留言板

尊敬的读者、作者、审稿人, 关于本刊的投稿、审稿、编辑和出版的任何问题, 您可以本页添加留言。我们将尽快给您答复。谢谢您的支持!

姓名
邮箱
手机号码
标题
留言内容
验证码

2025年  第31卷  第4期

封面
2025 年 4 期封面
2025, 31(4).
摘要 (242) PDF (1562KB)(41)
摘要:
目次
2025 年 4 期目次
2025, 31(4): 1-2.
摘要 (257) HTML (194) PDF (427KB)(28)
摘要:
创刊 30 周年纪念专栏
藏东金沙江缝合带“三岩地区”榴辉岩的年代学、岩石地球化学特征及构造意义
唐渊, 李益多, 王冬兵, 韩明明, 李鑫, 罗亮
2025, 31(4): 557-575. doi: 10.12090/j.issn.1006-6616.2025053
摘要 (717) HTML (237) PDF (4455KB)(120)
摘要:
金沙江−哀牢山缝合带作为东特提斯构造域的关键组成部分,被广泛认为是一条古特提斯造山带。然而,由于缺乏标志性高压/超高压岩石的变质作用研究,该区域洋壳俯冲闭合过程及后续碰撞造山演化一直未能得到有效约束。研究针对藏东金沙江缝合带“三岩地区”新发现的榴辉岩,开展了系统的野外调查、岩相学观察、锆石U-Pb测年及全岩主微量元素分析。根据退变质程度、主要矿物组合及结构特征,将“三岩地区”榴辉岩划分为石榴钠长阳起片岩、石榴阳起石岩、榴闪岩和榴辉岩4类。选取2件榴辉岩样品进行锆石U-Pb测年,获得206Pb/238U年龄分别为 247±2 Ma 和 246±1 Ma。锆石具有低 Th/U 比值、极低的Nb、Ta 和重稀土元素(HREE)含量,且无明显 Eu 负异常,表明其为榴辉岩相变质成因,~246 Ma 代表榴辉岩相变质时代。12 件样品的全岩主量元素分析显示原岩为苦橄质玄武岩−玄武岩,微量元素特征揭示原岩构造背景多样,包括洋岛玄武岩(OIB)、正常型洋中脊玄武岩(N-MORB)和富集型洋中脊玄武岩(E-MORB),表明“三岩地区”榴辉岩主要由古特提斯洋壳物质(洋岛及洋中脊玄武岩)经俯冲作用形成,属于洋壳型榴辉岩。结合前期研究获得的榴辉岩锆石U-Pb 年龄和多硅白云母 Ar-Ar 坪年龄,进一步限定金沙江古特提斯洋在中三叠世早期(T21)完全闭合。
南盘江盆地、八布−高平构造带和越北地块碎屑锆石年龄对比及其构造意义
夏磊, 夏文静, 卫巍, 宋超, 王印, 刘飞
2025, 31(4): 576-588. doi: 10.12090/j.issn.1006-6616.2025068
摘要 (744) HTML (224) PDF (1571KB)(65)
摘要:
古特提斯洋的形成与演化导致了冈瓦纳大陆北缘多个陆块的裂解分离、向北漂移并最终拼贴到亚洲大陆的南侧,该洋盆的闭合形成了多条蛇绿岩带。印支造山带作为古特提斯造山带的一部分,记录了古特提斯洋的演化历史,但其洋盆位置、俯冲极性等关键科学问题仍存在争议。回答上述问题的关键在于厘定中国−越南(中越)边境地区的八布−高平构造带的构造属性和越北地块的构造归属,即八布−高平构造带是否代表开阔洋盆的缝合带,以及越北地块是华南地块的组成部分还是一个独立的小陆块。因此,通过搜集华南地块西南缘南盘江盆地、中越边境地区的八布−高平构造带和越北地块3个构造单元中的31个碎屑岩锆石年龄数据和越北地块斋江岩体的岩浆结晶−继承锆石的年龄数据,进行了锆石年龄分布直方图和概率曲线谱峰对比。研究结果发现,这些样品多具有270~250 Ma、460~420 Ma、1000~900 Ma的年龄谱峰,另外年龄数据在1800 Ma左右以及2500 Ma左右也相对集中,这体现了3个构造单元物源存在较好的一致性。结合南盘江盆地和越北地块晚古生代—早中生代地层对比结果,以及同时期动物区系的相似性,研究推测自泥盆纪以来的伸展作用导致了八布−高平构造带在二叠纪时发育裂谷、深水沉积,甚至演化至初始洋盆;然而由于其扩张幅度有限,未发育成广阔的大洋,也未完全裂解进而阻断了越北地块和南盘江盆地的联系。越北地块是华南地块的重要组成部分,古特提斯开阔洋盆应位于越北地块南侧区域。研究成果为印支造山带中大地构造单元划分提供了证据和论证,对理解中越边境地区印支造山作用和过程具有一定程度的指导价值。
浙东南火山岩区磷灰石裂变径迹研究及地质意义
冯杭建, 邱尔康, 金宠, 林丹, 徐兴华, 蔡遥
2025, 31(4): 589-603. doi: 10.12090/j.issn.1006-6616.2025016
摘要 (938) HTML (230) PDF (3671KB)(109)
摘要:
中国东南沿海诸省发育了一条长约1200 km的巨型流纹质火山岩带,其中浙江是流纹质火山岩保存面积最大、各类型火山岩构造最完好的省份。目前,浙江省流纹质火山岩的年代学、岩石学、地球化学及矿床学特征已有大量研究,但其后期的抬升剥露历史缺乏系统约束。文章以浙江省东南部雁荡山与神仙居2处复活破火山为研究对象,对其中心相侵入岩开展磷灰石裂变径迹年代学分析与HeFTy热史模拟。结果表明,浙江省东南部雁荡山与神仙居中心相侵入岩的磷灰石裂变径迹年龄多数集中于40~31 Ma,且峰值为33 Ma,部分分布于50~41 Ma,仅少量分布于61~51 Ma;热史模拟结果显示,雁荡山与神仙居地区在始新世早期(约52~48 Ma)至渐新世最早期(34~32 Ma)经历了1期快速抬升冷却事件,该抬升冷却事件早期受控于伊泽那崎−太平洋板块洋脊的俯冲,晚期则由印度−欧亚大陆碰撞汇聚的远程效应与太平洋板块俯冲后撤的共同驱动。研究结果可为浙东南地区新生代大地构造和区域地貌演化提供重要的低温热年代学约束。
鄂西海槽下寒武统水井沱组沉积特征及其油气地质意义
陈科, 王昱荦, 卢妍欣, 李飞
2025, 31(4): 604-616. doi: 10.12090/j.issn.1006-6616.2025036
摘要 (639) HTML (192) PDF (1725KB)(63)
摘要:
中国南方下寒武统富有机质页岩具有整体厚度大、热演化程度高的特点,近期的页岩气勘探已经在中扬子地区获得下寒武统页岩气工业气流。为了进一步调查中国南方下寒武统页岩气资源潜力,以中扬子地区下寒武统水井沱组为重点,结合地表露头观察和钻井资料,研究分析了其沉积特征和沉积过程,划分了下寒武统页岩三级地层层序格架,构建了中扬子地区鄂西海槽早寒武世的沉积模式,并指明了中扬子地区下寒武统页岩气勘探方向。研究表明:中扬子地区下寒武统水井沱组主要发育浅水陆棚相和深水陆棚相沉积,其底部和顶部发育浅水碳酸盐岩沉积;下寒武统富有机质页岩可划分为5个三级层序,并可与上扬子地区进行对比;水井沱组发育于震旦纪—早寒武世鄂西海槽的充填阶段,主要为泥质碎屑岩沉积。富有机质页岩分布于深水相区,在鄂西海槽识别出恩施、宜昌长阳2个次级凹陷,是页岩气勘探的重点地区;下寒武统水井沱组与下伏震旦系灯影组和陡山沱组形成“三明治”式常规油气组合,是下一步鄂西常规油气勘查的重点领域。
构造体系与构造地质
晚古生代秦岭造山带构造演化:西秦岭碎屑锆石U-Pb年代学的制约与启示
李程昊, 陈正乐, 霍海龙, 潘家永, 王永, 王文宝, 王慎刚
2025, 31(4): 617-637. doi: 10.12090/j.issn.1006-6616.2025020
摘要 (1234) HTML (351) PDF (3282KB)(163)
摘要:
秦岭造山带位于扬子与华北克拉通之间,经历了古生代-早中生代多阶段演化过程,完整记录了扬子−华北克拉通的碰撞造山历史。在物源、岩石地球化学、岩浆活动及大地构造等领域已积累大量研究成果,但秦岭造山带早古生代构造格局及晚古生代洋盆演化等关键问题仍存争议,主要有以下观点:商丹洋的闭合时间为早志留世、石炭纪与印支期;勉略洋初始俯冲时间为早石炭世、晚二叠世、晚二叠世末以及晚于早三叠世。岷县寨上地区位于西秦岭造山带,古生代地层广泛发育,是研究秦岭造山带构造演化历史的重要窗口。对该区出露的泥盆系、石炭系和二叠系开展系统采样,依次实施锆石单矿物分选、制靶、抛光及阴极发光(CL)图像拍摄,利用 LA-ICP-MS 进行锆石 U-Pb 年代学分析。通过分析实验结果,对西秦岭岷县寨上地区出露的泥盆系、石炭系和二叠系开展碎屑锆石 LA-ICP-MS U-Pb 年代学研究,以限定秦岭造山带古生代构造演化历史及沉积过程。碎屑锆石U-Pb年代学研究结果表明,岷县寨上地区西汉水群双狼沟组和巴都组具有相似的碎屑锆石年龄组成。泥盆系西汉水群双狼沟组碎屑锆石的主要年龄峰值为794 Ma,最年轻年龄峰值为448 Ma,以新元古代年龄组(746~880 Ma)为特征。下石炭统巴都组碎屑锆石主要年龄峰值为818 Ma,最年轻年龄峰值为390 Ma,以新元古代年龄组(750~901 Ma)为特征。下二叠统十里墩组中段碎屑锆石主要年龄峰值为443 Ma,最年轻年龄峰值为443 Ma,以早古生代年龄组(409~464 Ma)为特征。通过对比泥盆系、石炭系、二叠系碎屑锆石U-Pb年龄相对概率分布曲线及碎屑锆石年龄峰与构造背景关系图(对比对象包括北秦岭造山带、华北克拉通和扬子克拉通)发现:寨上地区泥盆系双狼沟组与石炭系巴都组具有一致的碎屑物质来源,其物源主要来自扬子克拉通,其次来自北秦岭造山带,且构造背景均属于裂谷盆地。而二叠系十里墩组中段碎屑物质则主要来源于北秦岭造山带,其构造背景为弧后盆地。结合研究结果以及秦岭造山带、华北克拉通、扬子克拉通、商丹洋和勉略洋的相对位置综合判断可知,岷县寨上地区在晚泥盆世—早石炭世期间处于裂谷盆地环境,至早二叠世转变为弧后盆地,这标志着勉略洋在此期间完成了由大洋扩张到大洋俯冲消亡的转换。此外,还限定勉略洋打开时间晚于早石炭世,商丹洋闭合时间早于晚泥盆世。这为秦岭造山带构造演化过程以及商丹洋的闭合时间和勉略洋初始俯冲时间提供了新的证据和年代学约束,有助于帮助恢复构建秦岭造山带的构造演化过程。
鲁西徂徕山地区地壳深熔−韧性变形叠加:对华北克拉通东部新太古代构造样式的约束
唐巧婷, 张健, 张书慧, 尹常青, 吴启航, 赵辰, 何明涛, 黄葳
2025, 31(4): 638-656. doi: 10.12090/j.issn.1006-6616.2025043
摘要 (769) HTML (188) PDF (10747KB)(72)
摘要:
鲁西位于华北克拉通东部,是太古宙基底典型分布区域之一,且整体呈北西—南东向带状展布。该地区不仅保留了新太古代不同阶段、不同类型的岩浆作用记录,同时保存了丰富的深熔−流变构造及韧性变形叠加记录,对深入了解华北克拉通该时期构造演化历史具有重要意义。徂徕山地区位于鲁西构造带中部(B带),深熔作用和韧性变形均十分发育,是深入认识鲁西地壳深熔作用及叠加变形的最佳场所。因此,选择该地区黄石崖村典型露头的混合岩作为研究对象,通过系统的野外构造解析、室内岩相学及LA-ICP-MS锆石U-Pb年代学分析,进而限定新太古代晚期深熔作用和韧性变形的时空耦合关系及其构造演化。野外观察显示该地区构造线整体呈北西—南东向展布,斜长角闪岩中发育大量长英质熔体,主要沿其面理呈条带状展布,少数呈网脉状或浸染状,揉流褶皱发育。岩相学观察可见石英颗粒沿着受到侵蚀的钾长石和斜长石的不规则边界分布,含有小熔体囊、串珠状石英和熔体膜。二者综合指示该区发生强烈深熔作用,且新生的熔体降低了整体的岩石强度,令其更容易受到后期韧性变形的叠加。同时,北东—南西向水平挤压应力又进一步促进了区域北西—南东向伸展,与斜长角闪岩形成一致的近直立面理和近水平矿物拉伸线理,显示出区域水平向近压扁型应变为主导的变形特征。为限定区域变形时代,文章选取该区域典型的残留体−熔体−脉体开展了LA-ICP-MS锆石U-Pb年龄测试。结果显示,残留相斜长角闪岩的熔体结晶年龄为~2503 Ma,代表了区域深熔作用的时代。同构造二长花岗岩获得了~2497 Ma的结晶年龄,代表了区域同构造岩浆事件的时代,而未变形的伟晶岩脉体形成于~2465 Ma,进而限定了区域韧性变形时代为2497~2465 Ma。综上所述,鲁西在新太古代晚期经历了强烈的深熔作用,并快速叠加了北东—南西水平向挤压应力场下以近压扁型应变为主的变形,深熔作用又促进了北西—南东向伸展韧性变形的发育。二者时空上密切协同作用,最终造就了鲁西地区新太古代地壳构造变形样式。
地应力与构造应力场
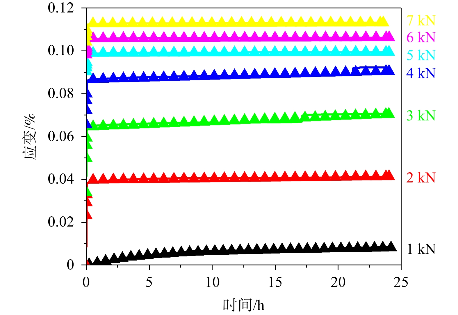
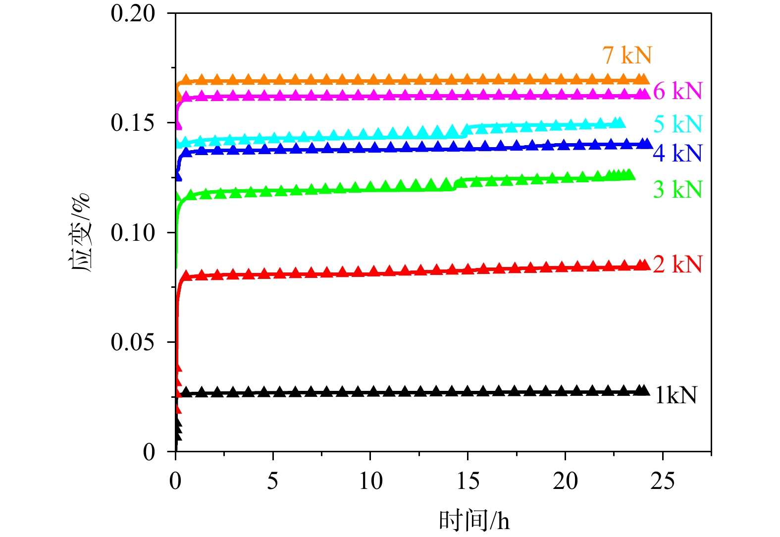
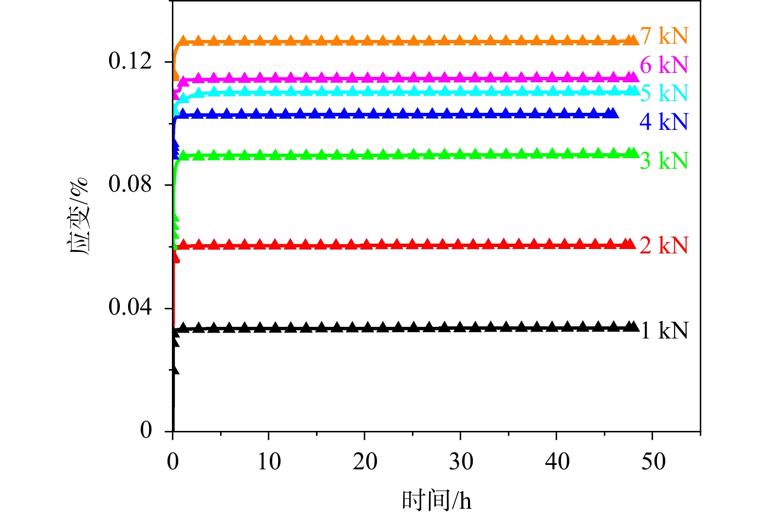
不同顶板强度垮落带破碎岩体蠕变特性研究
蔡冠军, 吴琼, 刘运荣, 李一丹
2025, 31(4): 657-672. doi: 10.12090/j.issn.1006-6616.2024135
摘要 (574) HTML (181) PDF (2232KB)(31)
摘要:
采空区垮落带分布着大量破碎岩体,其中垮落后破碎岩体的强度是导致采空区长期蠕变存在差异的关键因素,亟需明确不同强度破碎岩体的蠕变特性。基于相似理论,选取软岩、中硬岩和硬岩3种不同强度的破碎岩体相似模型,采用室内分级加载蠕变试验与理论分析相结合的方法,系统性对比不同强度破碎岩体蠕变特性。研究结果表明:不同强度破碎岩体的初始蠕变率与稳定蠕变率均随应力增大而减小,且初始阶段蠕变率变化较快;与软岩、硬岩破碎岩体相比,中硬破碎岩体在蠕变过程中发生更为明显的颗粒破碎并引发颗粒重排列,导致其初始蠕变率在2 kN时达到峰值 0.176 h−1,呈现出明显的峰值特征;此外,中硬破碎岩体在进入稳定蠕变阶段前蠕变率存在一定波动,而软岩和硬岩破碎岩体则表现为平稳衰减。研究成果揭示了不同强度破碎岩体的差异化蠕变特性,为采空区垮落带长期变形预测与地质灾害防控提供了一定的理论指导。
微地震监测在地下储气库运营中的应用进展
周远剑, 高广亮, 张浩, 李聪, 李超锋, 李楠, 杨彧, 杨智斌, 胡彩云, 孙东生, 张重远, 李磊
2025, 31(4): 673-689. doi: 10.12090/j.issn.1006-6616.2025032
摘要 (936) HTML (281) PDF (10834KB)(69)
摘要:
地下储气库在调节天然气供需、保障能源安全及优化市场运营中具有重要作用,其安全运行依赖微地震监测技术。微地震监测通过捕捉天然气注采过程中应力扰动引起岩体破裂产生的微弱信号,为储气库盖层密封性评估与风险预警提供关键数据支持。文章系统综述了微地震监测技术的原理、方法及应用。首先阐述微地震监测的技术框架,包括系统部署、数据采集与信号处理流程;进而结合国内外典型实例(新疆 H 储气库、唐山 M 储气库、金坛盐穴储气库、意大利 Minerbio Stoccaggio 储气库、丹麦 Stenlille 储气库和西班牙 Castor 储气库)分析该技术在实时监测、运行参数优化及安全评估中的有效性;最后展望未来发展趋势,提出技术智能化、多学科融合、实时远程监测及国际标准化的研究方向,为储气库安全运营与技术创新提供参考。
2024年4月3日中国台湾花莲MS 7.3地震对周围及后续MS 6.2地震、MS 6.3地震的应力影响
顾培苑, 万永魁, 宋泽尧, 王润妍, 关兆萱
2025, 31(4): 690-703. doi: 10.12090/j.issn.1006-6616.2024111
摘要 (1920) HTML (346) PDF (10790KB)(53)
摘要:
为确定2024年4月3日中国台湾花莲MS 7.3地震的破裂方式及其对周围后续地震事件的触发作用,通过反演发震断层的三维几何结构和滑动特性,解析地震同震位移场及其诱发的地表应变响应,评估主震事件对2024年4月23日发生的MS 6.2地震及MS 6.3地震的库仑应力触发效应,进而阐明该地震对其地震活动的促进作用以及其对邻近区域应力场的影响。利用“震源机制中心解”的方法确定主震及其后续地震的2个可能发震节面;基于均匀弹性半空间模型,建立地震作用下的区域同震位移场与地表应变场;分析主震垂直断层走向的位移场结果,确定其滑动特性;计算主震在后续地震事件的库仑破裂应力变化,评估其对后续地震的促进作用;采用节面聚类的方法,确定地震事件的发震断层面;将中国台湾花莲地区应力场投影到地震事件的发震断层面上,分析其发震成因。研究结果表明,水平方向上物质在震中向北东和南西方向流出,南东和北西两侧大量涌入震中,断层南东方向(上盘)出现显著隆升,断层北西方向(下盘)出现明显沉降;垂直方向上断层上盘存在明显向上的运动分量,断层下盘存在明显向下的运动分量;主震对后续地震事件的活动性有促进作用,库仑应力变化均超过0.01 MPa阈值;主震及后续地震的产生是当地应力积累后的正常释放。
能源地质
鄂尔多斯盆地延川东地区本溪组储层特征与成岩过程
高雅宁, 张少华, 于淼, 高其宇, 郭海洋, 张龙
2025, 31(4): 704-719. doi: 10.12090/j.issn.1006-6616.2025054
摘要 (585) HTML (161) PDF (3264KB)(49)
摘要:
延川东地区本溪组是鄂尔多斯盆地东南部天然气勘探的重要目标层系,储层物性较差、非均质性强且成岩演化过程复杂。文章以本溪组砂岩为研究对象,基于铸体薄片、扫描电镜及高压压汞等多种实验手段,系统分析了其储层特征及成岩作用差异,明确了多阶段成岩过程对储层质量的控制作用。研究表明,本溪组砂岩储层演化主要经历了压实致密、胶结加固与溶蚀改造3个阶段,不同矿物组成砂岩在储集性能与成岩演化路径上存在显著差异:石英砂岩抗压能力强但中成岩阶段易致密化;岩屑石英砂岩溶蚀强烈,是储层成岩改造潜力最大的岩石类型;岩屑砂岩早期致密化强烈,仅在局部发育数量有限次生孔隙。在此基础上,建立了由弱压实弱胶结相、中等压实中等胶结相、胶结致密相及胶结溶蚀复合相组成的4类成岩相划分体系,揭示了储层物性差异的微观形成机制。研究成果深化了致密砂岩成岩作用阶段性与非均质性成因的认识;同时,成岩相划分体系为致密砂岩储层分类评价与有利成岩相带的预测提供了可靠的地质依据。
地质灾害与工程地质
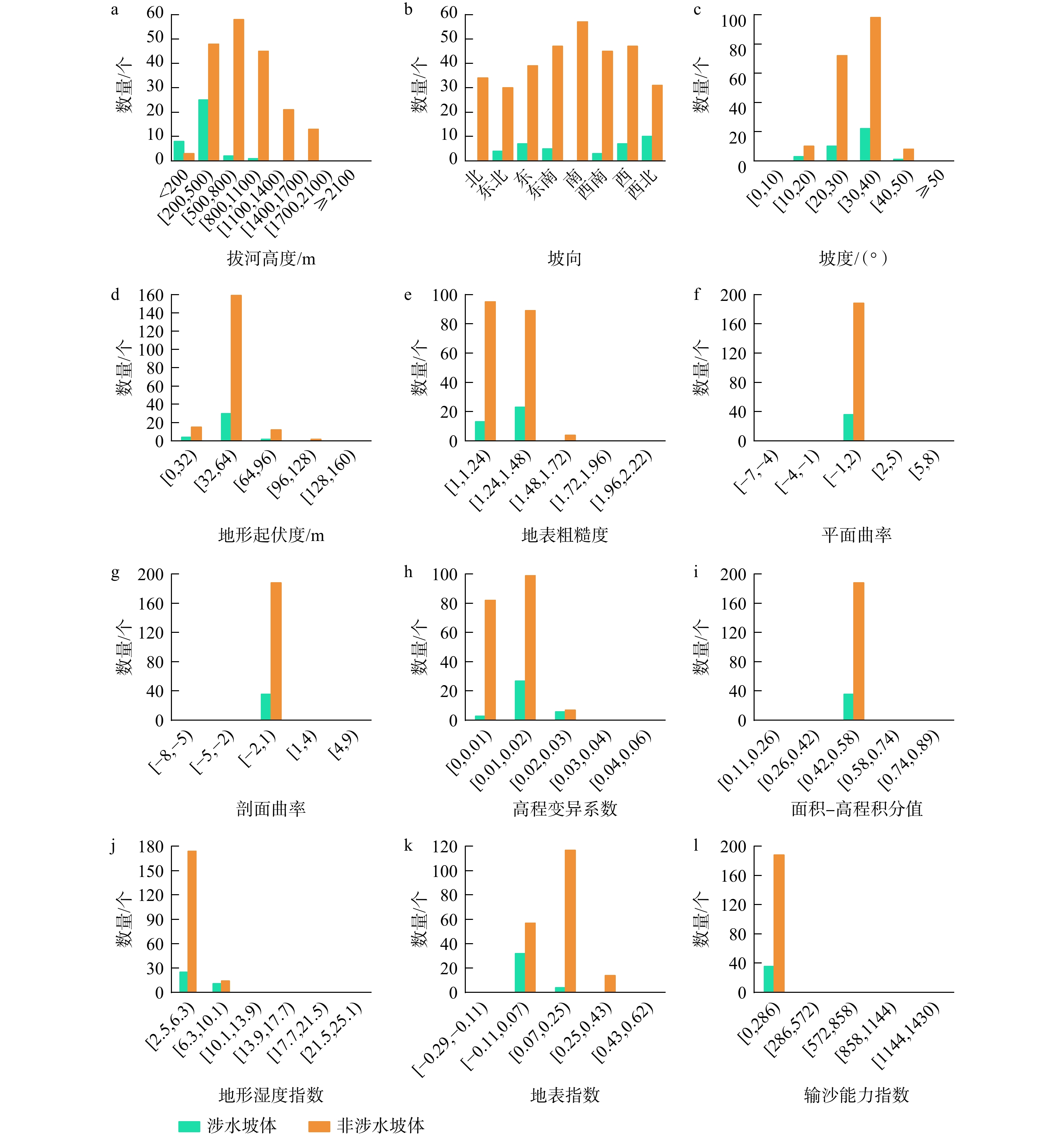
金沙江下游白鹤滩蓄水触发库岸灾变的地貌标志研究
李磊, 顾畛逵, 樊辉, 姚闯闯, 姚鑫, 李仁江, 蒋树, 戴福初
2025, 31(4): 720-739. doi: 10.12090/j.issn.1006-6616.2025003
摘要 (1022) HTML (285) PDF (5816KB)(72)
摘要:
蓄水位变化触发的坡体失稳是高山峡谷区大规模水电开发情景下普遍存在的灾害形式。21世纪以来,由于水电开发加剧,对这种特定类型灾害隐患的识别提出了更高要求。近些年,InSAR观测在很大程度上解决了在大尺度空间开展多目标变形体识别的难题,但由于观测的即时性,无法识别尚未发生变形的隐伏灾患,迫切需要归纳蓄水触发岸坡灾变的地貌标志,以利灾患判别。自2021年白鹤滩库区大规模蓄水以来,连续触发一系列库岸坡体失稳,为总结蓄水灾变地貌标志提供了良好时机。文章通过将InSAR观测、一系列地貌参数及光学影像进行有机结合,即利用2020—2023年期间升轨228景、降轨234景的Sentinel-1A数据,借助DS-InSAR技术对蓄水触发变形坡体进行识别,对其拔河高度、坡度、坡向和起伏度等一系列地貌参数的灾变触发解释力进行了排序,又结合岩层结构、岩性差异、降水与蓄水位变化记录进行了相关性分析,得出了白鹤滩库区蓄水位触发失稳坡体的岩性强弱、岸坡结构和地貌参数及其数值区间,形成的组合形式可作为地貌标志用于实现对该类型灾害隐患的早期识别。在进一步的分析过程中发现,除了蓄水作用之外,降水事件也是库岸坡体失稳不可忽视的驱动因素。该认识对于水电开发背景下的防灾减灾工作具有积极意义,有利于水电站选址与运营,并为其他类型坡体失稳评估提供参考。
基础地质与区域地质
四川西部拉拉矿区镁铁质层状岩体的深部岩浆过程
孙君一, 罗照华, 崔加伟
2025, 31(4): 740-754. doi: 10.12090/j.issn.1006-6616.2025028
摘要 (424) HTML (171) PDF (4033KB)(24)
摘要:
既往研究表明,许多层状岩体是由岩浆多次脉动作用形成的,但参与脉动过程的岩浆来源(单一或多个岩浆房)仍缺乏系统的研究。矿物作为岩浆作用过程中的产物,记录着岩浆房的性质和深部岩浆的作用过程。通过对川西拉拉矿区含矿镁铁质层状岩体5个不同岩相带中的角闪石、云母斑晶开展电子探针成分剖面分析,结合矿物成因分析、矿物分类以及热力学计算,认为其形成于岩浆作用的不同阶段,结晶过程中岩浆房性质发生了改变;镁铁质层状岩体形成过程中,深部最少有2种不同性质的岩浆房;层状岩体是由岩浆在流体超压作用下,激活2个不同性质及深度的岩浆房,经过多次(4~5次)的岩浆脉动作用所形成。