留言板

尊敬的读者、作者、审稿人, 关于本刊的投稿、审稿、编辑和出版的任何问题, 您可以本页添加留言。我们将尽快给您答复。谢谢您的支持!

姓名
邮箱
手机号码
标题
留言内容
验证码

Phase–field modelling of discontinuous structures in geomaterials

WANG Yunteng WANG Yadong LIU Jiaxin KANG Xuan WU Wei

王允腾,王亚东,刘嘉欣,等,2025. 岩土体非连续结构演化的相场模拟方法[J]. 地质力学学报,31(5):869−885 doi: 10.12090/j.issn.1006-6616.2025149
引用本文: 王允腾,王亚东,刘嘉欣,等,2025. 岩土体非连续结构演化的相场模拟方法[J]. 地质力学学报,31(5):869−885 doi: 10.12090/j.issn.1006-6616.2025149
WANG Y T,WANG Y D,LIU J X,et al.,2025. Phase–field modelling of discontinuous structures in geomaterials[J]. Journal of Geomechanics,31(5):869−885 doi: 10.12090/j.issn.1006-6616.2025149
Citation: WANG Y T,WANG Y D,LIU J X,et al.,2025. Phase–field modelling of discontinuous structures in geomaterials[J]. Journal of Geomechanics,31(5):869−885 doi: 10.12090/j.issn.1006-6616.2025149

Phase–field modelling of discontinuous structures in geomaterials

doi: 10.12090/j.issn.1006-6616.2025149
Funds: This research is financially supported by the Horizon Europe Marie Skłodowska-Curie Actions Staff Exchanges Projects of the European Commission: LOC3G (Grant No. 101129729), MONUGEO (Grant No. 101182721), and SAFARI (Grant No. 101235182), the Advanced Grant MOTRAN of the European Research Council (ERC) (Grant No. 101141312), and the Austrian Science Fund (FWF) Projects: MultiCBPR (Grant No. M3340) and HIME (Grant No. P37175).
More Information
    Author Bio:

    王允腾,博士,奥地利维也纳自然资源与生命科学大学(BOKU University)特聘教授(Privatdozent)、博士生导师。2019年获重庆大学博士学位,2019—2021年于沙特阿卜杜拉国王科技大学(KAUST)从事博士后研究,2021年入职奥地利维也纳自然资源与生命科学大学任高级研究员,并于2024年获得教授资格。长期致力于岩土力学、非局部连续介质力学、计算力学、断裂与应变局部化、数据驱动策略及岩土工程等研究领域。在Nature Communications、CMAME、JMPS、RMRE、IJP等国际知名SCI期刊上发表学术论文50余篇,总被引逾3700次,H指数为31。2023—2025年连续入选“全球前2%顶尖科学家榜单”;主持包括FWF Lise Meitner项目、OeaD科技合作项目、奥地利FWF面上项目及欧盟“地平线欧洲”玛丽·居里学者项目在内的科研课题10余项。曾获Acta Geotechnica最佳论文奖、中国岩石力学与工程学会最佳博士论文奖、中国岩石力学与工程学会自然科学特等奖、重庆市自然科学一等奖、2024年度“欧洲华人十大科技领军人才”称号,2025年度奥地利维也纳市“BOKU Best Paper Award” 等多项荣誉

    Corresponding author: 吴伟教授(Univ.-Prof. Dr.-Ing. Wei WU),奥地利维也纳自然资源与生命科学大学(BOKU University)终身讲席教授、博士生导师、岩土工程研究所主任,维也纳“Otto Pregl岩土工程研究基金”委员会主席。1982年毕业于武汉大学,1985年获西安理工大学岩土工程硕士学位,1993年获德国卡尔斯鲁厄大学博士学位。1993—2003年,先后在德国与瑞士多家国际岩土工程咨询公司任职,2003年起受聘于BOKU University,任终身教授。吴教授是奥地利仅有的四位岩土工程教授之一,曾入选“欧洲华人十大科技领军人才”。作为土体亚塑性本构模型理论的重要奠基人与推动者,他在本构理论、数值方法、室内与原位试验、离心机模型试验、边坡与隧道工程、垃圾填埋与地质灾害防控等方面开展了系统研究,在SCI期刊与国际会议发表论文200余篇;主持奥地利FWF、欧盟第六框架计划、第七框架计划、“地平线2020”计划及“地平线欧洲”计划等多项大型合作项目,并于近年荣获欧盟ERC高级研究基金(Advanced Grant)的殊荣。吴伟教授在学术传播与国际交流方面亦贡献卓著。他创办并担任岩土工程领域国际权威期刊Acta Geotechnica主编,同时兼任Springer出版社“岩土力学与工程”系列丛书主编,以及Canadian Geotechnical Journal等多个知名国际期刊的副主编。吴伟(1961—),男,博士,讲席教授,主要从事岩土力学与岩土工程研究。Email: wei.wu@boku.ac.at
  • 摘要: 文章建立了一种热力学一致的相场框架,用于描述地质材料在复杂应力条件下不连续结构的起裂与演化。模型基于体积−偏应变分解的裂纹驱动力,区分拉伸、压缩与剪切退化机制,并引入惯性效应以反映压实带形成中的波动扰动、颗粒破碎与摩擦重排。采用整体耦合算法,提高了计算的稳定性与收敛性。结果表明,该框架可依托Benzeggagh–Kenane准则准确再现拉伸、剪切及复合破坏模式,并在单轴压缩与V形缺口砂岩三轴压缩算例中成功预测裂纹起裂应力、局部化取向及能量耗散,与实验结果吻合良好。该框架可统一刻画地质材料在拉伸、压缩与剪切耦合作用下的局部化与破裂演化,为复杂加载条件下岩体破坏机理研究提供了稳健的理论与数值工具。

     

  • 图  2  相场演化原理示意图

    a—混合型断裂示意图;b—I 型断裂驱动力示意图;c—II 型断裂驱动力示意图;d—I–II 混合型断裂驱动力示意图

    Figure  2.  Schematics of the phase-field evolution principles (a) Mixed-mode fracture; (b) Mode-I fracture driving forces; (c) Mode-II fracture driving force; (d) Mixed mode I-II fracture driving forces

    图  1  具有特征长度$ \ell _{c} $的弥散损伤区$ {\varGamma }_{\ell _{c}} $在相场法示意图

    Figure  1.  Schematic diagram of phase–field method for a diffuse damage zone with a characteristic length

    图  3  应变损伤局部化的相场示意图

    a—局部化带的尖锐拓扑结构;b—相场正则化变形带;c—不同围压下的流动方向示意图及其广义回归映射几何解释

    Figure  3.  Phase–field schematics of strain localization

    (a) Sharp topology of localization zones; (b) The relevant phase–field regularized deformation bands; (c) Schematics of flow directions at different confining pressures and the general return mapping geometric interpretation

    图  4  含单条预制裂隙和3条预制裂隙的类岩试样在单轴压缩试验中的几何形状及边界条件

    Figure  4.  Geometry and boundary conditions of fissured rock-like specimens in the uniaxial compression tests: a single preexisting fissure and three preexisting fissures

    图  5  含单条裂隙的类岩试样在单轴压缩试验中的渐进破坏过程

    a—裂纹扩展路径;b—最大主应力分布;c—与实验结果的对比(Xu and Li, 2019

    Figure  5.  Progressive failure process of a fissured rock-like sample consisting of a single fissure in the uniaxial compression test

    (a) Crack growth paths; (b) Maximum principal stress; (c) Compression with laboratory experiments (Xu and Li, 2019)

    图  6  含3条裂隙的类岩试样在单轴压缩试验中的渐进破坏过程

    a—裂纹扩展路径;b—最大主应力分布;c—与实验结果的对比(Xu and Li,2019

    Figure  6.  Progressive failure process of a fissured rock-like sample containing three pre-existing fissures in the uniaxial compression test

    (a) Crack growth paths; (b) Maximum principal stress; (c) Compression with laboratory experiments (Xu and Li, 2019)

    图  7  砂岩试样的几何形状与边界条件

    a—V形缺口高孔隙砂岩试样;b—在三轴压缩试验中含有中心弱点的完整高孔隙砂岩试样的几何形状与边界条件

    Figure  7.  Geometric and boundary conditions of sandstone samples

    (a) V-shaped notched high-porosity sandstone sample; (b) Intact high-porosity sandstone sample containing one centered weak point in triaxial compression tests

    图  8  缺口砂岩试样中压实带形成的数值结果

    a—竖向位移场;b—压实带形成;c—模拟应力–应变曲线与 Ip and Borja(2022)的结果对比;d—相场模拟、实验(Vajdova and Wong,2003)及 LEFM 理论分析(Tembe et al.,2006)得到的初始屈服应力

    Figure  8.  Numerical results of compaction bands formation

    (a) Vertical displacement field (unit: m); (b) Compaction band formation; (c) Comparison of the simulated stress–strain response with the simulation result of Ip and Borja (2022); (d) Initial yield stress for the notched Bentheim sandstone samples obtained from the phase–field simulation, laboratory tests (Vajdova and Wong, 2003) and LEFM theoretical analysis (Tembe et al., 2006)

    图  9  平面应变压缩试验中侧向应力 σ3 对局部变形带形态的影响

    Figure  9.  Effect of $ {\sigma }_{3} $ on the localized deformation band patterns in the plane strain compression tests

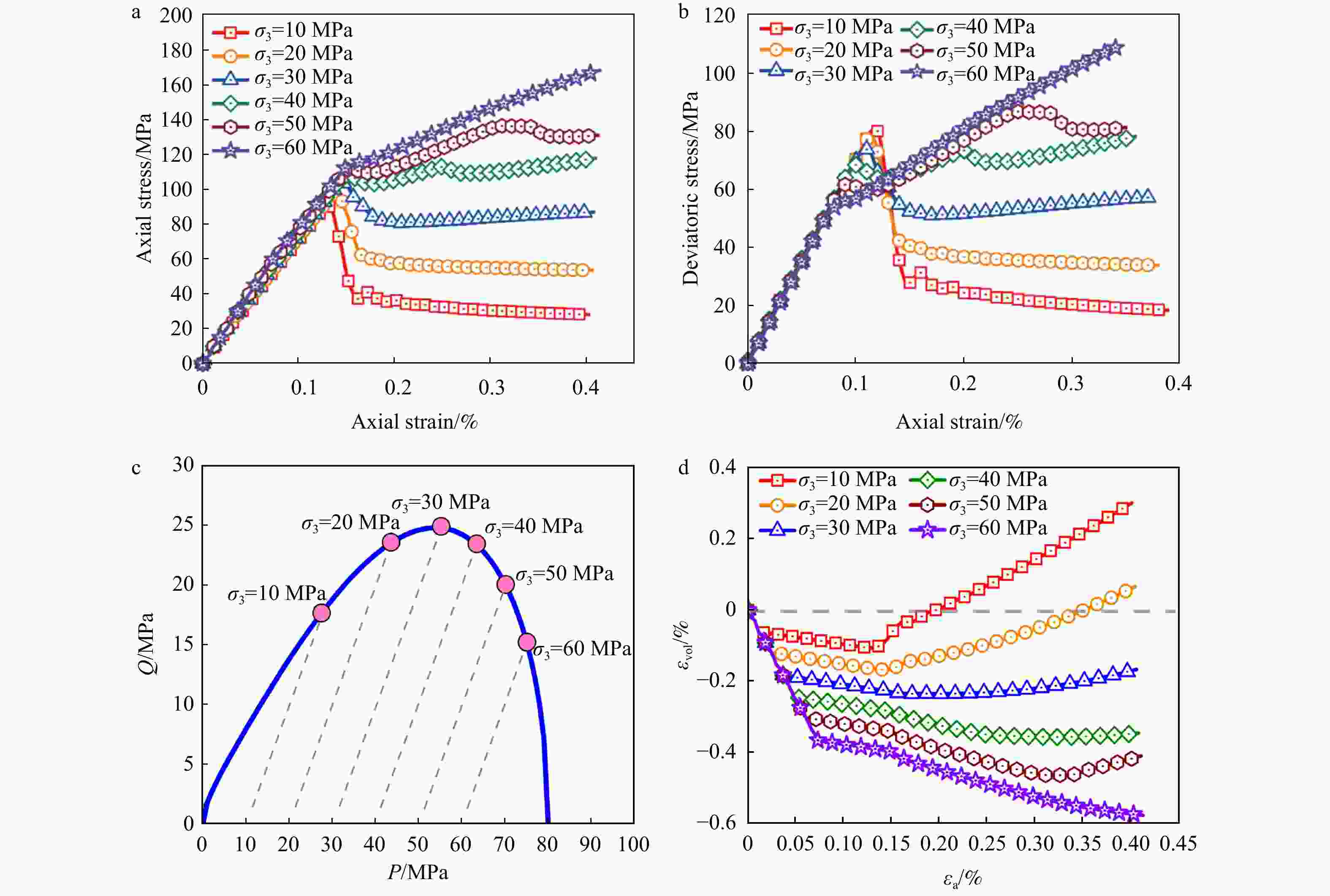
    图  10  围压对力学响应的影响

    a—$ \sigma_1 - \varepsilon_1 $ 曲线;b—$ \mathcal{Q}-{\varepsilon }_{1} $ 曲线;c—应力路径与初始屈服面关系;d—$ {\varepsilon }_{\mathrm{v}\mathrm{o}\mathrm{l}}{-}{\varepsilon }_{1} $曲线

    Figure  10.  Effect of $ {\sigma }_{3} $ on mechanical behavior

    (a) $ \sigma_1\text{–}\varepsilon_1 $ curves; (b) $ \mathcal{Q}\text{–}\varepsilon_1 $ curves; (c) Relations between loading stress paths and the initial yield surface; (d) $ \varepsilon_{\mathrm{v}\mathrm{o}\mathrm{l}}-\varepsilon_1 $ curves

    表  1  Material parameters for the triaxial compression simulation

    Table  1.   Material parameters for the triaxial compression simulation

    Parameter Symbol Value Unit
    Mass density $ \rho $ 2540 kg/m3
    Young’s modulus $ E $ 19.2 GPa
    Poisson’s ratio $ \nu $ 0.268
    Critical fracture energy release rate $ {\mathcal{G}}_{c} $ 1.0 J/m2
    Viscosity coefficient ratio $ \zeta $ 0.1
    Plastic viscosity $ \eta $ 5.0×10−3 Pa−1
    Plastic compressibility $ \mathrm{\mathit{\Lambda}}_c $ 1.5×10−3
    Crushing potential $ \theta $ 0.1
    下载: 导出CSV
  • ABDALLAH Y, SULEM J, BORNERT M, et al., 2021. Compaction banding in high‐porosity carbonate rocks: 1. Experimental observations[J]. Journal of Geophysical Research: Solid Earth, 126(1): e2020JB020538. doi: 10.1029/2020JB020538
    AMOR H, MARIGO J J, MAURINI C, 2009. Regularized formulation of the variational brittle fracture with unilateral contact: numerical experiments[J]. Journal of the Mechanics and Physics of Solids, 57(8): 1209-1229. doi: 10.1016/j.jmps.2009.04.011
    BAUD P, KLEIN E, WONG T F, 2004. Compaction localization in porous sandstones: spatial evolution of damage and acoustic emission activity[J]. Journal of Structural Geology, 26(4): 603-624. doi: 10.1016/j.jsg.2003.09.002
    BAUD P, SCHUBNEL A, HEAP M, et al., 2017. Inelastic compaction in high‐porosity limestone monitored using acoustic emissions[J]. Journal of Geophysical Research: Solid Earth, 122(12): 9989-10008. doi: 10.1002/2017JB014627
    BENZEGGAGH M L, KENANE M, 1996. Measurement of mixed-mode delamination fracture toughness of unidirectional glass/epoxy composites with mixed-mode bending apparatus[J]. Composites Science and Technology, 56(4): 439-449. doi: 10.1016/0266-3538(96)00005-X
    BERTRAND D, NICOT F, GOTTELAND P, et al., 2008. Discrete element method (DEM) numerical modeling of double-twisted hexagonal mesh[J]. Canadian Geotechnical Journal, 45(8): 1104-1117. doi: 10.1139/T08-036
    BOURDIN B, FRANCFORT G A, MARIGO J J, 2000. Numerical experiments in revisited brittle fracture[J]. Journal of the Mechanics and Physics of Solids, 48(4): 797-826. doi: 10.1016/S0022-5096(99)00028-9
    BRAATHEN A, PETRIE E, NYSTUEN T, et al., 2020. Interaction of deformation bands and fractures during progressive strain in monocline-San Rafael Swell, Central Utah, USA[J]. Journal of Structural Geology, 141: 104219. doi: 10.1016/j.jsg.2020.104219
    CAO Y J, WANG W, SHEN W Q, et al., 2022. A new hybrid phase-field model for modeling mixed-mode cracking process in anisotropic plastic rock-like materials[J]. International Journal of Plasticity, 157: 103395. doi: 10.1016/j.ijplas.2022.103395
    CHENG Y, WONG L N Y. (2018). Microscopic characterization of tensile and shear fracturing in progressive failure in marble[J]. Journal of Geophysical Research: Solid Earth, 123(1): 204-225.
    COLLINS I F, HOULSBY G T, 1997. Application of thermomechanical principles to the modelling of geotechnical materials[J]. Proceedings of the Royal Society A: Mathematical, Physical and Engineering Sciences, 453(1964): 1975-2001. doi: 10.1098/rspa.1997.0107
    CRUZ F, ROEHL D, DO AMARAL VARGAS JR E, 2018. An XFEM element to model intersections between hydraulic and natural fractures in porous rocks[J]. International Journal of Rock Mechanics and Mining Sciences, 112: 385-397. doi: 10.1016/j.ijrmms.2018.10.001
    DARVE F, SERVANT G, LAOUAFA F, et al., 2004. Failure in geomaterials: continuous and discrete analyses[J]. Computer Methods in Applied Mechanics and Engineering, 193(27-29): 3057-3085. doi: 10.1016/j.cma.2003.11.011
    DESRUES J, CHAMBON R, 2002. Shear band analysis and shear moduli calibration[J]. International Journal of Solids and Structures, 39(13-14): 3757-3776. doi: 10.1016/S0020-7683(02)00177-4
    FEI F, CHOO J, 2021. Double-phase-field formulation for mixed-mode fracture in rocks[J]. Computer Methods in Applied Mechanics and Engineering, 376: 113655. doi: 10.1016/j.cma.2020.113655
    FENG X T, XU H, QIU S L, et al., 2018. In situ observation of rock spalling in the deep tunnels of the China Jinping underground laboratory (2400 m depth)[J]. Rock Mechanics and Rock Engineering, 51(4): 1193-1213. doi: 10.1007/s00603-017-1387-8
    FOSSEN H, BALE A, 2007. Deformation bands and their influence on fluid flow[J]. AAPG Bulletin, 91(12): 1685-1700. doi: 10.1306/07300706146
    FOSSEN H, SCHULTZ R A, TORABI A, 2011. Conditions and implications for compaction band formation in the Navajo Sandstone, Utah[J]. Journal of Structural Geology, 33(10): 1477-1490. doi: 10.1016/j.jsg.2011.08.001
    FRANCFORT G A, MARIGO J J, 1998. Revisiting brittle fracture as an energy minimization problem[J]. Journal of the Mechanics and Physics of Solids, 46(8): 1319-1342. doi: 10.1016/S0022-5096(98)00034-9
    GUDEHUS G, KARCHER C, 2024. Hydraulic breakthrough of clay smears due to technical and natural actions[J]. Acta Geotechnica, 19(6): 3283-3298. doi: 10.1007/s11440-024-02261-8
    HEIDER Y, 2021. A review on phase-field modeling of hydraulic fracturing[J]. Engineering Fracture Mechanics, 253: 107881. doi: 10.1016/j.engfracmech.2021.107881
    HOEK E, 1968. Brittle fracture of rock[M]//STAGG K G, ZIENKIEWICZ O C. Rock mechanics in engineering practice. New York, John Wiley & Sons: 9-124.
    HOLTZMAN B K, PATÉ A, PAISLEY J, et al., 2018. Machine learning reveals cyclic changes in seismic source spectra in geysers geothermal field[J]. Science Advances, 4(5): eaao2929. doi: 10.1126/sciadv.aao2929
    HONG Y, ZHANG J F, ZHAO Y C, et al., 2024. Coupled hydro-mechanical XFEM analysis for multi-fracturing through an excavation driven by an underlying aquifer: a forensic case study[J]. Acta Geotechnica, 19(6): 3707-3727. doi: 10.1007/s11440-023-02132-8
    HUANG L C, BAUD P, CORDONNIER B, et al., 2019. Synchrotron X-ray imaging in 4D: multiscale failure and compaction localization in triaxially compressed porous limestone[J]. Earth and Planetary Science Letters, 528: 115831. doi: 10.1016/j.jpgl.2019.115831
    HUG L, POTTEN M, STOCKINGER G, et al., 2022. A three-field phase-field model for mixed-mode fracture in rock based on experimental determination of the mode II fracture toughness[J]. Engineering with Computers, 38(6): 5563-5581. doi: 10.1007/s00366-022-01684-9
    INGRAFFEA A R, HEUZE F E, 1980. Finite element models for rock fracture mechanics[J]. International Journal for Numerical and Analytical Methods in Geomechanics, 4(1): 25-43. doi: 10.1002/nag.1610040103
    IP S C Y, BORJA R I, 2022. A phase‐field approach for compaction band formation due to grain crushing[J]. International Journal for Numerical and Analytical Methods in Geomechanics, 46(16): 2965-2987. doi: 10.1002/nag.3436
    IP S C Y, BORJA R I, 2023. Modeling heterogeneity and permeability evolution in a compaction band using a phase-field approach[J]. Journal of the Mechanics and Physics of Solids, 181: 105441. doi: 10.1016/j.jmps.2023.105441
    KUHN C, SCHLÜTER A, MÜLLER R, 2015. On degradation functions in phase field fracture models[J]. Computational Materials Science, 108: 374-384. doi: 10.1016/j.commatsci.2015.05.034
    LEE S, REBER J E, HAYMAN N W, et al., 2016. Investigation of wing crack formation with a combined phase‐field and experimental approach[J]. Geophysical Research Letters, 43(15): 7946-7952. doi: 10.1002/2016GL069979
    LEUTHOLD J, GEROLYMATOU E, VERGARA M R, et al., 2021. Effect of compaction banding on the hydraulic properties of porous rock: part I—experimental investigation[J]. Rock Mechanics and Rock Engineering, 54(6): 2671-2683. doi: 10.1007/s00603-021-02427-w
    LIU S J, WANG Y T, PENG C, et al., 2022. A thermodynamically consistent phase field model for mixed-mode fracture in rock-like materials[J]. Computer Methods in Applied Mechanics and Engineering, 392: 114642. doi: 10.1016/j.cma.2022.114642
    LIU S J, WANG Y T, 2025. A thermodynamically consistent phase-field model for frictional fracture in rocks[J]. International Journal of Plasticity, 185: 104220. doi: 10.1016/j.ijplas.2024.104220
    MIEHE C, HOFACKER M, WELSCHINGER F, 2010. A phase field model for rate-independent crack propagation: robust algorithmic implementation based on operator splits[J]. Computer Methods in Applied Mechanics and Engineering, 199(45-48): 2765-2778. doi: 10.1016/j.cma.2010.04.011
    MOËS N, DOLBOW J, BELYTSCHKO T, 1999. A finite element method for crack growth without remeshing[J]. International Journal for Numerical Methods in Engineering, 46(1): 131-150. doi: 10.1002/(SICI)1097-0207(19990910)46:1<131::AID-NME726>3.0.CO;2-J
    MOËS N, BELYTSCHKO T, 2002. Extended finite element method for cohesive crack growth[J]. Engineering Fracture Mechanics, 69(7): 813-833. doi: 10.1016/S0013-7944(01)00128-X
    MOVAHED Z, 2022. Fracture classification on geological image logs[EB/OL]. https://alzare.com/online-course-detail-page/fracture-classification-on-geological-image-logs.
    NINKHLAI A, 2011. Dreamstime[EB/OL]. https://www.dreamstime.com/stock-photo-contraction-desiccation-cracks-dry-earth-lack-water-soil-image93520801.
    POTYONDY D O, CUNDALL P A, 2004. A bonded-particle model for rock[J]. International Journal of Rock Mechanics and Mining Sciences, 41(8): 1329-1364. doi: 10.1016/j.ijrmms.2004.09.011
    RECHBERGER C, FEY C, ZANGERL C, 2021. Structural characterisation, internal deformation, and kinematics of an active deep-seated rock slide in a valley glacier retreat area[J]. Engineering Geology, 286: 106048. doi: 10.1016/j.enggeo.2021.106048
    RUDNICKI J W, RICE J R, 1975. Conditions for the localization of deformation in pressure-sensitive dilatant materials[J]. Journal of the Mechanics and Physics of Solids, 23(6): 371-394. doi: 10.1016/0022-5096(75)90001-0
    SELVADURAI A P S, YU Q, 2005. Mechanics of a discontinuity in a geomaterial[J]. Computers and Geotechnics, 32(2): 92-106. doi: 10.1016/j.compgeo.2004.11.007
    SILLING S A, 2000. Reformulation of elasticity theory for discontinuities and long-range forces[J]. Journal of the Mechanics and Physics of Solids, 48(1): 175-209. doi: 10.1016/S0022-5096(99)00029-0
    SILLING S A, ASKARI E, 2005. A meshfree method based on the peridynamic model of solid mechanics[J]. Computers & Structures, 83(17-18): 1526-1535.
    SILLING S A, EPTON M, WECKNER O, et al., 2007. Peridynamic states and constitutive modeling[J]. Journal of Elasticity, 88(2): 151-184. doi: 10.1007/s10659-007-9125-1
    TEMBE S, VAJDOVA V, WONG T F, et al., 2006. Initiation and propagation of strain localization in circumferentially notched samples of two porous sandstones[J]. Journal of Geophysical Research: Solid Earth, 111(B2): B02409.
    TEMBE S, BAUD P, WONG T F, 2008. Stress conditions for the propagation of discrete compaction bands in porous sandstone[J]. Journal of Geophysical Research: Solid Earth, 113(B9): B09409.
    VAJDOVA V, WONG T F, 2003. Incremental propagation of discrete compaction bands: acoustic emission and microstructural observations on circumferentially notched samples of Bentheim[J]. Geophysical Research Letters, 30(14): 1775.
    VANNUCCHI P, 2025. From compaction to scaly fabric: the spectrum of deformation bands in geological media. Horizon Europe Marie Skłodowska-Curie Actions Staff Exchanges project LOC3G, 1st Doctoral School, Vienna, Austria.
    VARDOULAKIS I, 1980. Shear band inclination and shear modulus of sand in biaxial tests[J]. International Journal for Numerical and Analytical Methods in Geomechanics, 4(2): 103-119. doi: 10.1002/nag.1610040202
    WANG Q, FENG Y T, ZHOU W, et al., 2020. A phase-field model for mixed-mode fracture based on a unified tensile fracture criterion[J]. Computer Methods in Applied Mechanics and Engineering, 370: 113270. doi: 10.1016/j.cma.2020.113270
    WANG T, WAUTIER A, TANG C S, et al., 2024a. 3D DEM simulations of cyclic loading-induced densification and critical state convergence in granular soils[J]. Computers and Geotechnics, 173: 106559. doi: 10.1016/j.compgeo.2024.106559
    WANG Y T, ZHOU X P, XU X, 2016. Numerical simulation of propagation and coalescence of flaws in rock materials under compressive loads using the extended non-ordinary state-based peridynamics[J]. Engineering Fracture Mechanics, 163: 248-273. doi: 10.1016/j.engfracmech.2016.06.013
    WANG Y T, WU W, 2023. A bond-level energy-based peridynamics for mixed-mode fracture in rocks[J]. Computer Methods in Applied Mechanics and Engineering, 414: 116169. doi: 10.1016/j.cma.2023.116169
    WANG Y T, BORJA R I, WU W, 2023. Dynamic strain localization into a compaction band via a phase-field approach[J]. Journal of the Mechanics and Physics of Solids, 173: 105228. doi: 10.1016/j.jmps.2023.105228
    WANG Y T, WANG S, SORANZO E, et al. , 2024b. Phase-field modeling of brittle failure in rockslides[M]//WU W, WANG Y T. Recent geotechnical research at BOKU. Cham: Springer: 241-264.
    WAUTIER A, BONELLI S, NICOT F, 2019. DEM investigations of internal erosion: grain transport in the light of micromechanics[J]. International Journal for Numerical and Analytical Methods in Geomechanics, 43(1): 339-352. doi: 10.1002/nag.2866
    WENG H H, AMPUERO J P, 2020. Continuum of earthquake rupture speeds enabled by oblique slip[J]. Nature Geoscience, 13(12): 817-821. doi: 10.1038/s41561-020-00654-4
    WU J Y, 2017. A unified phase-field theory for the mechanics of damage and quasi-brittle failure[J]. Journal of the Mechanics and Physics of Solids, 103: 72-99. doi: 10.1016/j.jmps.2017.03.015
    XU J, LI Z X, 2019. Crack propagation and coalescence of step-path failure in rocks[J]. Rock Mechanics and Rock Engineering, 52(4): 965-979. doi: 10.1007/s00603-018-1661-4
    ZHANG X, SLOAN S W, VIGNES C, et al., 2017. A modification of the phase-field model for mixed mode crack propagation in rock-like materials[J]. Computer Methods in Applied Mechanics and Engineering, 322: 123-136. doi: 10.1016/j.cma.2017.04.028
    ZHANG J Z, ZHOU X P, 2022. Fracture process zone (FPZ) in quasi-brittle materials: Review and new insights from flawed granite subjected to uniaxial stress[J]. Engineering Fracture Mechanics, 274: 108795. doi: 10.1016/j.engfracmech.2022.108795
    ZHOU X P, WANG Y T, 2021. State-of-the-art review on the progressive failure characteristics of geomaterials in peridynamic theory[J]. Journal of Engineering Mechanics, 147(1): 03120001. doi: 10.1061/(ASCE)EM.1943-7889.0001876
    ZIEGLER H, 2012. An introduction to thermomechanics (Vol. 21)[M]. 2nd ed. Amsterdam: Elsevier
  • 2025149资源附件.docx
  • 加载中
图(10) / 表(1)
计量
  • 文章访问数:  428
  • HTML全文浏览量:  255
  • PDF下载量:  64
  • 被引次数: 0
出版历程
  • 收稿日期:  2025-10-09
  • 修回日期:  2025-10-17
  • 录用日期:  2025-10-22
  • 预出版日期:  2025-10-31
  • 刊出日期:  2025-10-30

目录

    /

    返回文章
    返回