Current Issue

2025, Volume 31,  Issue 5

Cover Page
Cover Page
2025, 31(5)
Abstract (122) PDF (1750KB)(24)
Abstract:
Contents
Contents
2025, 31(5): 1-4.
Abstract (104) HTML (62) PDF (442KB)(15)
Abstract:
2025, 31(5): 755-768. doi: 10.12090/j.issn.1006-6616.20253101
Abstract (200) HTML (68) PDF (2785KB)(27)
Abstract:
Tectonic System & Structural Geology
Geomechanical implications of joints and veins
JI Shaocheng
2025, 31(5): 769-792. doi: 10.12090/j.issn.1006-6616.2025120
Abstract (401) HTML (127) PDF (5296KB)(170)
Abstract:
  Objective  Traditional structural geology textbooks often provide outdated treatments of joints and veins, failing to reflect the significant advances made in the past three decades. This review seeks to address part of this gap by highlighting the significance of barren joints and veins in reconstructing both the directions and magnitudes of geological paleostresses.   Conclusion  Conjugate shear joints not only indicate the orientation of the three effective principal stresses but also imply differential stresses at least four times greater than the tensile strength of the brittle host rock. Exfoliation joints form under stress states of σ1σ2>0>σ3, whereas polygonal columnar joints in sedimentary rocks reflect σ1*>$ 0 $>σ2*=σ3*, allowing the tensile strength of rocks to be estimated. Tensile joints in brittle strong beds interlayered with ductile soft layers are primarily driven by tensile stresses transferred from interfacial shear stresses between the hard and soft layers, with joint saturation mainly controlled by tectonic strain. Under natural strain-rate conditions, the Weibull modulus and tensile strength of the strong layers, as well as the shear-flow strength of the ductile layers, can be inferred from the nonlinear relationship between joint spacing and bed thickness. Ladder-like orthogonal joints, which form under a stress state of σ1*>$ 0 $>σ2*>σ3*, divide strata into blocky units and, after weathering and erosion, give rise to characteristic castle- and tower-like landforms. Veins, as mineral-filled joints, provide spacing and thickness data that allow estimates of layer strain. Moreover, the nonlinear relationship between vein spacing and bed thickness permits quantification of the extent to which mineral precipitation restores the tensile strength of rock beds. The absence of ladder-like orthogonal veins is attributed to this strength recovery. [ Significance ]Collectively, these observations demonstrate the critical role of joints and veins in constraining both the magnitudes and orientations of geological paleostress fields.
Tectonic System & Structural Geology
Seismic anisotropy and rheological decoupling of crust and mantle in the Eastern Himalayan Syntaxis and its southeastern margin: Insights from deformation mechanisms of eclogite and peridotite
ZHANG Bo, HUANG Baoyou, ZHANG Jinjiang, SU Zhe, LIU Yiduo, WANG Houqi, WANG Yang, YUE Yahui, WANG Shuishi, LIU Jianing
2025, 31(5): 793-822. doi: 10.12090/j.issn.1006-6616.2025100
Abstract (326) HTML (70) PDF (11145KB)(103)
Abstract:
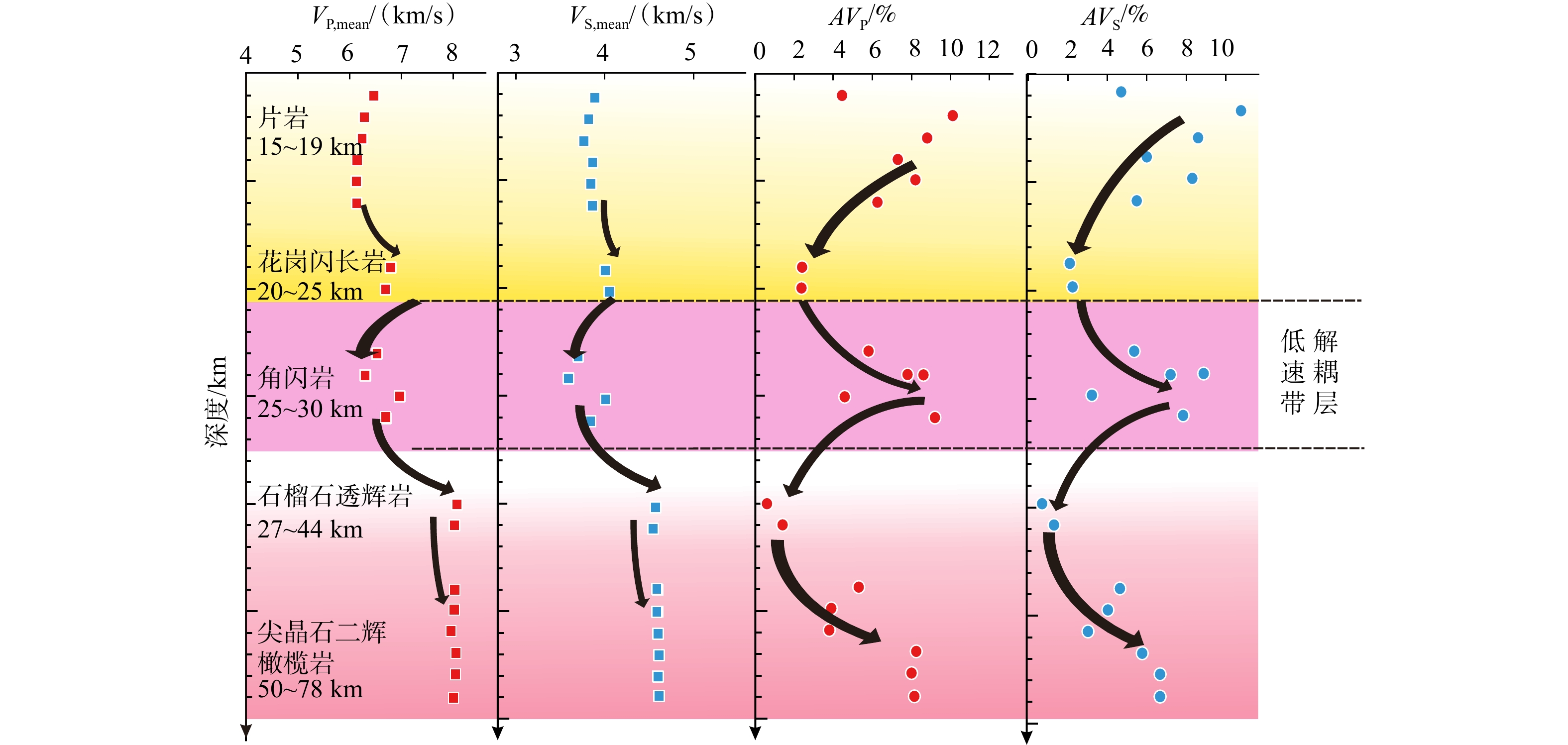
  Objective  The Eastern Himalayan Syntaxis and its southeastern region serve as a critical channel for the eastward extrusion or/and expansion of Tibetan Plateau material. The deformation/rheology mechanisms and seismic anisotropy of the lithosphere provide key insights into plateau uplift and lateral growth.   Methods  This study investigates lower-crustal garnet pyroxenites (27–44 km depth) and lithospheric mantle spinel lherzolites (50–78 km depth) from the Ailao Shan–Red River shear zone and adjacent regions. This study integrates petrographic analysis, microstructural observations, measurements of crystallographic preferred orientations (CPOs), metamorphic-deformation thermobarometry, and whole-rock seismic velocity modeling to constrain the lithospheric seismic anisotropy and its tectonic implications.  Results  Our key findings include: (1) Microstructural analysis reveals that garnet in lower-crustal pyroxenites behaves as a rigid phase with rotational deformation, while clinopyroxene accommodates strain via dislocation creep. In the lithospheric mantle, olivine exhibits both A-type (high-temperature, low-pressure simple shear) and AG-type (melt-present) CPOs; orthopyroxene and clinopyroxene also deform predominantly by dislocation creep, indicating polyphase plastic deformation and static recrystallization. (2) Seismic velocities show distinct layering: garnet pyroxenites exhibit VP = 8.01–8.07 km/s and VS = 4.54–4.57 km/s with weak anisotropy (AVP = 0.6%–1.4%, AVS= 0.7%–1.1%), whereas spinel lherzolites display higher velocities (VP = 8.03–8.08 km/s, VS= 4.60–4.61 km/s) and stronger anisotropy (AVP = 3.8%–8.0%, AVS = 3.0%–6.6%). (3) The velocity controls differ between lithologies: in pyroxenites, the garnet content dominates the bulk seismic velocity, while the anisotropy correlates with the clinopyroxene content; in lherzolites, the seismic properties are primarily controlled by olivine, while orthopyroxene and clinopyroxene exert a diluting effect, and the deformation intensity significantly influences the anisotropy. (4) From the middle crust to the lithospheric mantle, a vertical velocity model reveals stepwise increases: mica schist (VP = 6.12–6.46 km/s) → granodiorite (VP = 6.69–6.78 km/s) → amphibolite (VP = 6.30–6.69 km/s) → garnet pyroxenite (VP = 8.01–8.07 km/s) → spinel lherzolite (VP = 8.03–8.08 km/s), with the amphibolite layer (VS = 3.59–4.01 km/s) acting as a key interface for crust-mantle velocity transitions.   Conclusion  Integrated with published geophysical data, we propose a tectonic model wherein: (1) mid-lower crustal amphibolites and partial melts are the primary sources of crustal anisotropy; (2) mantle anisotropy reflects southeastward lithospheric extrusion driven by asthenospheric upwelling, with clear crust-mantle decoupling. [ Significance ] Our new data provide critical constraints on the lithospheric deformation and crust-mantle decoupling beneath the Eastern Himalayan Syntaxis and its southeastern region by linking mineral-scale deformation mechanisms with large-scale seismic anisotropy. This enhances our understanding of the uplift and lateral growth of the Tibetan Plateau in the Cenozoic.
Investigation of the tectonic framework of the Sumatra
SHANG Qinghua, DENG Ye, LIN Wei, MENG Lingtong, IWAN Setiawan, MARUF Mukti, EKO Puswanto, CHU Yang, ZHANG Xiaoran, GUO Lin
2025, 31(5): 823-840. doi: 10.12090/j.issn.1006-6616.2025098
Abstract (299) HTML (94) PDF (5640KB)(45)
Abstract:
  Objective  The tectonic units in Sumatra were considered as the two parts: Eastern and Western blocks. Generally, the East Sumatra block affiliated with Gondwana, due to its late Paleozoic “cold-water fauna” (Alas limestone) and pebbly mudstone (Bohorok Formation glacial till); While the West Sumatra block is classified as the Cathaysian-affiliated block due to its late Paleozoic “warm-water fauna” (Kuantan Limestone) and Cathaysian flora (Mengkarang Formation Jambi Flora). These two are separated by the Medial Sumatra Tectonic Zone.   Methods  Through the field observation, structural analysis, stratigraphic comparisons, and systematically paleobiogeographic reviewing; even the key outcrops were examined to document the structures and lithological variations.   Results  The Eastern and Western Sumatra blocks, as the “basement” of weakly metamorphosed Carboniferous and Permian stratigraphic sequences, these rocks exhibit similar metamorphic facies, structural characteristics, such as geometry and related deformations. The differences in sedimentary environments and paleobiogeographic faunas across various geological periods are likely indicative of variations in ancient latitude or climatic changes rather than distinct tectonic boundaries instead of belonging to the different blocks. Geochronological work of the magmatic rock indicated the interpretation that the two blocks may have once formed a unified whole. And the Medial Sumatra Tectonic Zone does not act as a significant tectonic (plate) boundary.   Conclusion  The East and West Sumatra blocks may have originated as a single tectonic unit or plate. Similarities in metamorphic facies, deformation patterns, stratigraphic sequences, and magmatic histories suggest a common geological evolution. Differences in sedimentary environments and paleobiogeographic faunas across different geological periods likely reflect variations in ancient latitude or climatic changes. Geochronological work related to the magmatic rock results support this interpretation, indicating that the two blocks may have once formed a unified whole. [Significance] This study challenges the traditional two-block model and suggests that the East and West Sumatra blocks should be considered as a unified block or plate. The findings highlight the importance of considering the unified tectonic framework of Sumatra in future geological studies and resource assessment in Southeast Asia.
Distribution, characteristics, ages, and tectonic environments of ductile shear zones in the Beishan orogenic belt
ZHANG Jin, ZHAO Heng, ZHANG Beihang, WANG Yannan, WANG Zhenyi, ZHANG Yiping, QU Junfeng, ZHAO Shuo
2025, 31(5): 841-868. doi: 10.12090/j.issn.1006-6616.2025027
Abstract (487) HTML (125) PDF (43292KB)(113)
Abstract:
  Objective  The Beishan occupies a pivotal position between the eastern and western segments of the Central Asian Orogenic Belt (CAOB). Although numerous ductile shear zones have been identified in this area, they have received limited attention, leading to uncertainties and debates regarding their formation mechanisms, ages, deformation regimes, tectonic settings, and role in the evolution of the orogenic belt. Consequently, studying these ductile shear zones is crucial for understanding the evolution of the CAOB.   Methods  Based on a systematic compilation of previous research data, the geological interpretation of remote sensing images, the regional aeromagnetic anomalies of the East Tianshan–Beishan–Alxa region, and our fieldwork in Beishan and adjacent regions, this study has identified 13 ductile shear zones, ranging in length from 30 km to nearly 300 km.   Results  These 13 ductile shear zones from north to south are: Hongshishan–Baiheshan–Pengboshan–Qiantiaogou ductile shear zone, Bailiang–Sangejing–Gonglujing–Weiboshan ductile shear zone, Pochengshan–Shibanjing–Xiaohuangshan ductile shear zone, Hongyanjing–Mazongshan–Jianshan ductile shear zone, Lebaquan ductile shear zone, Baiyunshan–North Yueyashan ductile shear zone, Huaniushan–Wufengshan–Erduanjing–North Dingxin ductile shear zone, Zhongqiujing–Jinmiaogou ductile shear zone, Jiujing–Chuanshanxun ductile shear zone, Xiaoxigong–Qianhongquan ductile shear zone, Qijiaojing shear zone, Gubaoquan–Zuanjinggou ductile zone, Baidunzi–Shibandun ductile shear zone, respectively. Most of these 13 shear zones exhibit an east–west strike, traverse the entire Beishan region, and coincide with ophiolitic mélange zones or major tectonic zones. Those in the southern Beishan region are particularly well-exposed, characterized by greater widths (>10 km) and a higher concentration (five to six zones), whereas those in the central and northern regions display greater continuity and length. Currently, most documented shear zones in Beishan are dominated by dextral kinematics, with only a few exhibiting sinistral motion. Mineral stretching lineations in major shear zones are generally sub-horizontal and east–west trending, while mylonitic foliations generally strike east–west with steep to vertical dips. Preliminary findings suggest that most ductile shear zones in Beishan formed during the Paleozoic and Mesozoic, particularly in the late Paleozoic to early Mesozoic, with a predominant distribution in the central and southern regions. Many of these major shear zones can be correlated with coeval structures in the East Tianshan to the west and the Alxa region to the east, collectively forming an extensive ductile shear system in the central CAOB.   Conclusion  These late Paleozoic to early Mesozoic shear zones likely reflect large-scale deformation within the CAOB and may represent a key component of the central megashear system in the Pangea supercontinent. However, the possibility that the ductile shear deformation in the Beishan region was caused by oblique subduction of the Paleo-Asian Ocean cannot be ruled out. Future research on Beishan’s ductile shear zones should prioritize precise geochronology and semi-quantitative to quantitative structural analyses. [ Significance ] The identification of the orogen-scale giant ductile shear system in Beishan and its vicinity is of great significance for understanding the deformation styles, environments, and regimes of the middle-lower crust in the CAOB, as well as the formation and evolution of the Pangea supercontinent.
Crustal Stress & Tectonic Stress Field
Phase–field modelling of discontinuous structures in geomaterials
WANG Yunteng, WANG Yadong, LIU Jiaxin, KANG Xuan, WU Wei
2025, 31(5): 869-885. doi: 10.12090/j.issn.1006-6616.2025149
Abstract (176) HTML (39) PDF (3254KB)(39)
Abstract:
  Objective  This study aims to develop a thermodynamically consistent phase–field framework for modeling the initiation and evolution of discontinuous structures in geomaterials.   Methods  Our model introduces crack driving forces derived from the volumetric–deviatoric strain decomposition strategy, incorporating distinct tension, compression, and shear degradation mechanisms. Inertia effects capture compaction-band formation driven by wave-like disturbances, grain crushing, and frictional rearrangement. A monolithic algorithm ensures numerical stability and rapid convergence.  Results  The framework reproduces tensile, shear, mixed tensile–shear, and compressive–shear failures using the Benzeggagh–Kenane criterion. Validation against benchmark simulations—including uniaxial compression of rock-like and triaxial compression of V-notched sandstone specimens—demonstrates accurate predictions of crack initiation stress, localization orientation, and energy dissipation.   Conclusions  The framework provides a unified and robust numerical tool for analyzing the spatiotemporal evolution of strain localization and fracture in geomaterials.   Significance  By linking microscale fracture dynamics with macroscale failure within a thermodynamically consistent scheme, this study advances predictive modeling of rock stability, slope failure, and subsurface energy systems, contributing to safer and more sustainable geotechnical practice.
Ore Field Structure & Mineralization
Plunge law and mechanical mechanisms of fault-controlled ore bodies (clusters) in hydrothermal deposits
HAN Runsheng, ZHANG Yan, LUO Jin, HUANG Baosheng, HU Ticai
2025, 31(5): 886-897. doi: 10.12090/j.issn.1006-6616.2025121
Abstract (126) HTML (39) PDF (968KB)(69)
Abstract:
  Objective  Hydrothermal mineral deposits provide a representative example of tectonic–fluid coupled metallogenic systems, and the lateral plunge law of ore bodies or ore body clusters constitutes their three-dimensional expression in geological space, yet the determination of pitching direction and pitching angle has long been one of the most difficult problems in prospecting prediction.  Methods  This study aims to address the major challenges in understanding plunge law and mechanical mechanisms, namely the difficulty of identifying ore body pitching under multiphase tectonic superposition, the lack of clarity in the control mechanisms of ore body cluster pitching, and the insufficiency of empirical studies on deep ore body pitching models. Based on Theory and Methods of Orefield Geomechanics, breakthroughs were achieved in multiphase structural recognition and the identification of control mechanisms, allowing systematic summarization of plunge law associated with compressional–shear, extensional–shear or transtensional, ductile shear zone or brittle shear belt, and composite structural controls, together with detailed analysis of their mechanical mechanisms and the proposal of practical methods for determining pitching.  Results  The results indicate that in hydrothermal deposits, ore body pitching is strictly controlled by the mechanical properties, kinematic behavior, and spatial configuration of the dominant ore-controlling structures during mineralization: the pitching direction of ore bodies or clusters is consistent with the movement of the hanging wall of the controlling fault, while the pitching angle is governed by the fault dip, the proportion of shear components, the undulatory amplitude of fault planes, and the orientation of the regional principal stresses. Ore bodies controlled by transpressional or transtensional faults exhibit more pronounced pitching than those associated with simple compressional–shear or extensional–shear structures; for single ore bodies or vein clusters, pitching direction may coincide with that of the cluster in transpressional or compressional–shear systems, or conversely oppose it in transtensional or extensional–shear systems; where ductile shear zones control mineralization, pitching is parallel to stretching lineations, while brittle shear belts produce pitching that follows extension–compression directions; in composite structural systems, the determination of pitching requires careful analysis of inherited, superimposed, or transformed tectonic elements to establish the effective mode of control. Mechanically, the pitching direction corresponds to the orientation of maximum permeability of metallogenic fluids within the ore-controlling stress field: in compressional–shear or transpressional faults, pitching is constrained by the sense of shear displacement; in transtensional faults, it is determined by the orientation of dominant fluid channels; and in ductile shear zones, it follows the X-axis of the strain ellipsoid.  Conclusion  These findings confirm that the mechanics and kinematics of ore-controlling structures are the primary factors dictating the occurrence of pitching in ore bodies and clusters, but they also highlight that the regularities differ between structural hierarchies, with the behavior of ore body clusters not entirely identical to that of single ore bodies, and that the observed patterns reflect the combined action of the metallogenic stress field, fluid dynamics, and the physical properties of host rocks. On this basis, several methods are recognized as effective for inferring the pitching of concealed ore bodies, including structural analysis of mineralizing faults, tracing zoning trends of mineralization and alteration, projection of ore column centroids, and three-dimensional spatial analysis of exploration engineering data, while the integration of structural geochemical and geophysical anomaly analyses can significantly enhance the reliability of pitching prediction in deep concealed settings, thereby opening new avenues for deep ore prospecting and achieving high efficiency in exploration. [Significance] The significance of this study lies not only in its practical applications—guiding deep and peripheral prospecting, improving mineral resource evaluation in exploration areas, optimizing the deployment of exploration projects, and enabling more accurate estimation of reserves—but also in its theoretical contributions, particularly in advancing the understanding of the metallogenic dynamics of hydrothermal deposits by linking structural mechanics, stress fields, fluid migration, and rock physical properties in a unified framework for explaining ore body pitching.
Structural controls on hydrothermal tin deposit
XIAO Changhao, DENG Jun
2025, 31(5): 898-925. doi: 10.12090/j.issn.1006-6616.2025148
Abstract (125) HTML (35) PDF (3104KB)(58)
Abstract:
  Objective   As a critical mineral supporting strategic sectors such as the information industry, aerospace, and defense technology, tin exhibits an extremely uneven distribution of global resources. Conducting comparative studies on major global tin-producing regions is of great significance for understanding the metallogeny of tin deposits and for global tin exploration. To better comprehend the tectonic settings of tin deposit formation in different structural environments and to understand the structural styles of tin deposits, this paper systematically reviews the tectonic environments of typical tin deposits in continental rifts and three types of convergent plate boundaries (Andean-type continental margin, Western Pacific continental margin, collisional orogenic belt). We summarize the structural styles of tin deposits and present the following findings:   Conclusion  (1) Numerical simulations of tin transport and cassiterite precipitation from hydrothermal fluids indicate that incomplete buffering of ore-forming hydrothermal fluids by granitic wallrock is a common characteristic of many magmatic-hydrothermal tin deposits. This highlights the importance of structural pathways for hydrothermal tin mineralization. (2) Regardless of the tectonic setting—be it an extensional rift, a compressional Andean-type continental margin, an extensional Western Pacific continental margin back-arc, or an extensional post-collisional tectonic settings—hydrothermal tin mineralization aligns with the magmatic-hydrothermal tin deposit model, which posits that highly fractionated felsic rocks dominate tin mineralization. Extensional/transtensional tectonic settings are favorable for the formation of hydrothermal tin deposits. Additionally, recent studies have reported pre-concentration of tin due to metamorphism during syn-accretionary orogenesis, detailing the release of tin during prograde metamorphism and the formation of cassiterite during retrograde metamorphism through biotite chloritization. These findings lay the groundwork for the development of theories about collision-related tin metallogenesis. (3) Magmatic-hydrothermal tin deposits are primarily skarn-type and quartz vein-type, often occurring together. Within and around tin-bearing intrusion, tin-bearing magmatic cooling contraction fractures, water-rock separation fractures, magmatic emplacement compression fractures, and regional tectonic stress superposition fractures commonly develop. Away from the tin-bearing intrusions, mineralization is strongly controlled by rheological differences in rocks or faults (cross-cutting and bedding-parallel faults), forming diverse structure-mineralization networks. Based on the absence or presence of breccias in the structure-mineralization network, ore-bearing vein structures can be classified into two categories. The first category includes structures without breccias, which, in the order of increasing complexity, are: simple veins, composite simple-vein systems, “lit-par-lit” vein systems, symmetrical complex vein systems, and asymmetrical complex vein systems. The morphologies and extensions of single veins are closely related to the mechanical properties of the host structures. The second category includes structures with breccias, which, in order of increasing complexity, are: anastomosing veins in shear zone systems, brecciated vein systems, vein and hanging-wall stockwork systems, and multiple brecciation vein systems.  Significance  The determination of tectonic sequences and deformation partitioning plays a crucial role in studying the structural control of hydrothermal tin deposits. Enhancing detailed mapping of structures in typical deposits/districts, combined with numerical simulations and rheological experiments on rocks, represents the future direction for research on structural controls of hydrothermal tin deposits.
Geo-hazards & Engineering Geology
Application of geomechanics in risk prevention and control for the geosafety of major projects on the Tibetan Plateau
ZHANG Yongshuang, REN Sanshao, GUO Changbao, ZHANG Tao, WU Ruian, TAO Changxu
2025, 31(5): 926-939. doi: 10.12090/j.issn.1006-6616.2025130
Abstract (215) HTML (43) PDF (6806KB)(88)
Abstract:
  Objective  The Tibetan Plateau is one of the most tectonically active regions in the world. The coupled effects of endogenic and exogenic processes result in frequent geological hazards and complex engineering geological problems, posing a significant threat to the geological safety of major engineering projects.   Method  This paper summarizes the application of geomechanics theories in the prevention and control of geological safety risks for major engineering projects, based on over two decades of research conducted on the Tibetan Plateau by our team.   Results  Specific contributions include: (1) The theory of regional crustal stability evaluation was advanced, and a methodology was proposed for investigating and assessing regional crustal stability, engineering geological stability, and site stability; this has been effectively applied to the route selection and site planning of major projects; (2) An engineering geological research framework was established for active tectonic zones, the geohazard effects of active faults were clarified, geomechanical models for high-position landslides were developed, and the combined control mechanism of rock mass structure and special lithology on landslide formation was revealed; (3) Research on rockburst mechanisms in deeply buried tunnels was conducted based on in-situ stress measurements, the characteristics of rockbursts under different tectonic settings were compared and analyzed, and strategies for rockburst prevention and control in high-stress environments were proposed. Building upon the aforementioned research findings, future directions for the innovation of geomechanical theories and their engineering applications are proposed.   Conclusion  The research on the application of engineering geology can further promote the advance of geomechanics and provide new theoretical and technical support for the planning and construction of major national projects, as well as disaster prevention and mitigation.
Mechanism and geological mechanics pattern of typical ice and rock avalanches on the Tibetan Plateau
TANG Minggao, ZHAO Huanle, XU Qiang, LI Guang, RAN Xu, YU Yongheng, ZHONG Yihua, GUO Daojing, ZHU Xing
2025, 31(5): 940-959. doi: 10.12090/j.issn.1006-6616.2025119
Abstract (450) HTML (78) PDF (7537KB)(205)
Abstract:
  Objective  The increasingly frequent ice and rock avalanche hazards on the Tibetan Plateau pose a serious threat to human life and major projects.   Methods  To further reveal the mechanisms of ice and rock avalanches and fill the gap in the classification of geological mechanics patterns,engineering geological and geomechanical methods were applied to derive the following.   Results  The ice and rock avalanches on the Tibetan Plateau result from slope deformation and failure under special geographical, geological, and climatic conditions. The steep terrain and diverse structure provide the spatial and boundary conditions for the formation of ice and rock avalanches. Earthquakes promote further cracking and fragmentation of the ice and rock masses. Climate warming leads to the infiltration of meltwater along the crevasses and boundaries, which significantly reduces the strength of the sliding surface (band), and can even form a short-term high-pressure water head, triggering the ice and rock avalanches. The "discontinuity" serves as a critical threshold for ice and rock avalanches, primarily manifested through instantaneous or progressive failure in the bonding between instability zones, lateral walls, base beds, and parent glaciers.   Conclusion  Ice and rock avalanches on the Tibetan Plateau can be categorized into four geological mechanics patterns: the creep-fracture type (subdivided into "loading-induced pressure melting-water-induced creep-fracture" and "weathering-induced water-induced creep-fracture"), the creep-toppling type, the wedge slip type, and the collapse type (subdivided into "cave collapse" and "erosion collapse"). These patterns may coexist, interact, and chain-react within the same glacial basin. [ Significance ] This study holds both theoretical and practical significance for advancing the scientific understanding of cryospheric hazards and supporting disaster prevention and mitigation efforts on the Tibetan Plateau.
Probabilistic study of rainfall-induced landslides at a monthly scale in China
XU Chong, DAI Kebin, XUE Zhiwen, HUANG Yuandong, XIE Chenchen, LI Tao, ZHANG Zhiqiang, ZHU Dengjie, ZHAO Binbin, LIU Yi, KONG Xiaoang, GAO Huiran, SHAO Xiaoyi
2025, 31(5): 960-971. doi: 10.12090/j.issn.1006-6616.2025134
Abstract (124) HTML (42) PDF (18373KB)(27)
Abstract:
  Objective  Rainfall is a major trigger for landslides in mountainous regions of China, exhibiting distinct seasonal and spatial aggregation characteristics. To achieve quantitative identification of medium- to long-term geological disaster risks, this study aims to develop a nationwide monthly-scale probabilistic framework for rainfall-induced landslides, integrating rainfall forecasting and data-driven modeling to reveal the spatiotemporal response between rainfall variability and landslide occurrence.   Methods  A 1 km resolution monthly rainfall forecasting model was established using a Patch-based Long Short-Term Memory (Patch-LSTM) network trained on multi-source precipitation data spanning 1901–2023. The model’s spatial continuity and predictive performance were validated using records from independent meteorological stations. A database of rainfall-induced landslides was compiled from four typical heavy rainfall events in Yunnan Province (Dehong 2020, Daguan 2021, Gongshan 2020 and 2022), containing 8503 mapped landslides with associated topographic, geological, hydrological, and climatic factors. These datasets were used to train a probabilistic rainfall–landslide occurrence model combining logistic regression and Gradient Boosting Tree (GBT) algorithms. The model outputs were spatially coupled with monthly rainfall forecasts to generate nationwide monthly probability maps of rainfall-induced landslides. Model performance was evaluated using the area under the receiver operating characteristic curve (AUC), the precision–recall AUC (PR-AUC), and the Brier score.   Results  The Patch-LSTM model achieved an average absolute error (MAE) of 14.6 mm, a root mean square error (RMSE) of 35.1 mm, and a coefficient of determination (R2) of 0.51, indicating reliable capability in reproducing monthly precipitation patterns. The probabilistic landslide model showed robust predictive performance, with AUC = 0.83, PR-AUC = 0.78, and Brier score = 0.17. The spatial-temporal patterns revealed distinct “low–high–low” annual variations, with markedly elevated probabilities between June and August corresponding to the main monsoon season. Spatially, high-risk zones were concentrated in (1) southwestern China—southeastern Tibet, central Sichuan, and southern Yunnan—where steep terrain and fractured lithology amplify rainfall effects; (2) southern China—northeastern Guangxi and central Guangdong—influenced by prolonged monsoon rains and typhoon events; and (3) eastern coastal areas—southern Zhejiang and northern Fujian—where intense rainfall interacts with deeply weathered granite and volcanic formations. Across these regions, the probability of landslide occurrence exhibited a significant positive correlation with monthly rainfall intensity, confirming rainfall as the dominant trigger, while topographic relief and geological structure exerted secondary amplifying influences.  Conclusions  The proposed probabilistic framework effectively bridges the gap between event-scale case studies and national-scale monthly prediction, enabling a continuous spatial assessment of rainfall-induced landslide hazards. [Significance] The results provide scientific evidence for identifying seasonal risk hotspots, optimizing disaster prevention and mitigation planning, and supporting mid-term early warning and resource allocation during the flood season. This study establishes a methodological foundation for integrating monthly-scale hazard prediction into China’s geological disaster risk management system, offering a scalable approach applicable to other regions and hazard types worldwide.
Evaluation of landslide susceptibility and contribution analysis of key driving factors on the Loess Plateau
SUN Ping, ZHANG Shuai, KE Chaoying, LI Ran, SANG Kangyun, LI Kun, WANG Haojie
2025, 31(5): 972-989. doi: 10.12090/j.issn.1006-6616.2025088
Abstract (252) HTML (63) PDF (11911KB)(90)
Abstract:
  Objective  The Loess Plateau is a region critically susceptible to landslides, posing significant risks to human life and infrastructure. Accurate identification of prone areas is vital for disaster mitigation. However, current coupled models often suffer from limitations: they rely on simplistic combinations or default parameters without systematic hyperparameter optimization and fail to achieve deep integration at the feature level, resulting in suboptimal performance and interpretability. This study aims to overcome these shortcomings by developing systematically optimized models and leveraging interpretability tools to elucidate the underlying mechanisms of landslide occurrence.   Methods  Based on a multicollinearity analysis, thirteen evaluation factors were selected for model construction. We developed three landslide susceptibility models: an extreme gradient boosting (XGBoost) model, a frequency ratio-coupled XGBoost (FR–XGBoost) model, and a frequency ratio-coupled random forest (FR–RF) model. A key advancement in our methodology was the employment of the Optuna framework for the systematic and automated optimization of model hyperparameters to enhance predictive performance. Furthermore, to overcome the “black-box” nature of machine learning models and gain mechanistic insights, we applied shapley additive explanations (SHAP) and partial dependence plots (PDPs) to interpret the models, identify key driving factors, and reveal their interaction effects.   Results  The results demonstrated significant performance differences among the three models. The coupled models, FR–XGBoost and FR–RF, substantially outperformed the single XGBoost model, with AUC values of 0.968 and 0.963, respectively, compared to 0.805 for the single model. This not only confirms the superior predictive capability achieved by integrating the frequency ratio but also validates the effectiveness of the systematic hyperparameter optimization using the Optuna framework and the selection of evaluation factors. Interpretability analysis using SHAP provided quantitative insights into the factor contributions. Annual average rainfall was identified as the most critical driving factor, with a SHAP contribution value of 26.59%. Soil erodibility and slope gradient followed, contributing 20.80% and 14.66% to the model output, respectively. These three factors collectively dominated the landslide susceptibility pattern in the study area. Further analysis using PDPs revealed the specific functional relationships and interactions between these key factors. The influence of annual average rainfall and soil erodibility on landslide occurrence was predominantly positive and monotonically increasing; their predictive contributions became particularly pronounced above thresholds of approximately 400 mm and 0.04, respectively. Conversely, the relationship between slope gradient and landslide susceptibility was non-monotonic. The effect exhibited a distinct single-peak pattern, where susceptibility increased with slope up to an optimal interval of 5° to 20°, beyond which it gradually decreased. Critically, PDPs revealed significant nonlinear interactions among key driving factors. A distinct synergistic effect was observed under the combined conditions of moderate-low slope gradients (5°–20°), high annual average rainfall (>400 mm), and high soil erodibility (>0.04), defining a characteristic high-risk scenario where landslide probability is substantially amplified. This specific combination pattern provides a quantifiable criterion for identifying the highest-risk areas within the Loess Plateau. We recommend prioritizing enhanced monitoring and engineering interventions in zones where these three factors overlap, and incorporating the established thresholds into local disaster prevention plans as key indicators for early risk identification.   Conclusion  This study demonstrates that the coupled model achieves higher predictive accuracy than the single model. Annual average rainfall, soil erodibility, and slope gradients were identified as the key driving factors for landslide development in the study area. Furthermore, complex nonlinear interactions exist among these key factors, which significantly influence landslide occurrence. [Significance] This study delivers a high-precision landslide susceptibility map for the Loess Plateau, supporting practical disaster prevention and land-use planning; more profoundly, the interpretability analysis (SHAP and PDP) provides mechanistic insights into landslide initiation, establishing a vital scientific basis for risk management and infrastructure development.
Quaternary Geology & Environment
Sedimentary records of Holocene paleoflood events in the northern branch of the Daqing River
WANG Yong, WANG Yanjiao, YANG Jinsong, TIAN Fei, YUAN Lupeng
2025, 31(5): 990-1005. doi: 10.12090/j.issn.1006-6616.2025136
Abstract (129) HTML (46) PDF (5378KB)(27)
Abstract:
  Objective  The Haihe River Basin, located in the northern part of the North China Plain, within the semi-arid and semi-humid climatic region of north China, is a sensitive area for hydroclimatic changes and experiences frequent flood disasters. Reconstructing the regional paleoflood history is crucial for assessing the potential impact of future extreme flood disasters. However, research on the occurrence patterns and driving mechanisms of paleoflood events in this basin remains insufficient.   Methods  Through analysis of stratigraphic sequences, lithological characteristics, sedimentary structures, and indicators such as sediment grain size and magnetic susceptibility, we identified deposits of three periods (six occurrences) of Holocene paleoflood events in the Xingaifang Flood Diversion Channel in the North Branch of the Daqing River within the Haihe River Basin. [Discussion] The flood deposits are primarily composed of fine to medium sand, with low clay and silt contents, and high magnetic susceptibility, indicating the input of highly magnetic materials under high-energy hydrodynamic conditions. The first period of flood events occurred in the early stage of the Holocene Climatic Optimum, during the precursor phase of the 8.2 ka event, when the climate was in a relatively unstable stage. The second period of flood events took place in the late stage of the Holocene Climatic Optimum, as the East Asian Summer Monsoon (which primarily controlled these floods) gradually weakened. The third period of flood events coincided temporally with the global 4.2 ka climate event, corresponding to a fluctuating phase within the late Holocene monsoon decline with a relatively humid climate under weak monsoon conditions.   Results  Based on AMS 14C dating, the periods of the three paleoflood events are constrained to approximately ~8.4 cal ka BP, 5.0–4.6 cal ka BP, and 4.1–3.7 cal ka BP, respectively. The Holocene paleoflood sequence of the North Branch of the Daqing River is closely related to fluctuations in the intensity of the East Asian Summer Monsoon and global climate events. This study provides a scientific basis for understanding flood disaster patterns in the Haihe River Basin and supports resilient urban planning in the Xiong'an New Area.
Active Tectonics & Earthquake
Active faults, seismic activity, and seismotectonic environments in the Tibetan Plateau and its adjacent regions
ZHENG Wenjun, SUN Xin, YUAN Daoyang, PAN Jiawei, WANG Hu, WU Chuanyong, ZHANG Zhuqi, HAO Ming, HE Xiaohui, LIU Bingxu, LIU Hao, ZHANG Dongli, FU Bihong, LI Haibing, CHEN Lichun, LI Chuanyou
2025, 31(5): 1006-1029. doi: 10.12090/j.issn.1006-6616.2025124
Abstract (221) HTML (57) PDF (25963KB)(137)
Abstract:
  Objective  The early Cenozoic collision between the Indian and Eurasian plates triggered multi-stage uplift of the Tibetan Plateau, resulting in its remarkable landscapes and abundant mineral resources, while profoundly influencing climate, environment, and hazard evolution across Asia and beyond. The Tibetan Plateau and its surroundings have undergone intense tectonic activity and recurrent natural disasters, particularly earthquakes, which have significantly shaped its tectonic and geomorphic evolution. Seismic records indicate that more than half of the major earthquakes on the Chinese mainland and the surrounding regions occur within the plateau and its margins, controlled by the diverse types, scales, and distributions of active faults.   Methods  This study synthesizes decades of research on active faults and earthquake hazards across the Tibetan Plateau. It builds on the results of the Active Faults and Earthquake Hazards theme of the Second Tibetan Plateau Scientific Expedition and Research Program (STEP), which provided detailed documentation of major active fault zones. This study integrated current deformation fields, seismicity, and stress regimes to examine the seismotectonic settings associated with strong earthquakes across different regions of the plateau. Based on this analysis, the future seismic hazard potential of the plateau was further evaluated.   Conclusion  The image of active faults on the Tibetan Plateau indicates that different regions comprise fault systems with diverse scales, kinematics, and activity patterns. The tectonic settings associated with strong earthquakes have evolved through prolonged, multi-stage deformation, progressively establishing the present seismotectonic framework governing the nucleation and occurrence of large earthquakes. Current patterns of crustal deformation reveal northeastward deceleration with limited eastward extrusion of crustal blocks. Stress regimes, in contrast, are characterized by shear–extension in the interior and compression along the margins. Seismic hazard trends inferred from active tectonics and crustal deformation suggest a distinct segmented zonal pattern of strong earthquake activity, with plateau margins and fault-dense interiors representing the primary loci of future large earthquakes. Additionally, tectonic and geomorphic boundary zones demonstrate an increased likelihood for strong seismic events.
Drainage characteristics of the Noto Peninsula, Japan, and their implications for seismic hazards
RAO Gang, WU Yan, ZHONG Yaqi, YIN Xiaohan
2025, 31(5): 1030-1043. doi: 10.12090/j.issn.1006-6616.2025129
Abstract (167) HTML (53) PDF (11171KB)(22)
Abstract:
  Objective  On January 1, 2024, a Mw 7.5 earthquake occurred on the Noto Peninsula in Ishikawa Prefecture, Japan, resulting in more than 200 fatalities. The seismic event triggered significant crustal deformation, tsunamis, and landslides, leading to widespread damage across the region. Historically, this area has been prone to destructive earthquakes and associated geological hazards, such as landslides. Therefore, accurately evaluating the tectonic activity of major fault zones in the region is both critically important and urgently needed.   Methods  This study aims to employ quantitative morphotectonic analysis of drainage landscape to investigate the characteristics of active tectonic deformation and its implications for potential seismic hazards. Based on ASTER GDEM data with a spatial resolution of 30 meters, the drainage network within the study area was delineated. Geomorphic indices, including slope, relief, hypsometrical integral (HI), and normalized channel steepness index (ksn), were calculated for each (sub)watershed basin. Additionally, the stability of drainage divides was assessed. Using this information, and integrating post-earthquake aerial imagery and landslide interpretation data, the influence of earthquake-induced landslides on drainage divides was analyzed.   Results  Comparative analysis of topographic slope, relief, HI, and ksn values revealed that the northern coastal region of the peninsula has undergone significant tectonic deformation, exhibiting distinct segmentation characteristics. As well, active tectonic zones were identified in the central and southern parts of the peninsula, with spatial distributions closely aligned with known surface fault zones. Earthquake-induced landslides were predominantly concentrated in areas of high uplift, along drainage divides, and on steep slopes adjacent to river channels, characterized by steep topography and elevated ksn values. Some landslides even crossed the divides, thereby altering the overall morphology of the drainage basins.   Conclusion  As revealed by our geomorphological analysis, the northern regions exhibiting high tectonic activity are consistent with areas that experienced significant surface uplift during the 2024 Noto earthquake. Moreover, the central and southern regions, which are characterized by ongoing active deformation, also require careful assessment of their seismic hazards.   Significance   The findings of this study provide a crucial scientific basis for evaluating future seismic risk in the Noto Peninsula.
Fundamental Geology & Regional Geology
TTG petrogenesis and early plate tectonics
WANG Xiaolei, DING Ning, XIONG Dingyi
2025, 31(5): 1044-1062. doi: 10.12090/j.issn.1006-6616.2025150
Abstract (191) HTML (40) PDF (4252KB)(118)
Abstract:
  Objective  TTG (tonalite-trondhjemite-granodiorite) suites, major constituents of Archean continental crust, serve as key archives for understanding the formation and evolution of the early continental crust and related plate tectonic regimes and mechanisms.   Methods  This work presents a systematic review on the petrological definitions, classification schemes, experimental petrology, source characteristics, and genetic mechanisms of TTGs, with a particular focus on the relationship between TTG petrogenesis and early plate tectonics. Traditionally, high-pressure TTGs have been interpreted as evidence for Archean subduction. However, emerging paradigms, including the "mush model" and geodynamic numerical simulations, suggest that the compositional diversity of TTG can be reasonably explained by late-stage magmatic processes (e.g., crystal-melt separation) and that TTG can also be formed through non-subduction mechanisms (e.g., crustal dripping, mantle plumes).   Results  Recent applications of non-traditional stable isotopes (e.g., B, Si, K, Ca), big data analytics, and machine learning in the early Earth studies provided novel insights into tracing TTG source characteristics (such as the incorporation of supracrustal materials) and early tectonic settings.   Conclusion  This review suggests that future TTG research should further integrate petrology, geochemistry, and numerical modeling, enhance the identification of primary melt compositions, develop more robust geochemical indicators to effectively discriminate between different mechanisms (e.g., subduction vs. mantle plumes), and conduct multi-scale, interdisciplinary studies in key areas.  Significance  These efforts are crucial for deepening our understanding of the tectonic evolution of the early Earth and the mechanisms of continental crust growth.
Geological records of the Great Oxidation Event (GOE) in China: Progress, challenge, and opportunity
ZHANG Shuanhong
2025, 31(5): 1063-1082. doi: 10.12090/j.issn.1006-6616.2025135
Abstract (166) HTML (59) PDF (1554KB)(66)
Abstract:
  Objective  The Great Oxidation Event (GOE) during the early Paleoproterozoic represents one of the most significant geological events in Earth’s history and has profound impacts on Earth’s surface environment, biological evolution, and the formation of mineral resources and energy reserves. Chinese scholars innovatively proposed the hypothesis of a dramatic shift in Earth's surface environment at around 2.3 Ga in the late 1980’s, mainly based on sedimentary records from the North China Craton and global correlations. However, due to the pervasive deformation, the high-grade metamorphism, and the poor continuity of the Paleoproterozoic sedimentary sequences in China, most critical achievements in the GOE research obtained over the past two decades have predominantly relied on the well-preserved overseas geological records from South Africa, Western Australia, North America, and Northern Europe.   Methods  Geological and geochemical research over the last decade in China has identified some relatively complete sedimentary records of the GOE from the North China and Yangtze cratons, such as the "North Liaohe Group" in the Anshan area of northeastern Liaoning Province, the lower Fanhe Group (Sanchazi Group) in the Fanhe Basin of Tieling, the Hutuo Group in the central part of the North China Craton, and the Yimen Group in central Yunnan Province on the southwestern margin of the Yangtze Craton. Evidence related to the GOE has also been documented from the late Paleoproterozoic crustal-derived carbonatites on the southeastern margin of the Tarim Craton. These discoveries provide crucial opportunities for studying the GOE and the Lomagundi-Jatuli Event (LJE) in China.   Results  Compared with the Paleoproterozoic sections used for GOE studies overseas, most of the Paleoproterozoic sequences in China were deposited after 2.2 Ga, and generally lack geological records from the early stage of the GOE (2.43~2.2 Ga). Notably, the Paleoproterozoic successions in northeastern North China Craton and the southwestern Yangtze Craton are characterized by great thickness and low metamorphic grade, offering invaluable opportunities for investigating the middle- to late-stage evolutionary processes of the GOE (2.2~2.06 Ga) in China.   Conclusion  Future research on the GOE and LJE records in China should focus on: (1) the depositional environment and genesis of Paleoproterozoic black shales and their relationship with the positive carbon isotopic excursions in marine carbonates; (2) the mechanisms for termination of the Lomagundi-Jatuli marine carbonate positive carbon isotopic excursion; (3) integrated chemostratigraphy based on marine carbonate carbon-oxygen isotopes and geochronological studies for regional stratigraphic correlation; (4) the effects of metamorphism on the carbon-oxygen isotope composition of marine carbonates; (5) the behavior of carbon and oxygen isotopes during the anatexis of marine carbonates to form crust-derived carbonatites; and (6) the use of multidisciplinary integrated methods and new geological-geochemical proxies for studying the GOE and LJE. [Significance] Such studies based on geological records in China will provide a more comprehensive understanding of the mechanism, timing, and resource-environmental effects of the GOE and LJE during the early Paleoproterozoic.
Research progresses on glacial erosion and Neoproterozoic glacial erosion forms
CHEN Xiaoshuai, KUANG Hongwei, LIU Yongqing, WANG Yuchong, PENG Nan, XU Huan
2025, 31(5): 1083-1108. doi: 10.12090/j.issn.1006-6616.2025141
Abstract (121) HTML (37) PDF (14372KB)(45)
Abstract:
  Objective  Glacial erosion forms serve as crucial bases for reconstructing the laws of glacial movement and transport-deposition processes in geological history. They are the most explicit diagnostic indicators of glacial thermal regimes and important tools for reconstructing the scale, morphology, dynamics, and evolutionary history of ancient ice sheets. After centuries of development, an internationally recognized classification system of glacial erosion mechanisms and forms has emerged, providing significant references for research on deep-time glaciation. Late Neoproterozoic glacial events have become a heated topic in international geoscience in recent years; however, there has been little systematic introduction to glacial erosion processes and the subglacial erosional forms associated with these events.   Methods  This study summarizes the current research status and previous achievements and combines them with our personal research experience. It categorizes the multi-scale glacial erosional forms created by glaciers (via abrasion, quarrying, and meltwater erosion) on the bedrock beneath the Ediacaran Luoquan Formation (southern North China Craton) and the Cryogenian Yuermeinak Formation (northwestern Tarim Craton).   Results  These forms are categorized into three scales: (1) striations, nailhead striae, crescentic gouges and fractures, and plastically moulded forms (microscale); (2) roche moutonnées, grooves, and ridges (mesoscale); and (3) giant glacial pavements (macroscale). Additionally, the study analyzes and discusses the significance of these forms in understanding the laws of glacial movement. Studies have shown that the heads of nailhead striae and the convex surfaces of the crescentic gouges indicate the ice flow direction, while the convex surfaces of chatter marks and crescentic fractures face away from the ice flow direction. For plastically moulded forms (p-forms) represented by Muschelbruch, the ice mass flows from the sharp convex edge to the transitional edge. The stoss side of roche moutonnée forms an acute angle with the bedrock, and the lee side is characterized by an abrupt fracture surface nearly perpendicular to the bedrock.   Conclusion  Glacial erosional forms are the most direct reflection of glacial thermal regimes and kinematic characteristics. Compared with the Yuermeinak Formation, the glacial erosion forms of the Luoquan Formation are more extensively developed and more diverse. This may be attributed to the gradually intensifying temperate glacial thermal regime from the Cryogenian to the Ediacaran, responding to the special tectonic setting during the final breakup of Rodinia and the gradual assembly of Gondwana. [ Significance ] Spatial analysis and qualitative and quantitative research on late Neoproterozoic glacial erosion forms, as well as comparison with Paleozoic glacial erosional forms, can provide key evidence for addressing critical scientific issues, such as the reconstruction of glacial paleogeography.
Inside Front Cover
Inside Front Cover
2025, 31(5)
Abstract (71) PDF (1652KB)(12)
Abstract:
Inside Back Cover
Inside Back Cover
2025, 31(5)
Abstract (59) PDF (3837KB)(11)
Abstract: