3) Temperature characteristic experiments reveal a linear relationship between temperature and pressure changes, verifying the universality of the temperature compensation formula; (4) In the field application at Yadian Coal Mine in Binchang Mining Area, Shaanxi Province, the sensor successfully captured stress fluctuations synchronized with the mining cycle. In sudden stress events, such as roof fractures, its response speed and accuracy were significantly better than those of traditional equipment, and the monitoring data showed a strong correlation with microseismic monitoring results; (5) Tests in hard rock environments in metal mines also confirmed the sensor's long-term stable monitoring capability.  Conclusion  (1) The new volumetric mining-induced stress monitoring sensor overcomes the uniaxial measurement limitation of traditional equipment, significantly improving monitoring sensitivity and long-term stability in heterogeneous media; (2) Laboratory tests verify its linear response characteristics, high sensitivity, and temperature adaptability, while field applications prove that it can effectively capture the dynamic evolution characteristics of mining-induced stress; (3) The sensor can work stably in different mining environments such as coal mines and metal mines, showing strong applicability.   Significance  This research solves the key problems of insufficient monitoring sensitivity and poor long-term stability of mining-induced stress in deep heterogeneous media. It provides reliable technical support for capturing precursor information of dynamic disasters in deep mines and early warning of delayed rockbursts in tunnels, with important scientific value and application innovation.
In-situ stress characteristics in the project area of a large hydropower station on the northern margin of the eastern Himalayan syntaxis
WANG Bin, DONG Zhihong, LIU Yuankun, FU Ping, HAN Xiaoyu, AI Kai, ZHOU Chunhua, ZHANG Xinhui, LUO Sheng, YANG Yuehui
2025, 31(6): 1222-1237. doi: 10.12090/j.issn.1006-6616.2025101
Abstract (338) HTML (134) PDF (2892KB)(152)
Abstract:
  Objective  We analyzed and evaluated the in-situ stress distribution characteristics and fault stability in the project area of a large hydropower station on the northern margin of the eastern Himalayan syntaxis.   Methods  We combined hydraulic fracturing measurements with three-dimensional stress field inversion analysis to obtain stress field information for key structures, such as the underground powerhouse and water diversion tunnels.   Results  The study revealed the following: (1) The principal stress relationship generally follows SH>Sv>Sh, dominated by horizontal stress, indicating a strike-slip stress regime. The predominant orientation of the maximum horizontal principal stress is ENE, consistent with the principal compressive stress direction derived from focal mechanism solutions. This is inferred to be primarily controlled by the NE-directed compression of the Indian Plate against the Eurasian Plate and the clockwise rotation around the eastern Himalayan syntaxis. (2) The principal stresses increase linearly with depth. Within the depth range of 77.8 m to 386.4 m, SH and Sh range from 3.0 MPa to 11.0 MPa and 2.0 MPa to 6.7 MPa, with gradients of 1.82 MPa/100 m and 0.72 MPa/100 m, respectively. Compared to the Tibetan Plateau block, the stress magnitude in the study area is relatively low. This is due to the Jiali Fault, which is predominantly characterized by strike-slip motion, accommodating and partially releasing tectonic stress. (3) Risk analysis of active faults based on the Mohr-Coulomb criterion and Byerlee’s law shows that the stress state of the Jiali Fault in the project area has not reached the critical condition for shallow crustal fault slip instability, indicating relative stability. (4) Stress field inversion results reveal that along the water diversion tunnels and the underground powerhouse (burial depth 160 m to 400 m), the maximum horizontal principal stress ranges from 3.9 MPa to 11.0 MPa, the vertical stress from 5.8 MPa to 10.7 MPa, and the minimum horizontal principal stress from 4.5 MPa to 7.8 MPa. The azimuth of the maximum horizontal principal stress is between 48° and 66°. The orientation of the maximum horizontal principal stress in the rock surrounding the tunnel often intersects the tunnel axis at large angles (generally 62° to 70°), which is unfavorable for the stability of the rock surrounding the tunnel.   Conclusion  A combined analysis of in-situ stress and surrounding rock strength indicates the possibility of slight rockbursts. Necessary protective measures should be implemented during excavation based on actual site conditions.  Significance  This study provides key evidence for evaluating fault stability and engineering safety in the project area.
Research on the application of the Quantum-behaved Particle Swarm Optimization algorithm in the inverse estimation of in-situ stress based on fault-slip fractures
ZHOU Weiwei, FENG Yongcun, LI Xiaorong, LIU Jie, SU Feiyu, HU Han
2025, 31(6): 1238-1254. doi: 10.12090/j.issn.1006-6616.2025095
Abstract (303) HTML (97) PDF (3371KB)(112)
Abstract:
  Objective  To improve the computational efficiency and accuracy of stress tensor inversion from fault-slip data, and to address the limitations of conventional grid search methods—namely, high computational cost and susceptibility to local optima—an inversion approach based on intelligent optimization algorithms was investigated.  Methods  A novel fault-slip data inversion method based on the Quantum-behaved Particle Swarm Optimization (QPSO) algorithm is proposed, in which the stress tensor is parameterized by four variables: three Euler angles (α, β, γ) representing the orientations of the principal stress axes and a stress ratio (Φ). A misfit function is constructed based on the angular deviation between the shear stress direction and the observed slip vector. To enhance convergence performance, an elite-guided learning strategy was adopted, incorporating a reward-penalty feedback mechanism and a tensor distance metric to quantify stress similarity. Multiple synthetic stress models were tested using a simulated fault-slip dataset, and the inversion performance of QPSO was compared with the conventional grid search method in terms of efficiency and accuracy.  Results  The proposed QPSO-based inversion method achieves a non-convergence rate below 8% and reduces computational time to approximately 1/27 of what is required by the grid search approach. The method converges rapidly in high-dimensional, multimodal parameter spaces and accurately identifies normal, reverse, and strike-slip stress regimes. The well-defined clustering of the inversion results indicates strong stability and physical consistency.   Conclusion  The QPSO-based method exhibits significant advantages in stress tensor inversion from fault-slip data, including high computational efficiency, strong adaptability, and fast convergence.   Significance  It provides effective technical support for regional in-situ stress field reconstruction and focal mechanism analysis, and offers the enlightenment and reference value of theoretical methods in geomechanical applications.
Comparative study of excavation schemes for underground plant caverns based on in-situ stress field inversion
ZHAO Chunlei, ZHANG Yanxin, LI Zishuo, WANG Qiang
2025, 31(6): 1255-1267. doi: 10.12090/j.issn.1006-6616.2025081
Abstract (311) HTML (131) PDF (3138KB)(112)
Abstract:
  Objective  As the core hub of pumped storage power station projects, the stability of the surrounding rock of underground powerhouses directly affects engineering safety and lifecycle benefits. The control of its excavation poses a key challenge for the safe and efficient construction of such stations. To ensure safe excavation and rational support design, three excavation sequences were designed and comprehensively compared using the entropy-weighted Topsis method. The results provide a theoretical reference for the design and optimization of excavation schemes for underground powerhouses.   Methods  Based on geological survey data and underground powerhouse designdocumentation, a three-dimensional geological model was established. Initial in-situ stress equilibrium was achieved through inversion of the stress field. Three excavation sequences were simulated to observe the mechanical responses of the surrounding rock in terms of principal stress, displacement, and plastic zone distribution. Using raw indicator data obtained from the simulations, the entropy weight method was applied to assign weights to these three key indicators, enabling an objective evaluation of surrounding rock stability. The Topsis evaluation system was then used to calculate the relative closeness degree of each scheme, thereby identifying the optimal excavation sequence.   Results  A case study of the Daya River Pumped Storage Power Station showed that Scheme I outperformed the other two schemes in overall excavation effectiveness: (1) The surrounding rock experienced lower compressive stress with reduced susceptibility to tensile failure, and the stress distribution was more uniform; (2) displacement control was the most effective, with clear and consistent displacement trends; (3) the plastic zone developed within the smallest range, indicating a superior self-stabilizing capacity of the surrounding rock. The calculated relative closeness degrees were 0.82 for Scheme I, significantly higher than those for Scheme II (0.36) and Scheme III (0.41), confirming Scheme I as the optimal excavation scheme.   Conclusion  The entropy weights assigned to stress, displacement, and plastic zone distribution indicate that displacement, particularly in the horizontal direction, plays a dominant role during construction. Subsequent support design and excavation optimization should emphasize detailed planning to ensure surrounding rock stability. The comprehensive scoring of each scheme via the entropy-weighted Topsis method reduces empirical analogy errors caused by overreliance on any single indicator, providing a more intuitive and reliable comparison. The evaluation results align well with the mechanical response patterns observed during excavation simulation.   Significance  This study provides a basis for subsequent support design and construction excavation, while also offering valuable theoretical reference and a practical case for the design of excavation schemes under similar complex geological conditions.
Fine geomechanics modeling and in-situ stress simulation around the well
XIONG Chenhao, LIU Xiaojing, ZHOU Jianghui, CHEN Qi
2025, 31(6): 1268-1281. doi: 10.12090/j.issn.1006-6616.2025097
Abstract (289) HTML (102) PDF (6679KB)(129)
Abstract:
  Objective  Continental shale oil reservoirs show rapid lithological variations, abundant laminae and interbeds, and strong heterogeneity, so that conventional regional geomechanical models with coarse grids, originally developed for relatively homogeneous deep marine shale gas reservoirs, cannot finely characterize vertical stress partitioning or capture local stress perturbations around wells. In the Jurassic Lianggaoshan Formation of the Fuxing area in the southeastern Sichuan Basin, the lack of high-resolution near-wellbore stress characterization and of a clear understanding of how faults and natural fractures disturb the in-situ stress field limits the design of horizontal well trajectories and hydraulic fracturing schemes. This study aims to establish a refined near-wellbore geomechanical modeling and in-situ stress simulation workflow for strongly heterogeneous continental shale reservoirs and to clarify the vertical and planar in-situ stress characteristics of the Lianggaoshan Formation, thereby identifying favorable landing intervals and azimuths for horizontal wells.   Methods  Focusing on a near-wellbore area with a radius of about 4 km, a refined geological grid model with a vertical resolution of 0.5–2.0 m was constructed and combined with high-resolution seismic inversion trend volumes to perform trend-constrained co-simulation of well-log-derived mechanical parameters, thus generating a high-precision three-dimensional geomechanical property model. On this basis, a nested finite element modeling strategy was adopted: a regional model provided the six-component background in-situ stress field, which was used as the initial stress condition in the near-wellbore model, where the effects of faults and fractures represented by an extended finite element method-based fracture–stress coupling scheme were simulated to predict near-wellbore stress distributions and local stress disturbances.   Results  (1) The refined near-wellbore geomechanical model significantly improves the vertical resolution and reliability of stress prediction in continental shale reservoirs: compared with directly assigning seismic inversion results to finite element grids, trend-constrained co-simulation yields mechanical property models that better honor lithologic layering and well-log measurements and that reduce noise in the predicted minimum principal stress. (2) For the Lianggaoshan Formation in the Fuxing area, the modeling results show that high-stress sandstone layers are developed at the top and base of the target sub-member ⑥, where the minimum principal stress is about 10–13 MPa higher than in the internal mudstone, forming vertical stress barriers that hinder the upward and downward propagation of hydraulic fractures; in contrast, the stress inside sub-member ⑥ is relatively uniform, with vertical stress differences generally less than 5 MPa, providing a continuous interval suitable for horizontal well landing. (3) Parametric simulations of single fractures at a burial depth of about 2800 m indicate that local stress disturbances around a fracture are strongly controlled by fracture orientation: for vertical fractures, the maximum stress disturbance is obtained when the fracture strike forms an angle of approximately 45° with the maximum horizontal principal stress; as the fracture strike tends to be parallel or perpendicular to the maximum horizontal stress, the disturbance decreases, and for a given strike angle, the disturbance increases with fracture dip and reaches its maximum at a dip of 90°, reflecting the stress-shadow effect of fractures. (4) Near-wellbore fracture–stress coupling simulations around representative wells confirm that the development of faults and fracture swarms causes local rotation and reduction of the horizontal principal stresses relative to the regional NE–SW maximum horizontal stress direction, and that hydraulic fractures preferentially propagate along low-stress corridors created by these fracture zones, thereby explaining the observed spatial distribution of stimulation in the Fuxing area.   Conclusion  The proposed workflow, which combines trend-constrained co-simulation of mechanical parameters with regional–local nested finite element stress modeling and fracture–stress coupling analysis, can effectively capture multi-scale heterogeneity and near-wellbore stress perturbations in continental shale reservoirs and provides a more realistic prediction of vertical stress partitioning and local stress disturbances than conventional regional models; for the Lianggaoshan Formation, the results demonstrate that high-stress sandstone layers at the top and base of sub-member ⑥ have a non-negligible impact on the vertical extension of hydraulic fractures, whereas the relatively uniform stress within the interior of sub-member ⑥ makes its middle part the optimal interval for horizontal well landing, while in the plane, natural fracture zones cause local rotation of the maximum horizontal stress direction and reduce stress magnitudes, which can either promote or limit the growth and complexity of hydraulic fractures depending on their strike and intensity.   Significance  This study develops a practical fine near-wellbore geomechanical modeling and stress simulation technology suitable for strongly heterogeneous continental shale reservoirs, clarifies the vertical and planar in-situ stress characteristics and their controlling mechanisms in the Lianggaoshan continental shale of the Fuxing area, and provides an important scientific basis for optimizing horizontal well landing intervals, wellbore azimuths, and fracturing design in similar continental shale oil and gas plays.
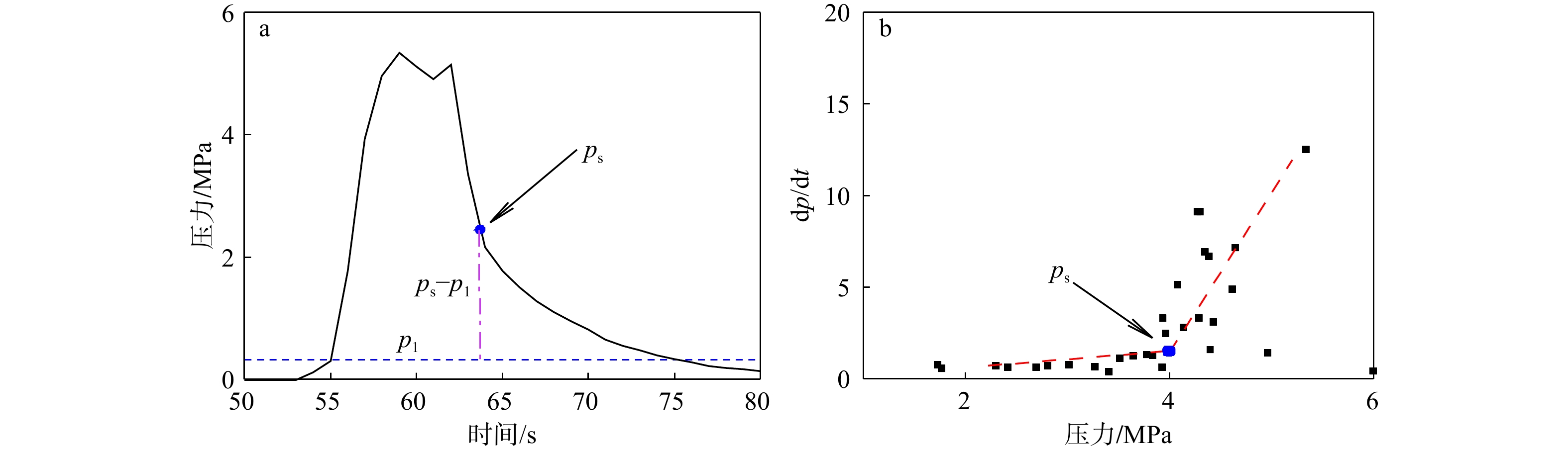
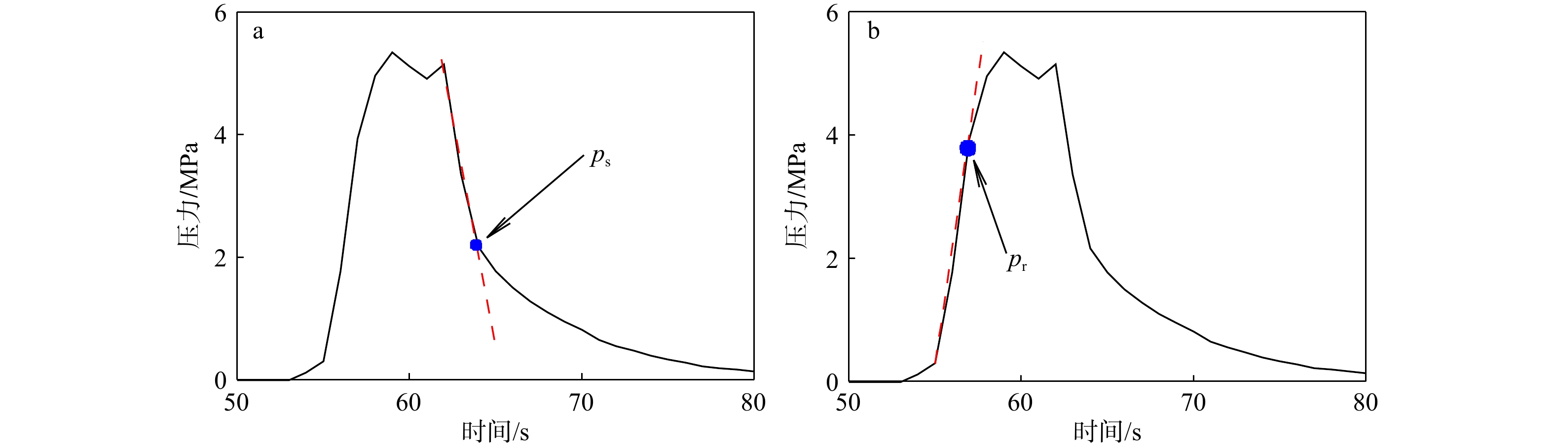
A method for determining characteristic pressure parameters during hydraulic fracturing based on linearized fitting
XIAO Haifan, WU Ningyu, GAO Guiyun, LIU Jikun, YANG Xinshuai, HUANG Xiaopan
2025, 31(6): 1282-1295. doi: 10.12090/j.issn.1006-6616.2025091
Abstract (419) HTML (146) PDF (1311KB)(133)
Abstract:
  Objective  Hydraulic fracturing is a fundamental technique for in-situ stress measurement, yet conventional methods of interpreting the instantaneous shut-in pressure (ps) and reopening pressure (pr) are often sensitive to noise, strongly subjective, and inadequate for facing nonlinear pressure–time responses. To address the lack of objective, robust, and high-accuracy identification methods, this study proposes a linearized curve-fitting approach capable of automatically determining key characteristic pressures from complex fracturing curves.   Methods  The method transforms a nonlinear pressure–time curve into multiple locally linear segments through polynomial smoothing, adaptive sliding-window regression, and statistical slope-change detection. Significant slope mutations are used to automatically identify ps during the shut-in decay stage and pr during the re-pressurization stage. The method is validated using true-triaxial hydraulic fracturing laboratory tests on granite and field tests at the Jizhou pumped-storage power station (75–277 m depth).  Results  Across six granite specimens (HF2–HF9), the proposed method consistently produced pr values between those obtained by the single-tangent and shifted-pb methods, avoiding the low–high systematic bias of the two techniques. For ps, the method yielded similar or more conservative results than traditional methods, with most absolute deviations <0.40 MPa. The method demonstrated strong consistency across varying stress states and significantly reduced subjective scatter. The principal stresses calculated from ps and pr showed physically reasonable trends. The σ1 errors were <30% in most cases and the behavior was stable without random jumps, indicating improved objectivity of the automated identification. In the four tested depth intervals of the LFZK02 borehole, pr and ps determined by traditional methods exhibited large spreads (e.g., pr deviations >1.5 MPa and ps deviations up to 0.74 MPa). In contrast, the linearized method consistently produced values close to the multi-method averages and with much smaller dispersion. For ps, deviations relative to Muskat and derivative methods were typically <0.20 MPa. Using the automatically identified ps and pr, the derived principal stresses showed a clear horizontally compressive regime (SH=6.55–9.85 MPa; Sh=3.54–6.21 MPa), matching regional stress data and confirming the reliability of the method in actual field conditions.   Conclusion  The linearized curve-fitting method effectively overcomes the subjectivity, noise sensitivity, and model-dependence of conventional hydraulic-fracturing interpretation approaches. This method provides stable, accurate, and repeatable identification of ps and pr in both laboratory and field environments and maintains good performance under nonlinear responses, data disturbance, and multi-cycle loading–unloading conditions. [Significance] This study offers a robust, automated, and universally applicable tool for interpreting hydraulic-fracturing pressure curves, significantly enhancing the reliability of in-situ stress measurements and supporting the development of intelligent, standardized stress-testing systems for underground engineering.
Mechanical properties of Carboniferous volcanic rock reservoirs and correction of dynamic and static parameters
LYU Bei, CHENG Leiming, ZHANG Yufei, LUO Yao, LI Mengjie, FU Junwang, LI Jinquan, LI Shiyuan
2025, 31(6): 1296-1309. doi: 10.12090/j.issn.1006-6616.2025102
Abstract (358) HTML (169) PDF (3814KB)(108)
Abstract:
  Objective  To address the challenges posed by the strong heterogeneity of the volcanic reservoirs of the Carboniferous C2 Formation in the Junggar Basin and the low accuracy of rock mechanical parameters derived from logging data, this study aims to precisely determine the relationship between dynamic and static mechanical parameters for typical lithologies to enhance the reliability of static parameter predictions.   Methods  Based on systematic laboratory testing of four representative lithologies (andesite, basalt, tuff, and volcanic breccia), lithology-specific dynamic-to-static conversion models were established and calibrated by introducing a confining pressure sensitivity parameter. An integrated microstructural analysis via thin-section and scanning electron microscope (SEM) observations was conducted.   Results  The research yielded clear quantitative relationships between the dynamic and static parameters for all four lithologies and confirmed the high accuracy of the newly established, confining-pressure-corrected conversion model.   Conclusion  The analysis further reveals an intrinsic link between the differences in macroscopic mechanical properties and dynamic-static parameter responses on the one hand and specific microstructural characteristics(including mineral composition, grain structure, and pore-fracture development) on the other. This link confirms the fundamental control that the rock microstructure has. The model developed and calibrated in this study effectively improves the accuracy of predicting static mechanical parameters, thereby providing critical technical and theoretical support for accurately obtaining these essential parameters from conventional logging data.   Significance  This model is of significant practical value for the efficient exploration and development of similar volcanic hydrocarbon reservoirs.
Numerical simulation of deformation and stress processes in fault–bend folding: Quantitative constraints based on elastoplastic parameter control
MA Jia, WANG Xiaochen, HE Dengfa, ZHANG Weikang, LU Guo, HUANG Hanyu, LIU Chiyue
2025, 31(6): 1310-1329. doi: 10.12090/j.issn.1006-6616.2025093
Abstract (401) HTML (176) PDF (5019KB)(143)
Abstract:
  Objective  Fault–bend folds, characteristic structures in fold-and-thrust belts, act as key kinematic units in the analysis of compressional deformation and form structural traps at flat–ramp transitions. This makes them critical targets in the exploration of hydrocarbons in foreland basins.   Methods  Using Suppe’s theoretical model and finite element simulations, we developed a geomechanical model with realistic rock properties. We defined boundary conditions for fold formation and analyzed stress-strain patterns during the evolution of fault–bend folds. We applied the Mohr-Coulomb model to assess six parameters—density (ρ), Young’s modulus (E), Poisson’s ratio (υ), internal friction angle (ϕ), cohesion (c), and dilation angle (ψ)—for identifying dominant controls.   Results  Open boundaries enable the development of fault-bend folds consistent with classical models, whereas fixed boundaries cause marked forelimb tilting and non-classical deformation. Stress-strain partitioning is distinct: Fold limbs and the upper ramp experience compression; the core and upper flat undergo extension. Both axial surfaces show upward-decreasing stress concentrations and plastic strain. The lower axial surface builds the backlimb and initiates shear fracturing; the upper axial surface shapes the anticlinal core and forelimb under tension, developing potential fracture systems. Cohesion (c) and the internal friction angle (ϕ) are key factors governing fold wavelength and forelimb steepness, respectively, with nonlinear threshold behaviors. Young’s modulus and dilation angle have localized, minor influence. Density and Poisson’s ratio show negligible effects.  Conclusion  Fault–bend folding is a progressive deformation process in which strata adjust to adapt to the geometry of pre-existing faults under compressive stress. This results in a kinematic sequence from initial slip and backlimb growth, through fold nucleation and propagation, to final stabilization with complex derived structures. Cohesion and the internal friction angle are the decisive controlling parameters.   Significance  This numerical analysis clarifies the development mechanisms, stress–strain organization, and controlling factors of fault–bend folds, deepening the theoretical understanding of compressional tectonic deformation.
2025, 31(6): 1330-1333. doi: 10.12090/j.issn.1006-6616.2025159
Abstract (211) HTML (86) PDF (811KB)(98)
Abstract:
2025, 31(6): 1334-1334. doi: 10.12090/jissn.1006-6616.20253103
Abstract (200) HTML (107) PDF (219KB)(87)
Abstract:
Contents of Vol. 31
Contents of Vol. 31
2025, (6): 1-4.
Abstract (223) HTML (135) PDF (461KB)(82)
Abstract:
Inside Front Cover
Key Topic Selection Guide for Journal of Geomechanics in 2026
2025, 31(6)
Abstract (172) PDF (14854KB)(87)
Abstract:
Inside Back Cover
Subscription Notice for 2026
2025, 31(6)
Abstract (168) PDF (14854KB)(77)
Abstract: