留言板

尊敬的读者、作者、审稿人, 关于本刊的投稿、审稿、编辑和出版的任何问题, 您可以本页添加留言。我们将尽快给您答复。谢谢您的支持!

姓名
邮箱
手机号码
标题
留言内容
验证码

中核甘肃核技术产业园预选厂址区地应力测量研究

陈利忠 洪波 张全锋 曾联波 邱君 李冉 代进雄

陈利忠, 洪波, 张全锋, 等, 2017. 中核甘肃核技术产业园预选厂址区地应力测量研究. 地质力学学报, 23 (3): 475-486.
引用本文: 陈利忠, 洪波, 张全锋, 等, 2017. 中核甘肃核技术产业园预选厂址区地应力测量研究. 地质力学学报, 23 (3): 475-486.
CHEN Li-zhong, HONG Bo, ZHANG Quan-feng, et al., 2017. A STUDY ON IN-SITU STRESS MEASUREMENT IN A CANDIDATE SITE FOR CNNC NUCLEAR TECHNOLOGY INDUSTRIAL PARK IN GANSU PROVINCE. Journal of Geomechanics, 23 (3): 475-486.
Citation: CHEN Li-zhong, HONG Bo, ZHANG Quan-feng, et al., 2017. A STUDY ON IN-SITU STRESS MEASUREMENT IN A CANDIDATE SITE FOR CNNC NUCLEAR TECHNOLOGY INDUSTRIAL PARK IN GANSU PROVINCE. Journal of Geomechanics, 23 (3): 475-486.

中核甘肃核技术产业园预选厂址区地应力测量研究

基金项目: 

国家科技重大专项项目 2016ZX05034003-002

中国地质科学院地质力学研究所基本科研业务费 DZLXJK201706

详细信息
    作者简介:

    陈利忠(1992-), 男, 硕士研究生, 主要从事地应力测量技术及应用研究。E-mail:13261983298@163.com

    通讯作者:

    洪波(1973-), 男, 高级工程师、注册土木工程师(岩土), 主要从事岩土工程勘察研究。E-mail:593604110@qq.com

  • 中图分类号: P315.727

A STUDY ON IN-SITU STRESS MEASUREMENT IN A CANDIDATE SITE FOR CNNC NUCLEAR TECHNOLOGY INDUSTRIAL PARK IN GANSU PROVINCE

  • 摘要: 为更科学地指导中核甘肃核技术产业园的选址工作,需对预选厂址工程区范围内岩体的地应力状态及分布规律进行分析研究。在预选厂址工程区内对2个450m深的钻孔开展水压致裂原地应力测试,并采用了4种方法进行关闭压力处理来保证主应力值的可靠性和准确性。压裂测试结果表明,工程区内最大水平主应力值6.66~25.91 MPa,最小水平主应力值3.94~15.76 MPa,水平主应力和垂直应力关系为SH > Sh > Sv,揭示工程区内水平应力作用占主导,利于逆断层活动。印模测试结果显示最大水平主应力优势方位为NE方向,与区域构造应力场方向基本吻合。基于实测数据计算KavKHvKHhμmτm这5种应力状态特征参数,并利用库伦摩擦滑动准则分析预选厂址区断层活动性,进而综合评价预选厂址区的应力场特征及其对岩体工程稳定性的影响。

     

  • 图  1  工程区所在区域大地构造图

    Figure  1.  Regional geotectonic map of the project site

    图  2  F1断层平面展布图

    Figure  2.  Plane distribution diagram of F1 fault

    图  3  ZK1钻孔376.90 m测段结果图

    a-压力时间曲线 b-水压裂隙印痕 c-印模处理结果图

    Figure  3.  The results of the 376.90 m test-interval in ZK1 borehole

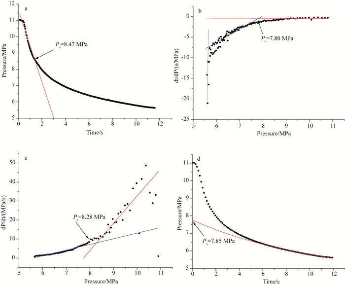
    图  4  基于4种方法的关闭压力判定

    a-单切线法; b-dt/dβ法; c-dβ/dt法; d-Muskat法

    Figure  4.  Determinations of shut-in pressure using 4 methods

    图  5  工程区岩体水平主应力值随深度变化规律

    a-ZK1和ZK2钻孔水平应力值随深度的变化; b-工程区的主应力随深度分布特征

    Figure  5.  Variation of horizontal principal stress values as the depth in the rock mass of the project site

    图  6  工程区KavKHvKHhμm值随深度分布特征图

    Figure  6.  Distribution pattern of KavKHvKHhμm as the depth in the project site

    图  7  工程区最大水平主应力方向随深度的分布特征图

    Figure  7.  Distribution pattern of the maximum horizontal stress orientations as the depth in the project site

    图  8  工程区周边区域现今构造应力场图[33]

    (注:红五角星为工程区所在位置)

    Figure  8.  Tectonic stress fields in the project site and surrounding areas

    图  9  工程区断层稳定性分析结果

    Figure  9.  Analysis results of fault stability in the project site

    表  1  工程区水压致裂原地应力测试结果

    Table  1.   Geostress measurement results of the project site using hydraulic fracturing method

    钻孔 深度(m) 压裂参数(MPa) 应力值(MPa) 方位(°)
    Pb Pr Ps PH Po SH Sh Sv
    ZK1 156.70 9.48 4.39 3.85 1.59 0.77 6.66 3.94 4.23 N12°E
    161.00 10.22 5.50 5.97 1.62 0.81 11.00 5.97 4.35
    175.80 14.97 11.83 11.93 1.81 0.96 22.82 11.93 4.75
    195.80 13.60 8.71 7.38 2.00 1.16 12.06 7.38 5.29 N22°E
    225.60 21.87 17.09 10.73 2.28 1.46 13.10 10.73 6.09
    227.00 22.22 16.59 11.40 2.29 1.47 15.27 11.40 6.13
    229.00 17.72 12.46 10.51 2.30 1.49 17.16 10.51 6.18
    233.40 15.92 9.74 9.75 2.38 1.53 17.68 9.75 6.30 N19°E
    252.50 13.69 10.48 8.26 2.56 1.73 12.99 8.26 6.82
    308.50 17.37 14.93 12.30 3.13 2.29 19.68 12.30 8.33
    358.00 16.77 14.06 12.03 3.60 2.78 19.37 12.03 9.67 N38°E
    376.90 21.81 15.74 14.76 3.79 2.97 25.57 14.76 10.18 N53°E
    431.50 24.99 17.85 15.76 4.33 3.52 25.91 15.76 11.65 N40°E
    ZK2 250.70 16.63 13.03 10.64 2.54 1.51 17.41 10.64 6.77
    252.90 15.74 8.41 9.18 2.54 1.53 17.36 9.18 6.83 N56°E
    267.40 10.51 8.71 7.69 2.73 1.67 13.29 7.69 7.22
    270.40 21.19 13.93 10.54 2.73 1.70 15.99 10.54 7.30 N22°E
    333.20 34.45 22.05 15.33 3.39 2.33 21.61 15.33 9.00
    351.50 32.72 17.22 13.09 3.57 2.52 19.53 13.09 9.49
    368.50 18.61 13.65 12.61 3.76 2.69 21.49 12.61 9.95
    376.50 30.21 15.15 13.61 3.79 2.77 22.91 13.61 10.17 N52°E
    397.50 23.28 12.26 12.63 4.05 2.98 22.44 12.63 10.73
    411.50 21.05 13.22 12.94 4.14 3.12 22.48 12.94 11.11 N44°E
    注:Pb—岩石原地破裂压力; Pr—破裂面重张压力; Ps—破裂面关闭压力; PH—静水柱压力; Po—孔隙压力; SH—最大水平主应力; Sh—最小水平主应力; Sv—根据上覆岩石埋深计算的垂向主应力(岩石密度取2.70 g/cm3)。
    Note: Pb-Fracture pressure; Pr-Reopening pressure; Ps-Shut-in pressure; PH-Hydrostatic column pressure; Po-Pore pressure; SH-Maximum horizontal principal stress; Sh-Minimum horizontal principal stress; Sv-Vertical principal stress estimated according to the depth of the overlying rock(the mean rock density is 2.70 g/cm3)
    下载: 导出CSV

    表  2  不同地区SHSh随深度变化规律情况

    Table  2.   Variation of SHSh as the depth in different regions

    地区 SH Sh 统计方法
    本工程区 0.0468H+4.542 0.0282H+2.894
    北山新场区 0.0259H+3.097 0.0177H+2.099 赵星光等[24], 修改
    中国大陆 0.0229H+4.738 0.0171H+1.829 杨树新等[27]
    西域地块 0.0203H+6.931 0.0103H+5.217 杨树新等[27]
    下载: 导出CSV

    表  3  应力状态参数计算结果

    Table  3.   Calculation results of the stress state parameters

    钻孔 深度(m) 应力状态参数
    Kav KHv KHh μm τm
    ZK1 156.70 1.25 1.57 1.69 0.26 1.36
    161.00 1.95 2.53 1.84 0.48 2.52
    175.80 3.66 4.80 1.91 0.70 5.45
    195.80 1.84 2.28 1.63 0.45 2.34
    225.60 1.96 2.15 1.22 0.43 1.19
    227.00 2.18 2.49 1.34 0.50 1.94
    229.00 2.24 2.78 1.63 0.54 3.33
    233.40 2.18 2.81 1.81 0.54 3.97
    252.50 1.56 1.90 1.57 0.38 2.37
    308.50 1.92 2.36 1.60 0.48 3.69
    358.00 1.62 2.00 1.61 0.41 3.67
    376.90 1.98 2.51 1.73 0.52 5.41
    431.50 1.79 2.22 1.64 0.47 5.08
    ZK2 250.70 2.07 2.57 1.64 0.50 3.39
    252.90 1.94 2.54 1.89 0.50 4.09
    267.40 1.45 1.84 1.73 0.35 2.80
    270.40 1.82 2.19 1.52 0.44 2.73
    333.20 2.05 2.40 1.41 0.49 3.14
    351.50 1.72 2.06 1.49 0.42 3.22
    368.50 1.71 2.16 1.70 0.44 4.44
    376.50 1.80 2.25 1.68 0.46 4.65
    397.50 1.63 2.09 1.78 0.43 4.91
    411.50 1.59 2.02 1.74 0.42 4.77
    注:KavKHv—侧压系数; KHh—水平最大最小主应力值比; μm—剪应力相对大小; τm—水平面内最大剪应力
    Note: KavKHv-Side pressure coefficient; KHh-Ratio of maximum to minimal horizontal principal stress; μm-Relative magnitude of the shear stress; τm-Maximum shear stress
    下载: 导出CSV
  • [1] 吴满路, 廖椿庭, 袁嘉音.荒沟蓄能电站地下厂房地应力状态与工程稳定性研究[J].地球学报, 2002, 23(3):263~268. http://www.cnki.com.cn/Article/CJFDTOTAL-DQXB200203015.htm

    WU Man-lu, LIAO Chun-ting, YUAN Jia-yin. A study of stress state and engineering stability of underground houses at the huanggou accumulation power station[J]. Acta Geoscientia Sinica, 2002, 23(3):263~268. http://www.cnki.com.cn/Article/CJFDTOTAL-DQXB200203015.htm
    [2] 尤哲敏. 大断裂区深埋隧道地应力特征及围岩稳定性分析[D]. 武汉: 中国地质大学, 2013.

    YOU Zhe-min. Analysis of characteristics of in situ stress and surrounding rock stability in deeply buried tunnel with large faults[D]. Wuhan:China University of Geosciences, 2013.
    [3] 谭成轩, 孙炜锋, 孙叶, 等.地应力测量及其地下工程应用的思考[J].地质学报, 2006, 80(10):1627~1632. doi: 10.3321/j.issn:0001-5717.2006.10.018

    TAN Cheng-xuan, SUN Wei-feng, SUN Ye, et al. A consideration on in-situ crustal stress measuring and its underground engineering application[J]. Acta Geologica Sinica, 2006, 80(10):1627~1632. doi: 10.3321/j.issn:0001-5717.2006.10.018
    [4] Zoback M D, Haimson B C. Status of the hydraulic fracturing method for in-situ stress measurements[A]. The 23rd US Symposium on Rock Mechanics[C]. Berkeley, California:American Rock Mechanics Association, 1982, 143~156.
    [5] Lee M Y, Haimson B C. Statistical evaluation of hydraulic fracturing stress measurement parameters[J]. International Journal of Rock Mechanics and Mining Sciences & Geomechanics Abstracts, 1989, 26(6):447~456.
    [6] Haimson B C, Cornet F H. ISRM Suggested Methods for rock stress estimation-Part 3:Hydraulic fracturing (HF) and/or hydraulic testing of pre-existing fractures (HTPF)[J]. International Journal of Rock Mechanics and Mining Sciences, 2003, 40(7/8):1011~1020.
    [7] 张鹏, 秦向辉, 丰成君, 等.郯庐断裂带山东段深孔地应力测量及其现今活动性分析[J].岩土力学, 2013, 34(8):2329~2335. http://www.cnki.com.cn/Article/CJFDTOTAL-YTLX201308042.htm

    ZHANG Peng, QIN Xiang-hui, FENG Cheng-jun, et al. In-situ stress measurement of deep borehole in Shandong segment of Tan-Lu fracture belt and analysis of its activity[J]. Rock and Soil Mechanics, 2013, 34(8):2329~2335. http://www.cnki.com.cn/Article/CJFDTOTAL-YTLX201308042.htm
    [8] 邱君, 吴满路, 范桃园, 等.芦山地震前后龙门山断裂带西南段地应力状态对比分析[J].地质学报, 2017, 91(5):969~978. http://www.cnki.com.cn/Article/CJFDTOTAL-DZXE201705018.htm

    QIU Jun, WU Man-lu, FAN Tao-yuan, et al. Comparative Analysis of In-situ Stress State in the Southwestern Segment of Longmenshan Fault Zone before and after Lushan Earthquake[J]. ActaGeologicaSinica, 2017, 91(5):969~978. http://www.cnki.com.cn/Article/CJFDTOTAL-DZXE201705018.htm
    [9] 张重远, 王振峰, 范桃园, 等.西沙群岛石岛浅部基底地壳应力测量及其地球动力学意义分析[J].地球物理学报, 2015, 58(3):904~918. doi: 10.6038/cjg20150318

    ZHANG Chong-yuan, WANG Zhen-feng, FAN Tao-yuan, et al. Crustal stress measurement in shallow basement of Shidao of Xisha Islands and analysis of its geodynamic significance[J]. Chinese Journal of Geophysics, 2015, 58(3):904~918. doi: 10.6038/cjg20150318
    [10] 秦向辉, 张鹏, 丰成君, 等.北京地区地应力测量与主要断裂稳定性分析[J].地球物理学报, 2014, 57(7):2165~2180. doi: 10.6038/cjg20140712

    QIN Xiang-hui, ZHANG Peng, FENG Cheng-jun, et al. In-situ stress measurements and slip stability of major faults in Beijing Region, China[J]. Chinese Journal of Geophysics, 2014, 57(7):2165~2180. doi: 10.6038/cjg20140712
    [11] 陈群策, 丰成君, 孟文, 等. 5.12汶川地震后龙门山断裂带东北段现今地应力测量结果分析[J].地球物理学报, 2012, 55(12):3923~3932. doi: 10.6038/j.issn.0001-5733.2012.12.005

    CHEN Qun-ce, FENG Cheng-jun, MENG Wen, et al. Analysis of in situ stress measurements at the northeastern section of the Longmenshan fault zone after the 5.12 Wenchuan earthquake[J]. Chinese Journal of Geophysics, 2012, 55(12):3923~3932. doi: 10.6038/j.issn.0001-5733.2012.12.005
    [12] 廖椿庭, 施兆贤.金川矿区原岩应力实测及在矿山设计中的应用[J].岩石力学与工程学报, 1983, 2(1):103~112. http://www.cnki.com.cn/Article/CJFDTOTAL-YSLX198301011.htm

    LIAO Chun-ting, SHI Zhao-xian. In-situ stress measurements and their application to engineering design in the Jinchuan mine[J]. Chinese Journal of Rock Mechanics and Engineering, 1983, 2(1):103~112. http://www.cnki.com.cn/Article/CJFDTOTAL-YSLX198301011.htm
    [13] 吴满路, 张春山, 廖椿庭, 等.风火山隧道地应力测量及工程稳定性分析[J].地球学报, 2005, 26(1):71~74. http://www.cnki.com.cn/Article/CJFDTOTAL-DQXB200501011.htm

    WU Man-lu, ZHANG Chun-shan, LIAO Chun-ting, et al. Stress measurement and engineering stability analysis at fenghuoshan tunnel[J]. Acta Geoscientica Sinica, 2005, 26(1):71~74. http://www.cnki.com.cn/Article/CJFDTOTAL-DQXB200501011.htm
    [14] 李永松, 尹健民, 艾凯, 等.深圳抽水蓄能电站地应力测试分析及其在地下硐室设计中的应用[J].岩石力学与工程学报, 2006, 25(S2):3965~3970. http://www.cnki.com.cn/Article/CJFDTOTAL-YSLX2006S2097.htm

    LI Yong-song, YIN Jian-min, Ai Kai, et al. Measurement and analysis of geostress for underground engineering design of Shenzhen pumped storage plant[J]. Chinese Journal of Rock Mechanics and Engineering, 2006, 25(S2):3965~3970. http://www.cnki.com.cn/Article/CJFDTOTAL-YSLX2006S2097.htm
    [15] 苏利军, 翁建良, 卢文波.千米深埋隧洞高地应力稳定分析及其工程应用[J].岩土力学, 2008, 29(S1):221~226. http://www.cnki.com.cn/Article/CJFDTOTAL-YTLX2008S1044.htm

    SU Li-jun, WENG Jian-liang, LU Wen-bo. Stability analysis of 1000m-deep-buried tunnel under high geostress entironment and its engineering application[J]. Rock and Soil Mechanics, 2008, 29(S1):221~226. http://www.cnki.com.cn/Article/CJFDTOTAL-YTLX2008S1044.htm
    [16] 王成虎, 张彦山, 郭啟良, 等.工程区地应力场的综合分析法研究[J].岩土工程学报, 2011, 33(10):1562~1568. http://www.cnki.com.cn/Article/CJFDTOTAL-YTGC201110014.htm

    WANG Cheng-hu, ZHANG Yan-shan, GUO Qi-liang, et al. New integrated analysis method to analyze stress regime of engineering area[J]. Chinese Journal of Geotechnical Engineering, 2011, 33(10):1562~1568. http://www.cnki.com.cn/Article/CJFDTOTAL-YTGC201110014.htm
    [17] 张重远, 吴满路, 廖椿庭.金川三矿地应力测量及应力状态特征研究[J].岩土力学, 2013, 34(11):3254~3260. http://www.cnki.com.cn/Article/CJFDTOTAL-YTLX201311034.htm

    ZHANG Chong-yuan, WU Man-lu, LIAO Chun-ting. In-situ stress measurement and study of stress state characteristics of Jinchuan No.3 mine[J]. Rock and Soil Mechanics, 2013, 34(11):3254~3260. http://www.cnki.com.cn/Article/CJFDTOTAL-YTLX201311034.htm
    [18] 张新虎, 刘建宏, 徐家乐, 等.再论甘肃省的板块构造[J].甘肃地质学报, 2005, 14(2):1~10. http://www.cnki.com.cn/Article/CJFDTOTAL-GSDZ200502000.htm

    ZHANG Xin-hu, LIU Jian-hong, XU Jia-le, et al. Second study on plate tectonics in Gansu Province[J]. Acta Geologica Gansu, 2005, 14(2):1~10. http://www.cnki.com.cn/Article/CJFDTOTAL-GSDZ200502000.htm
    [19] 王多杰.赤金堡-金塔断裂带的基本特征及有关问题的讨论[J].内陆地震, 1988, 2(2):142~146. http://www.cnki.com.cn/Article/CJFDTOTAL-LLDZ198802002.htm

    WANG Duo-jie. The basic features of the Chijinpu-Jinta fault zone and discussing on some problems[J]. Inland Earthquake, 1988, 2(2):142~146. http://www.cnki.com.cn/Article/CJFDTOTAL-LLDZ198802002.htm
    [20] Aamodt L, Kuriyagawa M. Measurement of instantaneous shut-in pressure in crystalline rock[A]. Presented at the Workshop on Hydraulic Fracturing Stress Measurements[C]. Monterey, CA, 1981, 218(4):715~716.
    [21] Gronseth J M, Kry P R. Instantaneous shut-in pressure and its relationship to the minimum in-situ stress[A]. Hydraulic Fracturing Stress Measurements[C]. Washington, D.C.:National Academy Press, 1983, 139:142.
    [22] Hayashi K, Sakurai I. Interpretation of hydraulic fracturing shut-in curves for tectonic stress measurements[J]. International Journal of Rock Mechanics and Mining Sciences & Geomechanics Abstracts, 1989, 26(6):477~482.
    [23] Hayashi K, Haimson B C. Characteristics of shut-in curves in hydraulic fracturing stress measurements and determination of in situ minimum compressive stress[J]. Journal of Geophysical Research, 1991, 96(B11):18311~18321. doi: 10.1029/91JB01867
    [24] 赵星光, 王驹, 马利科, 等.高放废物地质处置库北山预选区新场岩体地应力场分布规律[J].岩石力学与工程学报, 2014, 33(S2):3750~3759. http://www.cnki.com.cn/Article/CJFDTOTAL-YSLX2014S2045.htm

    ZHAO Xing-guang, WANG Ju, MA Li-ke, et al. Distribution characteristics of geostress field in Xinchang rock block of candidate Beishan area for high level radioactive waste repository in China[J]. Chinese Journal of Rock Mechanics and Engineering, 2014, 33(S2):3750~3759. http://www.cnki.com.cn/Article/CJFDTOTAL-YSLX2014S2045.htm
    [25] Meng W, Chen Q C, Zhao Z, et al. Characteristics and implications of the stress state in the Longmen Shan fault zone, eastern margin of the Tibetan Plateau[J]. Tectonophysics, 2015, 656:1~19. doi: 10.1016/j.tecto.2015.04.010
    [26] 丰成君, 陈群策, 吴满路, 等.水压致裂应力测量数据分析——对瞬时关闭压力Ps的常用判读方法讨论[J].岩土力学, 2012, 33(7):2149~2159. http://www.cnki.com.cn/Article/CJFDTOTAL-YTLX201207036.htm

    FENG Cheng-jun, CHEN Qun-ce, WU Man-lu, et al. Analysis of hydraulic fracturing stress measurement data-discussion of methods frequently used to determine instantaneous shut-in pressure[J]. Rock and Soil Mechanics, 2012, 33(7):2149~2159. http://www.cnki.com.cn/Article/CJFDTOTAL-YTLX201207036.htm
    [27] 杨树新, 姚瑞, 崔效锋, 等.中国大陆与各活动地块、南北地震带实测应力特征分析[J].地球物理学报, 2012, 55(12):4207~4217. doi: 10.6038/j.issn.0001-5733.2012.12.032

    YANG Shu-xin, YAO Rui, CUI Xiao-feng, et al. Analysis of the characteristics of measured stress in Chinese mainland and its active blocks and North-South seismic belt[J]. Chinese Journal of Geophysics, 2012, 55(12):4207~4217. doi: 10.6038/j.issn.0001-5733.2012.12.032
    [28] 赵德安, 陈志敏, 蔡小林, 等.中国地应力场分布规律统计分析[J].岩石力学与工程学报, 2007, 26(6):1265~1271. http://www.cnki.com.cn/Article/CJFDTOTAL-YSLX200706024.htm

    ZHAO De-an, CHEN Zhi-min, CAI Xiao-lin, et al. Analysis of distribution rule of geostress in China[J]. Chinese Journal of Rock Mechanics and Engineering, 2007, 26(6):1265~1271. http://www.cnki.com.cn/Article/CJFDTOTAL-YSLX200706024.htm
    [29] 王艳华, 崔效锋, 胡幸平, 等.基于原地应力测量数据的中国大陆地壳上部应力状态研究[J].地球物理学报, 2012, 55(9):3016~3027. doi: 10.6038/j.issn.0001-5733.2012.09.020

    WANG Yan-hua, CUI Xiao-feng, HU Xing-ping, et al. Study on the stress state in upper crust of China mainland based on in-situ stress measurements[J]. Chinese Journal of Geophysics, 2012, 55(9):3016~3027. doi: 10.6038/j.issn.0001-5733.2012.09.020
    [30] 王成虎, 宋成科, 郭启良, 等.利用原地应力实测资料分析芦山地震震前浅部地壳应力积累[J].地球物理学报, 2014, 57(1):102~114. doi: 10.6038/cjg20140110

    WANG Cheng-hu, SONG Cheng-ke, GUO Qi-liang, et al. Stress build-up in the shallow crust before the Lushan earthquake based on the in-situ stress measurements[J]. Chinese Journal of Geophysics, 2014, 57(1):102~114. doi: 10.6038/cjg20140110
    [31] 许忠淮, 汪素云, 高阿甲.地震活动反映的青藏高原东北地区现代构造运动特征[J].地震学报, 2000, 22(5):472~481. http://www.cnki.com.cn/Article/CJFDTOTAL-DZXB200005003.htm

    XU Zhong-huai, WANG Su-yun, GAO A-jia. Present-day tectonic movement in the northeastern margin of the Qinghai-Xizang (Tibetan) plateau as revealed by earthquake activity[J]. Acta Seismologica Sinica, 2000, 22(5):472~481. http://www.cnki.com.cn/Article/CJFDTOTAL-DZXB200005003.htm
    [32] Wan Y G. Contemporary tectonic stress field in China[J]. Earthquake Science, 2010, 23(4):377~386. doi: 10.1007/s11589-010-0735-5
    [33] 谢富仁, 陈群策, 崔效锋, 等.中国大陆地壳应力环境基础数据库[J].地球物理学进展, 2007, 22(1):131~136. http://www.cnki.com.cn/Article/CJFDTOTAL-DKXB200404020.htm

    XIE Fu-ren, CHEN Qun-ce, CUI Xiao-feng, et al. Fundamental database of crustal stress environment in continental China[J]. Progress in Geophysics, 2007, 22(1):131~136. http://www.cnki.com.cn/Article/CJFDTOTAL-DKXB200404020.htm
    [34] 陈群策, 安其美, 孙东生, 等.山西盆地现今地应力状态与地震危险性分析[J].地球学报, 2010, 31(4):541~548. http://www.cnki.com.cn/Article/CJFDTOTAL-DQXB201004007.htm

    CHEN Qun-ce, AN Qi-mei, SUN Dong-sheng, et al. Current in-situ stress state of Shanxi basin and analysis of earthquake risk[J]. Acta Geoscientia Sinica, 2010, 31(4):541~548. http://www.cnki.com.cn/Article/CJFDTOTAL-DQXB201004007.htm
    [35] 黄禄渊, 杨树新, 崔效锋, 等.华北地区实测应力特征与断层稳定性分析[J].岩土力学, 2013, 34(S1):204~213. http://www.cnki.com.cn/Article/CJFDTOTAL-YTLX2013S1032.htm

    HUANG Lu-yuan, YANG Shu-xin, CUI Xiao-feng, et al. Analysis of characteristics of measured stress and stability of faults in North China[J]. Rock and Soil Mechanics, 2013, 34(S1):204~213. http://www.cnki.com.cn/Article/CJFDTOTAL-YTLX2013S1032.htm
    [36] 李兵, 郭启良, 王建新, 等.蒙山断裂地应力特征及其稳定性分析[J].岩土力学, 2014, 35(S2):501~507. http://www.cnki.com.cn/Article/CJFDTOTAL-YTLX2014S2071.htm

    LI Bing, GUO Qi-liang, WANG Jian-xin, et al. Characteristics of in-situ stress at Mengshan fault and its stability analysis[J]. Rock and Soil Mechanics, 2014, 35(S2):501~507. http://www.cnki.com.cn/Article/CJFDTOTAL-YTLX2014S2071.htm
    [37] Zoback M D, Healy J H. In situ stress measurements to 3.5 km depth in the Cajon Pass Scientific Research Borehole:Implications for the mechanics of crustal faulting[J]. Journal of Geophysical Research, 1992, 97(B4):5039~5057. doi: 10.1029/91JB02175
    [38] Byerlee J. Friction of rocks[J]. Pure and Applied Geophysics, 1978, 116(4/5):615~626.
    [39] Townend J, Zoback M D. How faulting keeps the crust strong[J]. Geology, 2000, 28(5):399~402. doi: 10.1130/0091-7613(2000)28<399:HFKTCS>2.0.CO;2
  • 加载中
图(9) / 表(3)
计量
  • 文章访问数:  1193
  • HTML全文浏览量:  629
  • PDF下载量:  13
  • 被引次数: 0
出版历程
  • 收稿日期:  2017-01-10
  • 刊出日期:  2017-06-01

目录

    /

    返回文章
    返回