留言板

尊敬的读者、作者、审稿人, 关于本刊的投稿、审稿、编辑和出版的任何问题, 您可以本页添加留言。我们将尽快给您答复。谢谢您的支持!

姓名
邮箱
手机号码
标题
留言内容
验证码

鄂东缘临兴地区深层煤层顶底板与含气性耦合关系研究

霍少伟 冯兴强 吴见 张守仁 周磊 钱竹良 晁巍巍

霍少伟,冯兴强,吴见,等,2025. 鄂东缘临兴地区深层煤层顶底板与含气性耦合关系研究[J]. 地质力学学报,31(2):235−247 doi: 10.12090/j.issn.1006-6616.2024124
引用本文: 霍少伟,冯兴强,吴见,等,2025. 鄂东缘临兴地区深层煤层顶底板与含气性耦合关系研究[J]. 地质力学学报,31(2):235−247 doi: 10.12090/j.issn.1006-6616.2024124
HUO S W,FENG X Q,WU J,et al.,2025. Study on the coupling between the hanging- and foot-wall beds and the gas content of deep coal seams in the Linxing area, eastern margin of the Ordos Basin[J]. Journal of Geomechanics,31(2):235−247 doi: 10.12090/j.issn.1006-6616.2024124
Citation: HUO S W,FENG X Q,WU J,et al.,2025. Study on the coupling between the hanging- and foot-wall beds and the gas content of deep coal seams in the Linxing area, eastern margin of the Ordos Basin[J]. Journal of Geomechanics,31(2):235−247 doi: 10.12090/j.issn.1006-6616.2024124

鄂东缘临兴地区深层煤层顶底板与含气性耦合关系研究

doi: 10.12090/j.issn.1006-6616.2024124
基金项目: 中国地质调查局地质调查项目(DD20242777);国家自然科学基金项目(42172176)
详细信息
    作者简介:

    霍少伟(2000—),男,在读硕士,研究方向为油气地质。Email:2825430669@qq.com

    通讯作者:

    冯兴强(1975—),男,教授级高级工程师,从事石油地质及油气地质力学研究。Email:286484521@qq.com

  • 中图分类号: P618.13

Study on the coupling between the hanging- and foot-wall beds and the gas content of deep coal seams in the Linxing area, eastern margin of the Ordos Basin

Funds: This research is financially supported by the Geological Survey Projects of the Chinese Geological Survey (Grant No. DD20242777) and National Natural Science Foundation of China (Grant No. 42172176).
  • 摘要: 鄂尔多斯盆地东缘临兴地区的深层煤层气有巨大的勘探开发潜力,已经成为重点勘探开发区。研究表明煤层顶底板对煤层气的富集保存有重要作用,但目前尚未开展深层煤层顶底板对含气性影响的系统研究,二者的耦合关系不清楚。为丰富深层煤层气富集理论,综合应用测井、钻井和录井等资料,针对临兴地区8+9号煤层顶底板特征与含气性的耦合关系展开了研究。研究结果发现,临兴地区本溪组—太原组发育障壁−潮坪−潟湖沉积体系,8+9号煤层主要发育于潮上带、泥炭坪和泥炭沼泽,顶底板沉积环境为泥坪、潟湖、灰坪和砂坪沉积微相。受沉积环境的影响顶底板主要由灰岩、泥岩和砂岩3种岩性构成;煤层顶板和底板厚度平面分布变化较大,顶板厚度介于1.90~19.00 m,底板厚度介于1.99~21.19 m;具有顶灰底泥型、顶泥底灰型、顶泥底泥型、顶泥底砂型、顶砂底灰型、顶砂底泥型、顶砂底砂型7种不同的顶底板岩性组合。进一步研究顶底板特征与煤层含气量的关系发现,顶灰底泥型、顶泥底灰型和顶泥底泥型煤层呈现出高含气量的特征;顶泥底砂型和顶砂底灰型煤层呈现较高含气量的特征;顶砂底泥型和顶砂底砂型煤层呈现低含气量的特征;同一岩性下,顶底板厚度越大,煤层含气量越高,顶底板厚度与含气量呈正相关。利用层次分析法可划分为3类深层煤层顶底板与含气性的耦合模式:Ⅰ类(耦合关系好)含气量大于15 m3/t、Ⅱ类(耦合关系较好)含气量范围为12~15 m3/t、Ⅲ类(耦合关系差)含气量小于12 m3/t。该研究成果明确了深层煤层顶底板对含气量的控制作用,对深层煤层气的有利区评价、优选和开采具有重要的指导意义,并进一步丰富了深层煤层气富集理论。

     

  • 图  1  研究区构造位置图及地层柱状图

    a—鄂尔多斯盆地构造简图(临兴地区位于鄂东缘晋西挠褶带北部);b—研究区构造位置图;c—地层柱状图

    Figure  1.  Structural map and stratigraphic column of the study area

    (a) Schematic diagram of the tectonics in the Ordos Basin (The Linxing area is located in the northern part of the Jinxi flexural folding belt at the eastern margin of the Ordos Basin); (b) Tectonic map of the study area; (c) Stratigraphic column

    图  2  煤层及其顶底板岩电特征图

    a—潮上带煤相;b—泥炭坪煤相;c—瀉湖煤相

    Figure  2.  Electrical characteristics of the hanging- and foot-wall rocks of coal seams

    (a) Coal facies of the supratidal zone; (b) Coal facies of the peat flat; (c) Coal facies of the lagoon

    图  3  临兴地区深层煤层顶底板组合样式示意

    Figure  3.  Schematic diagram of the combination styles of the hanging- and foot-wall lithologies of the deep coal seams in the Linxing area

    (a) Top ash and bottom mud; (b) Top mud and bottom ash; (c) Top sand and bottom ash; (d) Top mud and bottom sand; (e) Top mud and bottom mud; (f) Top sand and bottom mud; (g) Top sand and bottom sand

    图  4  临兴地区深层煤层顶底板厚度等值线图

    a—顶板;b—底板

    Figure  4.  Contour map of the thickness of the hanging- and foot-wall of the deep coal seams in the Linxing area

    (a) Roof; (b) Floor

    图  5  不同顶底板岩性组合的煤层厚度统计直方图

    Figure  5.  Histogram of the thickness of coal seams for different combinations of hanging- and foot-wall lithologies

    图  6  不同顶底板岩性组合的煤层镜质组反射率直方图

    Figure  6.  Histogram of the vitrinite reflectance of coal seams for different combinations of hanging- and foot-wall lithologies

    图  7  不同顶底板岩性组合的煤储层孔隙度−渗透率直方图

    Figure  7.  Histogram of the porosity-permeability of coal reservoirs for different combinations of hanging- and foot-wall lithologies

    图  8  临兴地区煤层含气量等值线图

    Figure  8.  Contour map of the gas content in the coal seams of the Linxing area

    图  9  不同顶底板岩性组合的煤层平均含气量

    Figure  9.  Average gas content of coal seams with different combinations of hanging- and foot-wall lithologies

    图  10  顶底板岩性组合与煤层含气量的关系

    Figure  10.  Relationship between combinations of hanging- and foot-wall lithologies and gas content

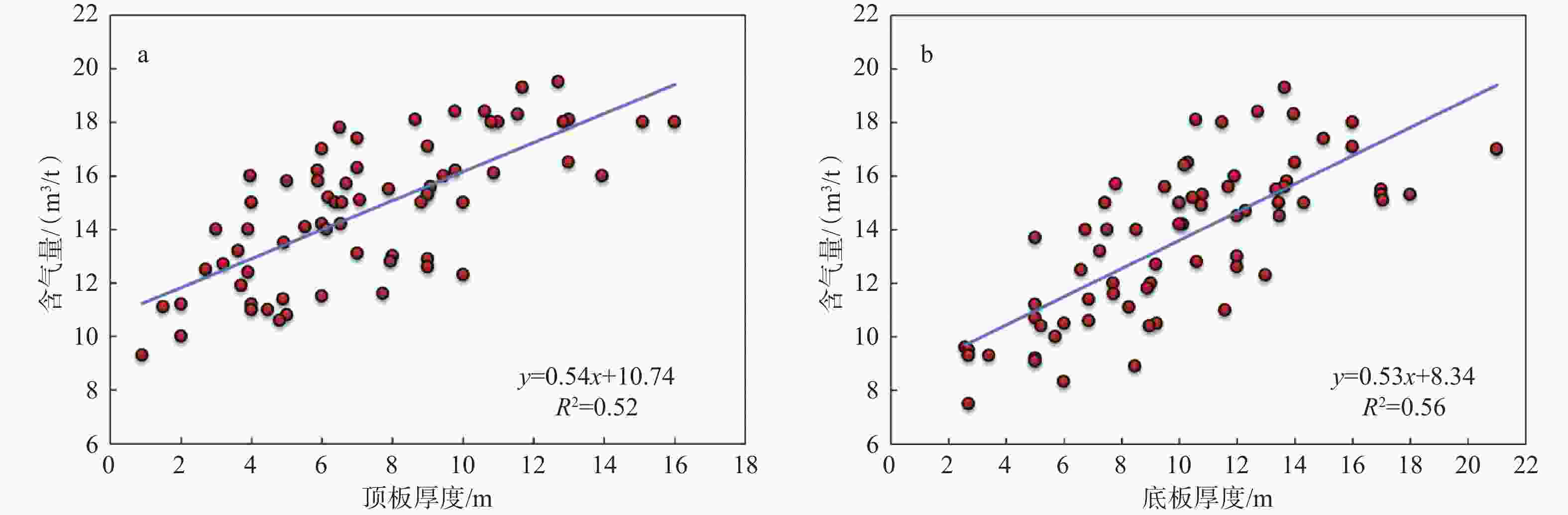
    图  11  顶底板泥岩厚度与煤层含气量的关系

    a—顶板泥岩;b—底板泥岩

    Figure  11.  Relationship between hanging- and foot-wall mudstone thickness and coal seam gas content

    (a) Hanging-wall mudstone; (b) Foot-wall mudstone

    图  12  影响因素评价层次结构

    Figure  12.  Hierarchical structure of the evaluation of influencing factors

    图  13  深层煤层气的富集耦合模式

    Figure  13.  Coupling model of deep coalbed methane enrichment

    表  1  各因素权重表

    Table  1.   Weight table of each factor

    准测层权重指标层权重综合权重
    岩性0.56顶板岩性0.390.22
    底板岩性0.240.13
    厚度0.44顶板厚度(D10.260.11
    底板厚度(D20.110.05
    下载: 导出CSV

    表  2  随机一致性指标表

    Table  2.   Stochastic consistency indicators

    矩阵阶数12345678910
    RI000.520.891.121.261.361.411.461.49
    下载: 导出CSV

    表  3  指标赋值转化参考标准表

    Table  3.   Index assignment conversion reference standard table

    指标量化赋值123
    顶板岩性砂岩泥岩灰岩
    底板岩性砂岩泥岩灰岩
    顶板厚度(D1;灰岩、泥岩)D1<510>D1≥5D1≥10
    底板厚度(D2;灰岩、泥岩)D2<510>D2≥5D2≥10
    顶板厚度(D1;砂岩)D1≥1010>D1≥5D1<5
    底板厚度(D2;砂岩)D2≥1010>D2≥5D2<5
    下载: 导出CSV

    表  4  深层煤层顶底板综合特征与含气量耦合关系

    Table  4.   Relationship between characteristics of the hanging- and foot-wall beds and the gas content in a deep coal seam

    岩性组合类型 顶板厚度(D1)/m 底板厚度(D2)/m 指标
    总分
    平均含气
    量/(m3/t)
    含气性耦
    合关系
    顶灰底泥型 10>D1≥5 D2≥10 1.29 19.51
    D1<5 D2≥10 1.18 16.01
    10>D2≥5 1.13 15.86
    顶泥底灰型 10>D1≥5 D2<5 1.10 16.10
    D1<5 D2<5 0.99 14.60 较好
    顶泥底泥型 D1≥10 D2≥10 1.18 17.11
    10>D2≥5 1.13 17.05
    D2<5 1.08 15.60
    10>D1≥5 D2≥10 1.07 15.33
    10>D2≥5 1.02 15.02
    D2<5 0.97 14.86 较好
    D1<5 D2≥10 0.96 14.48 较好
    10>D2≥5 0.91 13.63 较好
    D2<5 0.86 13.38 较好
    顶泥底砂型 10>D1≥5 10>D2≥5 0.89 14.67 较好
    顶砂底灰型 10>D1≥5 D2<5 0.88 13.60 较好
    顶砂底泥型 D1≥10 10>D2≥5 0.69 10.52
    10>D1≥5 D2≥10 0.85 11.60
    10>D2≥5 0.80 11.61
    D2<5 0.75 11.88
    D1<5 10>D2≥5 0.91 13.40 较好
    D2<5 0.86 13.46 较好
    顶砂底砂型 D1<5 D2<5 0.72 11.30
    下载: 导出CSV
  • [1] DU J, ZHU G H, LI Y, et al., 2022. Exploration and development challenges and technological countermeasures for tight sandstone gas reservoirs in Ordos Basin margin: a case study of Linxing–Shenfu Gas Field[J]. Natural Gas Industry, 42(1): 114-124. (in Chinese with English abstract
    [2] FAN L Y, ZHOU G X, YANG Z B, et al., 2025. Geological control of differential enrichment of deep coalbed methane in the Ordos Basin[J]. Coal Science and Technology, 53(1): 203-215. (in Chinese with English abstract
    [3] GAO B, MA Y Z, TAO M X, et al., 2003. Main controlling factors analysis of enrichment condition of coaibed methane[J]. Acta Sedimentologica Sinica, 21(2): 345-349. (in Chinese with English abstract
    [4] GUO G S, XU F Y, LI L F, et al., 2024. Enrichment and accumulation patterns and favorable area evaluation of deep coalbed methane in the Fugu area, Ordos Basin[J]. Coal Geology & Exploration, 52(2): 81-91. (in Chinese with English abstract
    [5] GUO X J, ZHI D M, MAO X J, et al., 2021. Discovery and significance of coal measure gas in Junggar Basin[J]. China Petroleum Exploration, 26(6): 38-49. (in Chinese with English abstract
    [6] GUO X J, WANG L, YAO X Z, et al., 2025. Geological characteristics of deep coal rock and main geological factors controlling coalbed methane enrichment: a case study of the M area in the eastern Ordos Basin[J]. Petroleum Geology & Experiment, 47(1): 17-26. (in Chinese with English abstract
    [7] HUANG Z W, LI G F, YANG R Y, et al., 2022. Review and development trends of coalbed methane exploitation technology in China[J]. Journal of China Coal Society, 47(9): 3212-3238. (in Chinese with English abstract
    [8] JIA H M, HU Q J, ZHANG C, et al. , 2025. Characteristics and development practice of deep coalbed methane reservoir in southern Ningwu Basin[J]. Journal of China University of Mining & Technology, 54(1): 149-160, 185. (in Chinese with English abstract
    [9] LI J L, ZUO Q M, XIE X N, et al., 2011. Neogene depositional features and favorable reservoir-cap combinations in the deepwater of Qiongdongnan Basin, northern South China Sea[J]. Marine Geology & Quaternary Geology, 31(6): 109-116. (in Chinese with English abstract
    [10] LI S G, WANG C W, WANG H N, et al., 2022. Reservoir forming characteristics and favorable area evaluation of deep coalbed methane in Daning-Jixian block[J]. Coal Geology & Exploration, 50(9): 59-67. (in Chinese with English abstract
    [11] LI Z B, LIU Z Q, 2021. Analysis of gas bearing property and physical properties of coalbed mehtane in Urumqi Hedong mining area[J]. China Coalbed Methane, 18(1): 21-24. (in Chinese with English abstract
    [12] LIU X X, 2019. Study on the sedimentary environment of Upper Carboniferous Benxi Formation of eastern Ordos Basin, China[D]. Chengdu: Chengdu University of Technology. (in Chinese with English abstract
    [13] LU J, SHAO L Y, SUN B, et al., 2012. Sequence-paleogeography and coal accumulation of Carboniferous-Permian coal measures in the eastern Ordos Basin[J]. Journal of China Coal Society, 37(5): 747-754. (in Chinese with English abstract
    [14] QIN Y, SHEN J, LI X G, 2022. Control degree and reliability of CBM resources in China[J]. Natural Gas Industry, 42(6): 19-32. (in Chinese with English abstract
    [15] SAATY T L, 1977. A scaling method for priorities in hierarchical structures[J]. Journal of Mathematical Psychology, 15(3): 234-281.
    [16] SUN L C, LIU J, TIAN Y J, et al., 2025. Early practical experience and key research directions for deep coalbed methane development in the Shenfu block[J]. China Offshore Oil and Gas, 37(1): 116-128. (in Chinese with English abstract
    [17] TAN Y J, 2012. Quantitative analysis method[M]. 3rd ed. Beijing: Renmin University of China Press. (in Chinese)
    [18] TAO C Q, 2019. Deep coalbed methane accumulation and reservoiring in Linxing Area, eastern Ordos Basin, China[D]. Beijing: China University of Mining & Technology (Beijing). (in Chinese with English abstract
    [19] WANG C W, LIU X W, LI S G, et al., 2024. Analysis of main controlling factors of deep coalbed methane enrichment and evaluation of geological and engineering Sweet Areas in Daning-Jixian Block[J]. Journal of Xi'an Shiyou University (Natural Science Edition), 39(4): 1-9. (in Chinese with English abstract
    [20] WANG M Z, WANG B, SUN F J, et al., 2017. Quantitative evaluation of CBM enrichment and high yield of Qinshui Basin[J]. Natural Gas Geoscience, 28(7): 1108-1114. (in Chinese with English abstract
    [21] WEI Q S, YANG S G, LI Z L, et al. , 2021. Evaluation on the influence factors of gas well productivity based on AHP and fuzzy mathematics[J]. Contemporary Chemical Industry, 50(7): 1640-1643, 1653. (in Chinese with English abstract
    [22] XU C G, JI H Q, WANG C W, et al., 2024. Enrichment patterns and exploration countermeasures of deep coalbed methane in the Linxing-Shenfu block on the eastern margin of the Ordos Basin[J]. Coal Geology & Exploration, 52(8): 1-11. (in Chinese with English abstract
    [23] XU F Y, WANG C W, XIONG X Y, et al., 2022. Deep (layer) coalbed methane reservoir forming modes and key technical countermeasures: taking the eastern margin of Ordos Basin as an example[J]. China Offshore Oil and Gas, 34(4): 30-42. (in Chinese with English abstract
    [24] XU F Y, HOU W, XIONG X Y, et al., 2023. The status and development strategy of coalbed methane industry in China[J]. Petroleum Exploration and Development, 50(4): 669-682. (in Chinese with English abstract
    [25] YANG X C, XU F Y, WANG H Y, et al., 2022. Exploration and development process of coalbed methane in eastern margin of Ordos Basin and its enlightenment[J]. Coal Geology & Exploration, 50(3): 30-41. (in Chinese with English abstract
    [26] YANG X L, GAO J, HE F W, et al., 2025. Sedimentary evolution and reservoir-forming conditions of Taiyuan Formation in Jiaxian area, eastern margin of Ordos Basin[J]. Natural Gas Geoscience, 36(1): 86-96. (in Chinese with English abstract
    [27] ZHANG L, 2019. Study on sedimentary facies and sand body distribution of the Taiyuan Formation in Linxing area[D]. Qingdao: China University of Petroleum (East China). (in Chinese with English abstract
    [28] ZHANG L L, CAI W Y, ZHANG Z L, et al., 2012. Technology for logging and evaluation roof and floor strata of coal seam[J]. China Coalbed Methane, 9(4): 21-24. (in Chinese with English abstract
    [29] ZHAO Z, XU W L, ZHAO Z Y, et al. , 2024. Geological characteristics and exploration breakthroughs of coal rock gas in Carboniferous Benxi Formation, Ordos Basin, NW China[J]. Petroleum Exploration and Development, 51(2): 234-247, 259. (in Chinese with English abstract
    [30] ZHOU J, MA S P, 2024. SPSSAU scientific research data analysis method and application[M]. Beijing: Publishing House of Electronics Industry. (in Chinese)
    [31] ZHU G H, JI H Q, MI H G, et al., 2024. Discovery of a large gas field of deep coalbed methane in the Shenfu block and its implications[J]. Coal Geology & Exploration, 52(8): 12-21. (in Chinese with English abstract
    [32] 杜佳,朱光辉,李勇,等,2022. 鄂尔多斯盆缘致密砂岩气藏勘探开发挑战与技术对策:以临兴—神府气田为例[J]. 天然气工业,42(1):114-124. doi: 10.3787/j.issn.1000-0976.2022.01.011
    [33] 范立勇,周国晓,杨兆彪,等,2025. 鄂尔多斯盆地深部煤层气差异富集的地质控制[J]. 煤炭科学技术,53(1):203-215. doi: 10.12438/cst.2024-1144
    [34] 高波,马玉贞,陶明信,等,2003. 煤层气富集高产的主控因素[J]. 沉积学报,21(2):345-349. doi: 10.3969/j.issn.1000-0550.2003.02.025
    [35] 郭广山,徐凤银,刘丽芳,等,2024. 鄂尔多斯盆地府谷地区深部煤层气富集成藏规律及有利区评价[J]. 煤田地质与勘探,52(2):81-91.
    [36] 郭晓娇,王雷,姚仙洲,等,2025. 深部煤岩地质特征及煤层气富集主控地质因素:以鄂尔多斯盆地东部M区为例[J]. 石油实验地质,47(1):17-26. doi: 10.11781/sysydz2025010017
    [37] 郭绪杰,支东明,毛新军,等,2021. 准噶尔盆地煤岩气的勘探发现及意义[J]. 中国石油勘探,26(6):38-49. doi: 10.3969/j.issn.1672-7703.2021.06.003
    [38] 黄中伟,李国富,杨睿月,等,2022. 我国煤层气开发技术现状与发展趋势[J]. 煤炭学报,47(9):3212-3238.
    [39] 贾慧敏,胡秋嘉,张聪,等,2025. 宁武盆地南部深部煤层气储层特征及开发实践[J]. 中国矿业大学学报,54(1):149-160,185.
    [40] 李俊良,左倩媚,解习农,等,2011. 琼东南盆地深水区新近系沉积特征与有利储盖组合[J]. 海洋地质与第四纪地质,31(6):109-116.
    [41] 李曙光,王成旺,王红娜,等,2022. 大宁–吉县区块深层煤层气成藏特征及有利区评价[J]. 煤田地质与勘探,50(9):59-67.
    [42] 李中博,刘子强,2021. 乌鲁木齐河东矿区煤层气含气性及物性特征分析[J]. 中国煤层气,18(1):21-24. doi: 10.3969/j.issn.1672-3074.2021.01.005
    [43] 刘新昕,2019. 鄂尔多斯盆地东部石炭系本溪组沉积环境研究[D]. 成都:成都理工大学.
    [44] 鲁静,邵龙义,孙斌,等,2012. 鄂尔多斯盆地东缘石炭-二叠纪煤系层序-古地理与聚煤作用[J]. 煤炭学报,37(5):747-754.
    [45] 秦勇,申建,李小刚,2022. 中国煤层气资源控制程度及可靠性分析[J]. 天然气工业,42(6):19-32.
    [46] 孙立春,刘佳,田永净,等,2025. 神府区块深部煤层气开发早期实践认识与攻关方向[J]. 中国海上油气,37(1):116-128.
    [47] 谭跃进,2012. 定量分析方法[M]. 3版. 北京:中国人民大学出版社.
    [48] 陶传奇,2019. 鄂尔多斯盆地东缘临兴地区深部煤层气富集成藏规律研究[D]. 北京:中国矿业大学(北京).
    [49] 王成旺,刘新伟,李曙光,等,2024. 大宁—吉县区块深部煤层气富集主控因素分析及地质工程甜点区评价[J]. 西安石油大学学报(自然科学版),39(4):1-9.
    [50] 王玫珠,王勃,孙粉锦,等,2017. 沁水盆地煤层气富集高产区定量评价[J]. 天然气地球科学,28(7):1108-1114.
    [51] 魏千盛,阳生国,李桢禄,等,2021. 基于AHP和模糊数学方法的气井产能影响因素评价[J]. 当代化工,50(7):1640-1643,1653.
    [52] 徐长贵,季洪泉,王存武,等,2024. 鄂尔多斯盆地东缘临兴-神府区块深部煤层气富集规律与勘探对策[J]. 煤田地质与勘探,52(8):1-11. doi: 10.12363/issn.1001-1986.24.01.0026
    [53] 徐凤银,王成旺,熊先钺,等,2022. 深部(层)煤层气成藏模式与关键技术对策:以鄂尔多斯盆地东缘为例[J]. 中国海上油气,34(4):30-42. doi: 10.11935/j.issn.1673-1506.2022.04.003
    [54] 徐凤银,侯伟,熊先钺,等,2023. 中国煤层气产业现状与发展战略[J]. 石油勘探与开发,50(4):669-682.
    [55] 杨晓利,高娟,何福文,等,2025. 鄂尔多斯盆地东缘佳县地区太原组沉积演化及成藏条件[J]. 天然气地球科学,36(1):86-96.
    [56] 杨秀春,徐凤银,王虹雅,等,2022. 鄂尔多斯盆地东缘煤层气勘探开发历程与启示[J]. 煤田地质与勘探,50(3):30-41. doi: 10.12363/issn.1001-1986.21.12.0823
    [57] 张莉莉,蔡文渊,张兆陵,等,2012. 煤层顶底板层封盖性评价技术[J]. 中国煤层气,9(4):21-24.
    [58] 张良,2019. 临兴地区太原组沉积相及砂体展布规律研究[D]. 青岛:中国石油大学(华东).
    [59] 赵喆,徐旺林,赵振宇,等,2024. 鄂尔多斯盆地石炭系本溪组煤岩气地质特征与勘探突破[J]. 石油勘探与开发,51(2):234-247,259.
    [60] 周俊,马世澎,2024. SPSSAU科研数据分析方法与应用[M]. 北京:电子工业出版社.
    [61] 朱光辉,季洪泉,米洪刚,等,2024. 神府深部煤层气大气田的发现与启示[J]. 煤田地质与勘探,52(8):12-21.
  • 加载中
图(13) / 表(4)
计量
  • 文章访问数:  666
  • HTML全文浏览量:  237
  • PDF下载量:  47
  • 被引次数: 0
出版历程
  • 收稿日期:  2024-11-07
  • 修回日期:  2025-02-13
  • 录用日期:  2025-02-14
  • 预出版日期:  2025-02-17
  • 刊出日期:  2025-04-28

目录

    /

    返回文章
    返回