留言板

尊敬的读者、作者、审稿人, 关于本刊的投稿、审稿、编辑和出版的任何问题, 您可以本页添加留言。我们将尽快给您答复。谢谢您的支持!

姓名
邮箱
手机号码
标题
留言内容
验证码

不同顶板强度垮落带破碎岩体蠕变特性研究

蔡冠军 吴琼 刘运荣 李一丹

蔡冠军,吴琼,刘运荣,等,2025. 不同顶板强度垮落带破碎岩体蠕变特性研究[J]. 地质力学学报,31(4):657−672 doi: 10.12090/j.issn.1006-6616.2024135
引用本文: 蔡冠军,吴琼,刘运荣,等,2025. 不同顶板强度垮落带破碎岩体蠕变特性研究[J]. 地质力学学报,31(4):657−672 doi: 10.12090/j.issn.1006-6616.2024135
CAI G J,WU Q,LIU Y R,et al.,2025. Study on creep characteristics of fractured rock masses in caved zones with different roof strengths[J]. Journal of Geomechanics,31(4):657−672 doi: 10.12090/j.issn.1006-6616.2024135
Citation: CAI G J,WU Q,LIU Y R,et al.,2025. Study on creep characteristics of fractured rock masses in caved zones with different roof strengths[J]. Journal of Geomechanics,31(4):657−672 doi: 10.12090/j.issn.1006-6616.2024135

不同顶板强度垮落带破碎岩体蠕变特性研究

doi: 10.12090/j.issn.1006-6616.2024135
详细信息
    作者简介:

    蔡冠军(1982—),男,正高级工程师,主要从事岩土工程勘察、设计与施工。Email:349621645@qq.com

  • 中图分类号: TU452

Study on creep characteristics of fractured rock masses in caved zones with different roof strengths

  • 摘要: 采空区垮落带分布着大量破碎岩体,其中垮落后破碎岩体的强度是导致采空区长期蠕变存在差异的关键因素,亟需明确不同强度破碎岩体的蠕变特性。基于相似理论,选取软岩、中硬岩和硬岩3种不同强度的破碎岩体相似模型,采用室内分级加载蠕变试验与理论分析相结合的方法,系统性对比不同强度破碎岩体蠕变特性。研究结果表明:不同强度破碎岩体的初始蠕变率与稳定蠕变率均随应力增大而减小,且初始阶段蠕变率变化较快;与软岩、硬岩破碎岩体相比,中硬破碎岩体在蠕变过程中发生更为明显的颗粒破碎并引发颗粒重排列,导致其初始蠕变率在2 kN时达到峰值 0.176 h−1,呈现出明显的峰值特征;此外,中硬破碎岩体在进入稳定蠕变阶段前蠕变率存在一定波动,而软岩和硬岩破碎岩体则表现为平稳衰减。研究成果揭示了不同强度破碎岩体的差异化蠕变特性,为采空区垮落带长期变形预测与地质灾害防控提供了一定的理论指导。

     

  • 图  1  试件制样及试验过程示意图

    Figure  1.  Schematic diagram of specimen preparation and testing process

    (a) The process of making test specimens; (b) Schematic diagrams of an uniaxial compression test and a direct shear test; (c) The entire process of particle cutting and creep test model making

    图  2  蠕变前后颗粒形态对比图

    a—蠕变前颗粒形态;b—试验结束后筛分不同粒径;c—蠕变后颗粒形态

    Figure  2.  Comparison of particle morphology before and after creep

    (a) Particle morphology before creep; (b) Sieving of different particle sizes after the test; (c) Particle morphology after creep

    图  3  软岩破碎岩体全程蠕变曲线

    a—3 kN蠕变曲线;b—4 kN蠕变曲线;c—软岩破碎岩体蠕变曲线

    Figure  3.  Full-process creep curve of fractured soft rock mass

    (a) Creep curve under 3 kN load; (b) Creep curve under 4 kN load; (c) Creep curve of fractured soft rock mass

    图  4  软岩破碎岩体瞬时、蠕变应变趋势图

    Figure  4.  Trend diagram for instantaneous and creep strain of fractured soft rock mass

    (a) Strain vs.creep stress; (b) Strain proportion vs. creep stress

    图  5  软岩破碎岩体分级加载蠕变曲线

    Figure  5.  Creep curve of fractured soft rock under incremental loading

    图  6  软岩破碎岩体蠕变率随蠕变应力变化趋势

    Figure  6.  Variation of creep rate with creep stress in fractured soft rock mass

    (a) Initial creep rate; (b) steady-state creep rate

    图  7  中硬岩破碎岩体全程蠕变曲线

    a—2 kN蠕变曲线;b—3 kN蠕变曲线;c—中硬岩破碎岩体蠕变曲线;d—4 kN蠕变曲线;e—5 kN蠕变曲线

    Figure  7.  Full-process creep curve of fractured moderately hard rock mass

    (a) Creep curve under 2 kN load; (b) Creep curve under 3 kN load; (c) Creep curve of fractured moderately hard rock mass; (d) Creep curve under 4 kN load; (e) Creep curve under 5 kN load

    图  8  中硬岩破碎岩体瞬时、蠕变应变趋势图

    Figure  8.  Trend diagram for instantaneous and creep strains of fractured moderately hard rock mass

    (a) Strain vs. creep stress; (b) Strain proportion vs.creep stress

    图  9  中硬岩破碎岩体分级加载蠕变曲线

    Figure  9.  Creep curve of fractured moderately hard rock mass under incremental loading

    图  10  中硬岩破碎岩体蠕变率随蠕变应力变化趋势

    Figure  10.  Variation of creep rate with creep stress in fractured moderately hard rock mass

    (a) Initial creep rate; (b) Steady-state creep rate

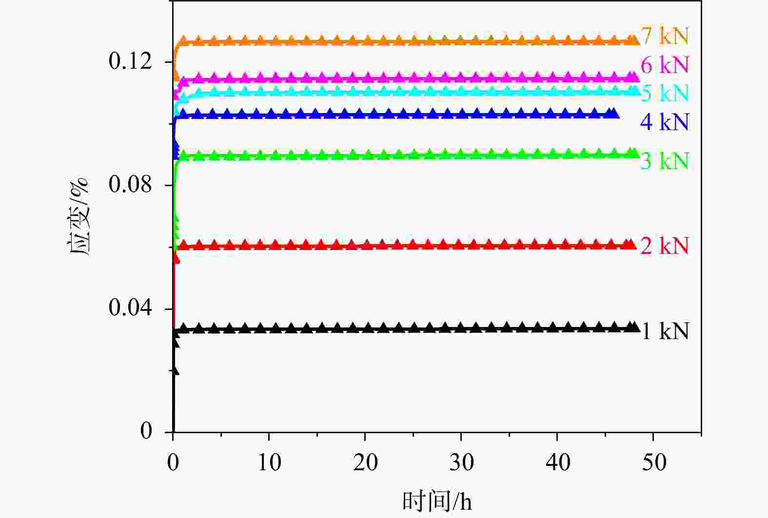
    图  11  硬岩破碎岩体全程蠕变曲线

    Figure  11.  Full-process creep curve of fractured hard rock mass

    图  12  硬岩破碎岩体瞬时、蠕变应变趋势图

    Figure  12.  Trend diagram for instantaneous and creep strains of fractured hard rock mass

    (a) Strain-creep stress; (b) Strain proportion vs. creep stress

    图  13  硬岩破碎岩体分级加载蠕变曲线图

    Figure  13.  Creep curves of fractured hard rock mass under incremental loading

    图  14  硬岩破碎岩体蠕变率随蠕变应力变化趋势

    Figure  14.  Variation of creep rate with creep stress in fractured hard rock mass

    (a) Initial creep rate; (b) Steady-state creep rate

    图  15  不同强度破碎岩体蠕变前后粒径分布以及级配变化

    Figure  15.  Particle size distribution and gradation changes of fractured rock mass with different strengths before and after creep

    (a) Initial creep rate; (b) Moderately hard rock; (c) Hard rock; (d) Gradation changes before and after creep

    图  16  3种不同强度破碎岩体相似材料强度−蠕变率

    Figure  16.  Strength vs.creep rate of similar materials in three types of fractured rock masses with different strengths

    (a) Strength vs. initial creep rate; (b) Strength vs.steady-state creep rate

    表  1  岩石坚硬程度分类

    Table  1.   Classification of rock hardnes

    坚硬程度硬岩中硬岩软岩
    饱和单轴抗压强度/MPaRc>6060>Rc>1515>Rc>5
    Rc—岩石单轴饱和抗压强度实测值
    下载: 导出CSV

    表  2  不同强度岩性物理力学参数

    Table  2.   Physical and mechanical parameters of lithologies with different strengths

    原岩强度γ/(kN/m3σc/MPaE/MPaμc/MPaφ/(°)
    软岩22.716.822800.2536.53.2
    中硬岩2231.157690.19638.26.28
    硬岩25.163.968700.2739.38.84
    γ—重度;σc—单轴抗压强度,E—弹性模量,μ—泊松比,c—黏聚力,φ—内摩擦角
    下载: 导出CSV

    表  3  不同强度岩性蠕变力学参数

    Table  3.   Creep mechanical parameters of lithologies with different strength

    原岩强度E1/MPaη1/(GPa·h)E2/MPaη2/(GPa·h)
    软岩7.3610709.8415.92434.34
    中硬岩9.3912851.2122.151228.93
    硬岩14.8821165.3135.702114.76
    E1—控制延迟弹性模量;E2—弹性剪切模量、η1—决定延迟弹性速率、η2—黏滞流动速率
    下载: 导出CSV

    表  4  相似常数选取

    Table  4.   Selection of similarity constants

    相似常数相似比相似常数相似比
    几何相似常数30应力相似常数27
    泊松比相似常数1应变相似常数1
    黏聚力相似常数27弹性模量常数27
    内摩擦角相似常数1重度相似常数0.9
    下载: 导出CSV

    表  5  不同强度相似材料配比

    Table  5.   Proportions of similar materials with different strengths

    相似材料强度酒精松香溶液含量/%IB/IBSI/IB液压油含量/%
    软岩12.770.820.561.83
    中硬岩18.700.670.525.67
    硬岩24.880.560.583.87
    IB/IBS—精铁粉与重晶石粉质量之和与骨料总质量的比值;I/IB—精铁粉质量与精铁粉和重晶石粉质量之和的比值
    下载: 导出CSV

    表  6  不同强度蠕变试验方案

    Table  6.   Creep test scheme for different strengths

    蠕变试验相似
    材料强度方案
    0.65 MPa
    试样(软岩)
    1.29 MPa
    试样(中硬岩)
    2.14 MPa
    试样(硬岩)
    蠕变应力/kN111
    222
    333
    444
    555
    666
    777
    蠕变时长/h242448
    下载: 导出CSV

    表  7  不同强度蠕变试验方案

    Table  7.   Creep test scheme for rocks of different strengths

    相似材料强度 拟合结果
    0.65 MPa试样(软岩) $ \begin{array}{l}\dot{{\varepsilon }_{0}}=0.07747\times {{\mathrm{e}}}^{-1.37306\sigma }+0.00856\\ \dot{{\varepsilon }_{{\mathrm{s}}}}=0.03155\times {{\mathrm{e}}}^{-1.35275\sigma }+0.00196\end{array} $ R2=0.976
    R2=0.944
    1.29 MPa试样(中硬岩) $ \begin{array}{l}\dot{{\varepsilon }_{0}}=0.60271\times {{\mathrm{e}}}^{-0.63791\sigma }+0.00481\\ \dot{{\varepsilon }_{{\mathrm{s}}}}=0.114\times {{\mathrm{e}}}^{-1.13069\sigma }+0.00173\end{array} $ R2=0.894
    R2=0.874
    2.14 MPa试样(硬岩) $ \begin{array}{l}\dot{{\varepsilon }_{0}}=0.48059\times {{\mathrm{e}}}^{-0.2026\sigma }-0.09625\\ \dot{{\varepsilon }_{{\mathrm{s}}}}=0.00132\times {{\mathrm{e}}}^{-0.91859\sigma }+0.00028826\end{array} $ R2=0.842
    R2=0.741
    $ {\dot{\varepsilon }}_{{}_{\text{0}}} $—初始蠕变率;$ {\dot{\varepsilon }}_{{{\mathrm{s}}}} $—稳定蠕变率;σ—应力; R2—相关系数
    下载: 导出CSV
  • [1] CHEN C F, LIU J B, XU Y L, et al, 2016. Tests on shearing creep anchor-soil interface and its empirical model[J]. Chinese Journal of Geotechnical Engineering, 38(10): 1762-1768. (in Chinese with English abstract)
    [2] CHU Z F, 2018. Study on interaction between tunnel support and surrounding rock in soft rheological rock[D]. Beijing: Beijing Jiaotong University. (in Chinese with English abstract)
    [3] FAN X J, MAO X B, 2007. Experimental study of time-dependent deformation of broken sandstones under pressure[J]. Journal of Mining & Safety Engineering, 24(4): 486-489. (in Chinese with English abstract)
    [4] GUO G L, MIAO X X, ZHANG Z N, 2001. Research on ruptured rock mass deformation characteristics of longwall goafs[J]. Science Technology and Engineering, (5): 44-47. (in Chinese with English abstract)
    [5] HAN B L, CHEN X L, SONG Y L, et al., 1997. Research on similar material of rockmass[J]. Engineering Journal of Wuhan University, (2): 7-10. (in Chinese with English abstract)
    [6] HU B N, GUO A G, 2009. Testing study on coal waste back filling material compression simulation[J]. Journal of China Coal Society, 34(8): 1076-1080. (in Chinese with English abstract)
    [7] LI H F, XU Z P, WEN Y F, et al., 2010. Study of Jiudianxia rockfill creep behaviors by triaxial creep model test[J]. Journal of Hydroelectric Engineering, 29(6): 166-171. (in Chinese with English abstract)
    [8] LI Y, WANG Y Y, 2024. Development and experimental analysis of soft rock analog with creep characteristics[J]. Journal of Qingdao Agricultural University (Natural Science), 41(2): 151-156. (in Chinese with English abstract)
    [9] LIU N, 2021. Research on compaction characteristics and re-crushing mechanism of graded broken coal and rock[D]. Xi’an: Xi'an University of Science and Technology, doi: 10.27397/d.cnki.gxaku.2021.000155. (in Chinese with English abstract)
    [10] LIU S Y, QIU Y, TONG L Y, et al., 2006. Experimental study on strength properties of coal wastes[J]. Chinese Journal of Rock Mechanics and Engineering, 25(1): 199-205. (in Chinese with English abstract)
    [11] LIU Y L, ZHOU W Z, GUO B, et al., 2020. Study on marl similar materials in similar simulation test[J]. Chinese Journal of Rock Mechanics and Engineering, 39(S1): 2795-2803. (in Chinese with English abstract)
    [12] MA Z G, LAN T, PAN Y G, et al., 2009. Experimental study of variation law of saturated broken mudstone porosity during creep process[J]. Chinese Journal of Rock Mechanics and Engineering, 28(7): 1447-1454. (in Chinese with English abstract)
    [13] Ministry of Housing and Urban-Rural Development of the People's Republic of China, 2015. Standard for engineering classification of rock mass: GB/T 50218-2014[S]. Beijing: China Planning Press. (in Chinese)
    [14] NING Y B, TANG H M, ZHANG B C, et al, 2020. Investigation of the rock similar material proportion based on orthogonal design and its application in base friction physical model tests[J]. Rock and Soil Mechanics, 41(6): 2009-2020. (in Chinese with English abstract)
    [15] QI S X, 2022. Study on creep characteristics and critical failure constitutive model of silt mudstone[D]. Changsha: Changsha University of Science & Technology. (in Chinese with English abstract)
    [16] SANZENI A, WHITTLE A J, GERMAINE J T, et al., 2012. Compression and creep of Venice lagoon sands[J]. Journal of Geotechnical and Geoenvironmental Engineering, 138(10): 1266-1276. doi: 10.1061/(ASCE)GT.1943-5606.0000696
    [17] SUN W B, TIAN D J, XUE Y C, et al., 2025. Experimental study on compressive deformation and fractal characteristics of fractured rock based on Talbol theory[J]. Mining Safety & Environmental Protection, 52(1): 61-69. (in Chinese with English abstract)
    [18] SUN X J, PAN J J, DING L H, et al, 2023. Regularities of particle gradation change before and after soft rock fill tests[J]. Journal of Changjiang River Scientific Research Institute, 40(9): 133-138. (in Chinese with English abstract)
    [19] SUN X J, LIU L Q, DENG S H, et al. , 2024. Experimental study on creep characteristics of rockfill material of Lianghekou hydropower station in high stress state[J]. Journal of Changjiang River Scientific Research Institute, 41(3): 88-93, 101. (in Chinese with English abstract)
    [20] SUN Y N, ZHANG P S, YAN W, et al, 2019. Experimental study on pressure-bearing deformation characteristics of crushed sandstone in gob[J]. Coal Science and Technology, 47(12): 56-61. (in Chinese with English abstract)
    [21] TI Z Y, QIN H Y, LI S X, 2012. Experimental analysis of compaction characteristics filled by coal gangue[J]. Journal of Water Resources and Water Engineering, 23(4): 129-131. (in Chinese with English abstract)
    [22] WANG J G, LIU W F, LIANG, et al, 2016. On the similar material for creep characteristic study of weak and broken oil shale[J]. Journal of Experimental Mechanics, 31(2): 263-268. (in Chinese with English abstract)
    [23] WANG Z K, 2017. Petrologic studies on mechanical properties of sedimentary rocks of Jurassic coal measures in Shendong[D]. Jiaozuo: Henan Polytechnic University. (in Chinese with English abstract)
    [24] WEI H, SHEN C M, LIU S H, et al., 2020. Experimental study on compression and crushing characteristics of coarse granular materials considering influence of gradations[J]. Journal of Hohai University (Natural Sciences), 48(2): 182-188. (in Chinese with English abstract)
    [25] WEN P, 2023. Compaction characteristics of broken rock in longwall goaf and its influence on surface residual deformation[D]. Jiaozuo: Henan Polytechnic University. (in Chinese with English abstract)
    [26] XIE H P, GAO F, ZHOU H W, et al., 2003. Fractal fracture and fragmentation in rocks[J]. Journal of Disaster Prevention and Mitigation Engineering, 23(4): 1-9. (in Chinese with English abstract)
    [27] XU K, YANG Q G, 2021. Spatiotemporal distribution of post-operation deformation of Shuibuya concrete-faced rockfill dam[J]. Journal of Yangtze River Scientific Research Institute, 38(7): 51-57. (in Chinese with English abstract)
    [28] YE W M, WANG Q L, LUO W J, et al., 2022. Compressive creep property and model for unsaturated argillaceous siltstone[J]. Journal of Tongji University (Natural Science), 50(8): 1154-1162. (in Chinese with English abstract)
    [29] YU B Y, CHEN Z Q, WU J Y, et al., 2016. Experimental study of compaction and fractal properties of grain size distribution of saturated crushed mudstone with different gradations[J]. Rock and Soil Mechanics, 37(7): 1887-1894. (in Chinese with English abstract)
    [30] ZHANG J W, WANG H L, CHEN S J, et al, 2018. Bearing deformation characteristics of large-size broken rock[J]. Journal of China Coal Society, 43(4): 1000-1007. (in Chinese with English abstract)
    [31] ZHANG T J, LIU N, PANG M K, et al, 2021. Re-crushing characteristics in the compaction process of graded crushed coal rock mass[J]. Journal of Mining & Safety Engineering, 38(2): 380-387. (in Chinese with English abstract)
    [32] ZHANG Z N, MIAO X X, GE X R, 2005. Testing study on compaction breakage of loose rock blocks[J]. Chinese Journal of Rock Mechanics and Engineering, 24(3): 451-455. (in Chinese with English abstract)
    [33] 陈昌富, 刘俊斌, 徐优林, 等, 2016. 锚–土界面剪切蠕变试验及其经验模型研究[J]. 岩土工程学报, 38(10): 1762-1768. doi: 10.11779/CJGE201610003
    [34] 储昭飞, 2018. 流变软岩中隧道支护-围岩相互作用关系研究[D]. 北京: 北京交通大学.
    [35] 樊秀娟, 茅献彪, 2007. 破碎砂岩承压变形时间相关性试验[J]. 采矿与安全工程学报, 24(4): 486-489. doi: 10.3969/j.issn.1673-3363.2007.04.024
    [36] 郭广礼, 缪协兴, 张振南, 2002. 老采空区破裂岩体变形性质研究[J]. 科学技术与工程, (5): 44-47. doi: 10.3969/j.issn.1671-1815.2002.05.015
    [37] 韩伯鲤, 陈霞龄, 宋一乐, 等, 1997. 岩体相似材料的研究[J]. 武汉水利电力大学学报, (2): 7-10.
    [38] 胡炳南, 郭爱国, 2009. 矸石充填材料压缩仿真实验研究[J]. 煤炭学报, 34(8): 1076-1080. doi: 10.3321/j.issn:0253-9993.2009.08.014
    [39] 李海芳, 徐泽平, 温彦锋, 等, 2010. 九甸峡堆石料蠕变特性试验研究[J]. 水力发电学报, 29(6): 166-171.
    [40] 李媛, 王永岩, 2024. 模拟软岩蠕变特性相似材料的研制及试验分析[J]. 青岛农业大学学报(自然科学版), 41(2): 151-156. doi: 10.3969/J.ISSN.1674-148X.2024.02.011
    [41] 刘楠, 2021. 级配破碎煤岩体压实特征及其再破碎机理研究[D]. 西安: 西安科技大学. doi: 10.27397/d.cnki.gxaku.2021.000155.
    [42] 刘松玉, 邱钰, 童立元, 等, 2006. 煤矸石的强度特征试验研究[J]. 岩石力学与工程学报, 25(1): 199-205. doi: 10.3321/j.issn:1000-6915.2006.01.033
    [43] 刘永莉, 周文佐, 郭斌, 等, 2020. 相似模型实验中泥灰岩相似材料研究[J]. 岩石力学与工程学报, 39(S1): 2795-2803.
    [44] 马占国, 浦海, 张帆, 等, 2003. 煤矸石压实特性研究[J]. 矿山压力与顶板管理(1): 95-96.
    [45] 马占国, 兰天, 潘银光, 等, 2009. 饱和破碎泥岩蠕变过程中孔隙变化规律的试验研究[J]. 岩石力学与工程学报, 28(7): 1447-1454. doi: 10.3321/j.issn:1000-6915.2009.07.019
    [46] 宁奕冰, 唐辉明, 张勃成, 等, 2020. 基于正交设计的岩石相似材料配比研究及底摩擦物理模型试验应用[J]. 岩土力学, 41(6): 2009-2020.
    [47] 戚双星, 2022. 粉砂质泥岩蠕变特性及临界破坏本构模型研究[D]. 长沙: 长沙理工大学.
    [48] 孙文斌, 田殿金, 薛彦超, 等, 2025. 基于Talbol理论的破碎岩石压缩变形及分形特征试验研究[J]. 矿业安全与环保, 52(1): 61-69.
    [49] 孙向军, 潘家军, 丁立鸿, 等, 2023. 软岩堆石料试验前后级配变化规律[J]. 长江科学院院报, 40(9): 133-138. doi: 10.11988/ckyyb.20220355
    [50] 孙向军, 刘立强, 邓韶辉, 等, 2024. 高应力状态下两河口堆石料蠕变特性试验研究[J]. 长江科学院院报, 41(3): 88-93, 101. doi: 10.11988/ckyyb.20221305
    [51] 孙亚楠, 张培森, 颜伟, 等, 2019. 采空区破碎砂岩承压变形特性试验研究[J]. 煤炭科学技术, 47(12): 56-61.
    [52] 题正义, 秦洪岩, 李树兴, 2012. 矸石充填的压实特性试验分析[J]. 水资源与水工程学报, 23(4): 129-131. doi: 10.11705/j.issn.1672-643X.2012.04.028
    [53] 王俊光, 刘文峰, 梁冰, 等, 2016. 软弱破碎油页岩蠕变特性相似材料实验研究[J]. 实验力学, 31(2): 263-268. doi: 10.7520/1001-4888-15-218
    [54] 王振康, 2017. 神东侏罗纪煤系沉积岩力学特性的岩石学研究[D]. 焦作: 河南理工大学.
    [55] 魏浩, 沈超敏, 刘斯宏, 等, 2020. 考虑级配影响的粗粒料压缩破碎特性试验[J]. 河海大学学报(自然科学版), 48(2): 182-188.
    [56] 温蓬, 2023. 长壁采空区破碎岩石压实特性及其对地表残余变形影响机理研究[D]. 焦作: 河南理工大学.
    [57] 谢和平, 高峰, 周宏伟, 等, 2003. 岩石断裂和破碎的分形研究[J]. 防灾减灾工程学报, 23(4): 1-9. doi: 10.3969/j.issn.1672-2132.2003.04.001
    [58] 徐琨, 杨启贵, 2021. 水布垭面板堆石坝坝体后期变形时空分布规律研究[J]. 长江科学院院报, 38(7): 51-57. doi: 10.11988/ckyyb.20200512
    [59] 许尚博, 李哲良, 郭鑫伟, 2023. 分级加载下级配破碎煤岩体压实特性试验研究[J]. 能源技术与管理, 48(6): 178-182. doi: 10.3969/j.issn.1672-9943.2023.06.054
    [60] 叶为民, 王启力, 罗文静, 等, 2022. 非饱和泥质粉砂岩蠕变特性及其模型[J]. 同济大学学报(自然科学版), 50(8): 1154-1162.
    [61] 郁邦永, 陈占清, 吴疆宇, 等, 2016. 饱和级配破碎泥岩压实与粒度分布分形特征试验研究[J]. 岩土力学, 37(7): 1887-1894.
    [62] 张俊文, 王海龙, 陈绍杰, 等, 2018. 大粒径破碎岩石承压变形特性[J]. 煤炭学报, 43(4): 1000-1007.
    [63] 张天军, 刘楠, 庞明坤, 等, 2021. 级配破碎煤岩体压实过程中再破碎特征研究[J]. 采矿与安全工程学报, 38(2): 380-387.
    [64] 张振南, 缪协兴, 葛修润, 2005. 松散岩块压实破碎规律的试验研究[J]. 岩石力学与工程学报, 24(3): 451-455. doi: 10.3321/j.issn:1000-6915.2005.03.014
    [65] 中华人民共和国住房和城乡建设部, 2015. 工程岩体分级标准: GB/T 50218—2014[S]. 北京: 中国计划出版社
  • 加载中
图(16) / 表(7)
计量
  • 文章访问数:  589
  • HTML全文浏览量:  186
  • PDF下载量:  37
  • 被引次数: 0
出版历程
  • 收稿日期:  2025-03-05
  • 修回日期:  2025-06-06
  • 录用日期:  2025-06-11
  • 预出版日期:  2025-06-12
  • 刊出日期:  2025-08-28

目录

    /

    返回文章
    返回