留言板

尊敬的读者、作者、审稿人, 关于本刊的投稿、审稿、编辑和出版的任何问题, 您可以本页添加留言。我们将尽快给您答复。谢谢您的支持!

姓名
邮箱
手机号码
标题
留言内容
验证码

渤海海峡跨海通道工程南段地应力特征与工程稳定性分析

乔二伟 马秀敏 郭华林 孙尧 姜景捷

乔二伟,马秀敏,郭华林,等,2025. 渤海海峡跨海通道工程南段地应力特征与工程稳定性分析[J]. 地质力学学报,31(2):197−210 doi: 10.12090/j.issn.1006-6616.2023169
引用本文: 乔二伟,马秀敏,郭华林,等,2025. 渤海海峡跨海通道工程南段地应力特征与工程稳定性分析[J]. 地质力学学报,31(2):197−210 doi: 10.12090/j.issn.1006-6616.2023169
QIAO E W,MA X M,GUO H L,et al.,2025. Characteristics of in-situ stresses and engineering stability analysis on the south section of the Bohai Strait Cross-Sea Corridor project[J]. Journal of Geomechanics,31(2):197−210 doi: 10.12090/j.issn.1006-6616.2023169
Citation: QIAO E W,MA X M,GUO H L,et al.,2025. Characteristics of in-situ stresses and engineering stability analysis on the south section of the Bohai Strait Cross-Sea Corridor project[J]. Journal of Geomechanics,31(2):197−210 doi: 10.12090/j.issn.1006-6616.2023169

渤海海峡跨海通道工程南段地应力特征与工程稳定性分析

doi: 10.12090/j.issn.1006-6616.2023169
基金项目: 中国地质调查局地质调查项目(DD20230249,DD20230014,DD20160149);国家自然基金基金项目(42272222);中国地质科学院地质力学研究所基本科研业务费项目(DZLXJK202106,DZLXS202211)
详细信息
    作者简介:

    乔二伟 (1970—),男,博士,副研究员,从事地应力与地壳稳定性、岩石物理学等方面的研究。Email:qewzq@163.com

    通讯作者:

    马秀敏(1978—),男,硕士,正高级工程师,主要从事地应力测量与监测、断裂稳定性研究工作。Email:maxiumin@mail.cgs.gov.cn

  • 中图分类号: P315.72+7;TV554

Characteristics of in-situ stresses and engineering stability analysis on the south section of the Bohai Strait Cross-Sea Corridor project

Funds: This research is financially supported by the Geological Survey Project of the Chinese Geological Survey (Grant Nos. DD20230249, DD20230014 and DD20160149), the National Natural Science Foundation of China (Grant No. 42272222) and the Basic Research Funds of the Chinese Academy of Geological Sciences (Grant Nos. DZLXJK202106 and DZLXS202211).
  • 摘要: 渤海海峡跨海通道工程是连接山东半岛与辽东半岛重要的海上交通主线工程,沿线地应力状态是工程设计和施工决策的重要参考依据。为了准确获得工程南段地区现今地应力特征及构造应力场分布特征,在烟台市蓬莱区西南北沟镇实施了300 m以浅的水压致裂法地应力测量。结果表明:测区主导应力为水平构造应力,与东北—华北应力区其他地区相比,应力值处于中等;随测量深度增加,最大水平主应力(SH)、最小水平主应力(Sh)和垂向主应力(Sv)均呈线性增大趋势;在测量深度范围内地壳浅表层应力结构以逆断型为主,即SH>Sh>Sv;实测SH平均方位角为N75.3°E,与华北应力区的应力场方向一致, 也与其震源机制解和GPS测量揭示的区域构造应力场方向基本一致。应用库仑摩擦滑动准则和此次测量数据,初步评估了渤海海峡跨海通道工程南段地区现今地应力积累水平及其对工程稳定性的影响,认为区域内应力积累总体水平相对较低,工程区域地壳相对稳定。依据岩爆危险程度综合判别准则$\sigma_{{\text{θ}}_{\max}} $ / Rc讨论了通道区域地下隧道工程围岩岩爆的可能性,认为该工程地下隧道发生岩爆可能性很低,隧道围岩总体稳定。研究结果为渤海海峡跨海通道工程的设计、施工等方案的优选提供了科学依据,同时也可为区域活动断裂、地震地质、区域动力学等研究提供基础数据。

     

  • 图  1  渤海海峡跨海通道线路示意图及区域构造地质简图

    F1—营口−潍坊断裂带;F2—黄县断裂;F3—招远—平度断裂带;F4—北沟−玲珑断裂;F5—蓬莱−威海断裂带a—渤海海峡跨海通道线路示意图(据宋克志和王梦恕,2006修改);b—区域构造地质简图(据乔二伟等,2019修改)

    Figure  1.  Schematic diagram of the Bohai Strait Cross-Sea Corridor route and the structural geology of the Bohai Strait and surrounding areas

    (a) Schematic diagram of the Bohai Strait Cross-Sea Corridor route (modified after Song and Wang, 2006); (b) Structural geology of the Bohai Strait and surrounding areas (modified after Qiao et al., 2019) F1—Yingkou-Weifang Fault Belt; F2—Huangxian Fault; F3—Zhaoyuan-Pingdu Fault Belt; F4—Beigou-Linglong Fault; F5—Penglai-Weihai Fault Belt

    图  2  BGZ测点压裂段岩芯

    Figure  2.  Cores from the locations where the hydraulic fracturing stresses were measured in the BGZ borehole

    (a) The core of the 30.00 m deep survey section; (b) The core of the 77.00 m deep survey section; (c) The core of the 91.30 m deep survey section; (d) The core of the 160.50 m deep survey section; (e) The core of the 175.50 m deep survey section; (f) The core of the 194.30 m deep survey section; (g) The core of the 213.00 m deep survey section; (h) The core of the 213.60 m deep survey section

    图  3  BGZ测点水压致裂地应力测量曲线

    Figure  3.  Curves of in-situ hydraulic fracturing stress measurements in the BGZ borehole

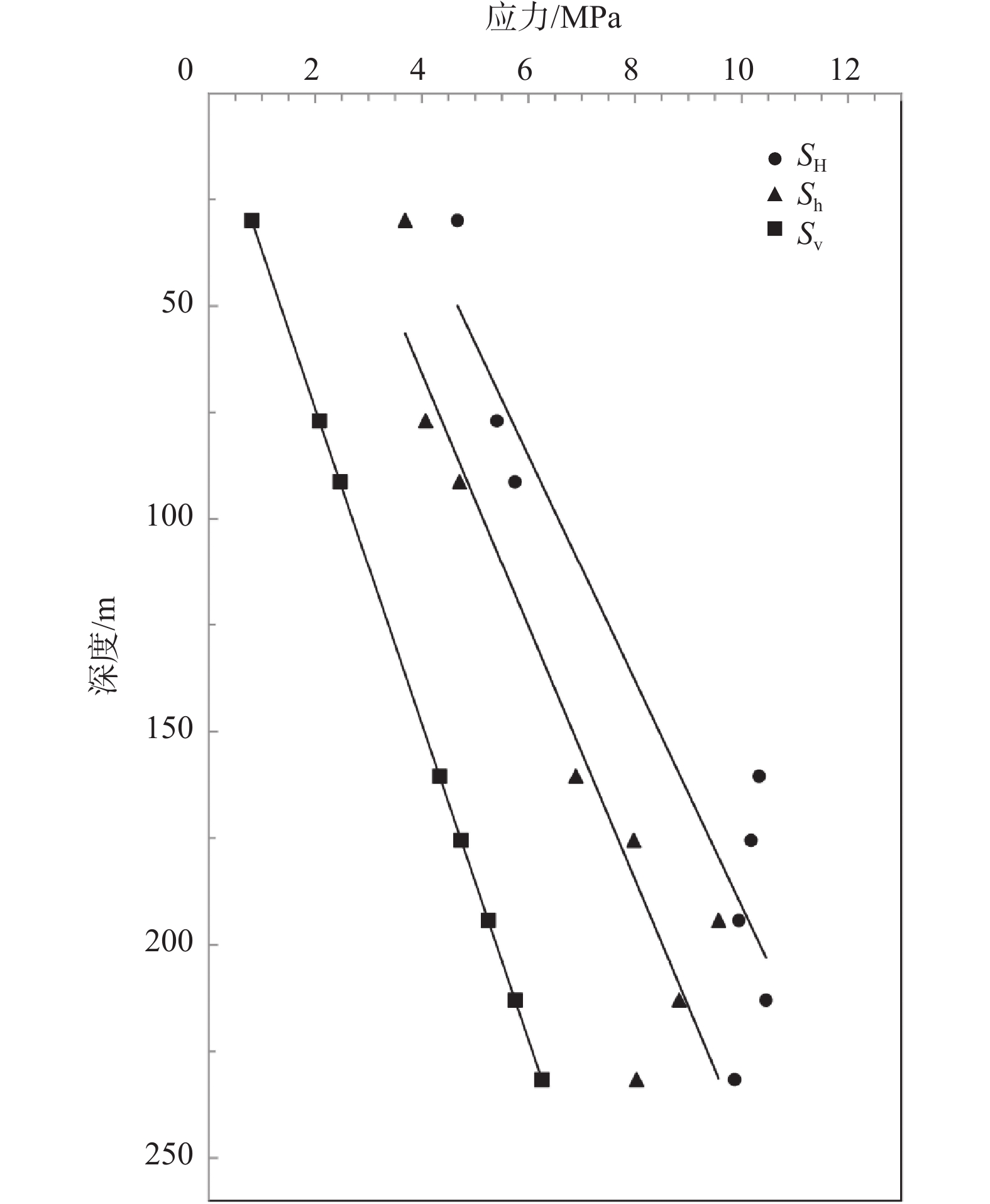
    图  4  BGZ测点SHShSv随深度的变化曲线

    Figure  4.  Variations of stresses SH, Sh, and Sv with depth in the BGZ borehole

    图  5  BGZ测点水压致裂印模定向结果

    a—77.0 m深水压致裂印模定向结果;b—231.6 m深水压致裂印模定向结果

    Figure  5.  Results of impression packer tests in the BGZ borehole

    (a) Results of the impression packer test at a depth of 77.0 m; (b) Result of the impression packer test at a depth of 231.6 m

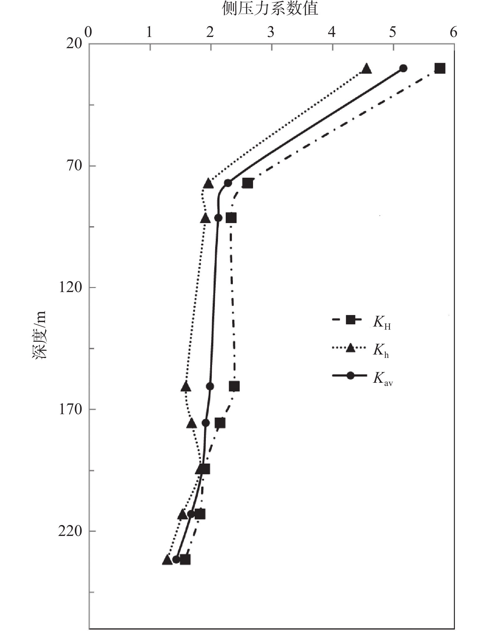
    图  6  侧压力系数KHKhKav 随深度的变化曲线

    Figure  6.  Variations of the lateral pressure coefficients KH, Kh, and Kav with depth at the BGZ borehole

    图  7  不同地区SH随深度变化情况

    文中SH=0. 033D+3.4834;北京地区SH=0.0433D + 0.016(秦向辉等,2014);渤海海峡地区SH=0.0684D +1.120(郑红霞等,2015);郯庐断裂断山东段SH=0.0348D + 3.7231(丰成君等,2017);山东地区SH=0.0242D+9.4269(李鹏等,2017);长白山天池火山地区SH=0.0315D + 0.81(乔二伟等,2023);山东蓬莱近海岸地区SH=0. 038D +4. 656(李兵等,2019

    Figure  7.  Depth dependence of SH in different regions

    This study SH = 0. 033D + 3.4834; Beijing area SH=0.0433D + 0.016 (Qin et al., 2014); Bohai Strait area SH = 0.0684D + 1.120 (Zheng et al., 2015); Shandong segment of the Tan-Lu fracture belt SH = 0.0348D + 3.7231 (Feng et al., 2017); Shandong area SH = 0.0242D + 9.4269 (Li et al., 2017); Tianchi volcano area in Changbaishan SH = 0.0315D + 0.81 (Qiao et al., 2023); Penglai coast area, Shandong Province SH = 0. 038D + 4.656 (Li et al., 2019).

    图  8  BGZ测点地应力数据的库伦破裂准则计算结果

    Figure  8.  Results of Coulomb failure criterion calculation for data measured at the BGZ borehole

    表  1  BGZ测点水压致裂地应力测量结果

    Table  1.   Results of the hydraulic fracturing stress measurements in the BGZ borehole

    测段
    序号
    测段中心
    深度/m
    压裂参数/MPa 主应力/MPa SH
    方向
    Pb Pr Ps T P0 SH Sh Sv
    1 30.00 10.00 6.10 3.69 4.20 0.30 4.67 3.69 0.81
    2 77.00 10.52 6.03 4.07 5.26 0.77 5.41 4.07 2.08 N82.2°E
    3 91.30 10.52 7.47 4.71 3.96 0.91 5.75 4.71 2.47
    4 160.50 11.23 8.73 6.89 4.11 1.61 10.33 6.89 4.33
    5 175.50 17.20 12.00 7.98 6.96 1.76 10.18 7.98 4.74
    6 194.30 18.12 16.82 9.57 3.24 1.94 9.95 9.57 5.25
    7 213.00 16.20 13.90 8.83 4.43 2.13 10.46 8.83 5.75
    8 231.60 13.50 11.90 8.03 3.92 2.32 9.87 8.03 6.25 N68.5°E
    注:Pb为岩石原地破裂压力;Pr为破裂面重张压力;Ps为破裂面瞬时关闭压力; T为岩石抗拉强度;P0为孔隙压力;SH为最大水平主应力;Sh为最小水平主应力;Sv为根据上覆岩石埋深计算的垂向主应力(岩石平均重力密度取27/kN /m3
    下载: 导出CSV

    表  2  围岩岩爆分析结果

    Table  2.   Results of rock burst analysis of surrounding rock

    隧道区段 SH 方位 隧道轴向 SH与隧道轴向法线 夹角(°) σn/MPa $\sigma_{{\text{θ}}_{\max}} $/MPa $\sigma_{{\text{θ}}_{\max}} $/Rc 岩爆危险程度
    跨海工程南段 N75°E N40°W 25 6.76 17.55 0.11 无岩爆
    跨海工程北段 N51°E N30°E 69 11.36 27.72 0.17 无岩爆
    下载: 导出CSV
  • [1] AMADEI B, STEPHANSSON O, 1997. Rock stress and its measurement[M]. London: Chapman & Hall.
    [2] ANDERSON E M, 1905. The dynamics of faulting[J]. Transactions of the Edinburgh Geological Society, 8(3): 387-402. doi: 10.1144/transed.8.3.387
    [3] ANDERSON E M, 1951. The dynamics of faulting and dyke formation with applications to Britain[M]. 2nd ed. Edinburgh: Oliver and Boyd.
    [4] BAI S W, LI G Y, 1982. Research on stress field around dam area of Ertan hydropower station[J]. Chinese Journal of Rock Mechanics and Engineering, 1(1): 45-56. (in Chinese with English abstract)
    [5] BYERLEE J, 1978. Friction of rocks[J]. Pure and Applied Geophysics, 116(4-5): 615-626. doi: 10.1007/BF00876528
    [6] CAI K M, ZHANG G D, 1983. The neotectonic movement in the Bohai strait[J]. Marine Sciences, 7(5): 18-20. (in Chinese with English abstract)
    [7] CHAO H T, LI J L, CUI Z W, 1995. Tectonic conditions of strong earthquakes with M≥6 in Shandong province and its adjacent seas[J]. Journal of Seismological Research, 18(2): 188-196. (in Chinese with English abstract)
    [8] CHAO H T, YU S E, LI J L, et al., 2001. Research on active faults in the Shandong peninsula[J]. Seismological Research of Northeast China1, 17(4): 1-8. (in Chinese with English abstract)
    [9] CHEN D S, JI H G, YUAN Y Z, et al., 2023. Influence of rock inhomogeneity degree on the crustal stress results measured by hydraulic fracturing method[J]. Journal of Geomechanics, 29(3): 365-374, doi: 10.12090/j.issn.1006-6616.20232906
    [10] CHEN Q C, FENG C J, MENG W, et al., 2012. Analysis of in situ stress measurements at the northeastern section of the Longmenshan fault zone after the 5.12 Wenchuan earthquake[J]. Chinese Journal of Geophysics, 55(12): 3923-3932. (in Chinese with English abstract)
    [11] CHEN Q X, WANG W X, SUN Y, et al. , 1998. Pock mechanics and analysis of tectonic stress field[M]. Beijing: Geological Publishing House. (in Chinese)
    [12] China Earthquake Administration, 2018. Specification of hydraulic fracturing and overcoring method for in-situ stress measurement: DB/T 14-2018[S]. Beijing: Standards Press of China. (in Chinese)
    [13] DENG J, XU S L, FANG Y, et al. , 1996. The tectonic systems and gold metallogenic dynamics in the Northestern Jiao dong, China[M]. Beijing: Geological Publishing House: 16-17. (in Chinese)
    [14] DENG Q D, CHENG S P, MIN W, et al., 1999. Discussion on cenozoic tectonics and dynamics of Ordos block[J]. Journal of Geomechanics, 5(3): 13-21. (in Chinese with English abstract)
    [15] DENG Q D, ZHANG P Z, RAN Y K, et al., 2003. Basic characteristics of active tectonics of China[J]. Science in China Series D: Earth Sciences, 46(4): 356-372. doi: 10.1360/03yd9032
    [16] DING J M, LIANG G P, GUO Q L, 1986. Stress measurements in deep boreholes in the Bohai coastal area of Shandong province: determination of the orientation of the principal stress[J]. Journal of Seismology(1): 1-9. (in Chinese with English abstract)
    [17] DONG X G, ZHOU C Y, HUA A J, 1999. The analysis on focal mechanism solutions of recent minor earthquakes in Bohai Straits and its vicinity[J]. Inland Earthquake, 13(1): 7-16. (in Chinese with English abstract)
    [18] Editorial Committee of the Atlas of Chinese Lithospheric Dynamics, 1991. An introduction to lithospheric dynamics of China[M]. Beijing: Seismological Press: 271-539. (in Chinese)
    [19] EVANS K, ENGELDER T, 1989. Some problems in estimating horizontal stress magnitudes in "thrust" regimes[J]. International Journal of Rock Mechanics and Mining Sciences & Geomechanics Abstracts, 26(6): 647-660.
    [20] FENG C J, ZHANG P, MENG J, et al., 2017. In situ stress measurement at deep boreholes along the Tanlu fault zone and its seismological and geological significance[J]. Progress in Geophysics, 32(3): 946-967. (in Chinese with English abstract)
    [21] FENG X T, XIAO Y X, FENG G L, et al., 2019. Study on the development process of rockbursts[J]. Chinese Journal of Rock Mechanics and Engineering, 38(4): 649-673. (in Chinese with English abstract)
    [22] GAO Z W, XU J, SONG C Q, et al. , 2001. The segmental character of Zhangjiakou—Penglai fault[J]. North China Earthquake Sciences, 19(1): 35-42, 54. (in Chinese with English abstract)
    [23] GE F G, WANG Z C, WANG J Q, et al., 2010. Preliminary study of quaternary faults on Changdao island of Shandong province[J]. Journal of Disaster Prevention and Reduction, 26(4): 13-21. (in Chinese with English abstract)
    [24] GUO Q L, WANG C H, MA H S, et al., 2009. In-situ hydro-fracture stress measurement before and after the Wenchuan Ms8.0 earthquake of China[J]. Chinese Journal of Geophysics, 52(5): 1395-1401. ( in Chinese with English abstract)
    [25] GUO Y G, WANG H X, DENG Z H, et al., 2005. The fractal analysis on seism in the coastal and offshore areas of Shandong province[J]. Progress in Geophysics, 20(1): 155-159. (in Chinese with English abstract)
    [26] HAIMSON B C, 1987. Measurement of in situ stress[J]. Methods in Experimental Physics, 24: 377-408.
    [27] HAIMSON B C, CORNET F H, 2003. ISRM suggested methods for rock stress estimation-part 3: hydraulic fracturing (HF) and/or hydraulic testing of pre-existing fractures (HTPF)[J]. International Journal of Rock Mechanics and Mining Sciences, 40(7-8): 1011-1020. doi: 10.1016/j.ijrmms.2003.08.002
    [28] HAIMSON B, FAIRHURST C, 1969. In-situ stress determination at great depth by means of hydraulic fracturing[C]//Proceedings of the 11th U. S. symposium on rock mechanics. Berkeley: American Rock Mechanics Association: 559-584.
    [29] HOEK E, BROWN E T, 1980. Underground excavations in rock[M]. London: CRC Press.
    [30] HOU F L, LIU X M, WANG M Q, 1992. Re analysis of the causes of rock bursts and discussion on the intensity classification[C]//Proceedings of the 3rd national conference on rock dynamics. Wuhan: Wuhan Technical University of Surveying and Mapping Press: 448-457. (in Chinese)
    [31] HUANG P H, FU R S, 1983. Mantle convection pattern under lithosphere of China[J]. Chinese Journal of Geophysics, 26(1): 39-47. (in Chinese with English abstract)
    [32] HUANG Y H, YOU H C, SONG Y S, et al., 2007. Recent activities of faults in Jiaodong peninsula, Shandong Province, China[J]. Technology for Earthquake Disaster Prevention, 2(1): 39-49. (in Chinese with English abstract)
    [33] JAEGER J C, COOK N G W, ZIMMERMAN R W, 2007. Fundamentals of rock mechanics[M]. 4th ed. Malden: Blackwell Publishing Ltd.
    [34] JING C R, XIAO P, 1989. On Li Siguang’s thought of seismic geology and earthquake prediction[J]. Journal of Central China Normal University (Natural Sciences), 23(3): 403-406. (in Chinese with English abstract)
    [35] JING F, SHENG Q, ZHANG Y H, et al., 2007. Research on distribution rule of shallow crustal geostress in China mainland[J]. Chinese Journal of Rock Mechanics and Engineering, 26(10): 2056-2062. (in Chinese with English abstract)
    [36] KLEE G, RUMMEL F, WILLIAMS A, 1999. Hydraulic fracturing stress measurements in Hong Kong[J]. International Journal of Rock Mechanics and Mining Sciences, 36(6): 731-741. doi: 10.1016/S0148-9062(99)00036-4
    [37] KONG F F, JIA Q, LI Z X, et al., 2019. Sedimentary facies characteristis and evolution of coal-bearing rock series of the Paleogene Lijiaya formation in Huangxian Basin, Shandong Province[J]. Journal of Palaeogeography (Chinese Edition), 21(3): 469-478. (in Chinese with English abstract)
    [38] LEE J S, 1973. Seismology[M]. Beijing: Science Press. (in Chinese)
    [39] LI B, DING L F, WANG J X, et al., 2019. The state of the in-situ stress and fault stability evaluation of the Penglai coast[J]. Journal of Geomechanics, 25(4): 459-466. (in Chinese with English abstract)
    [40] LI P, GUO Q F, LIU H T, et al., 2017. Characteristics of current in-situ stress field and stress accumulation in Shandong region[J]. Chinese Journal of Rock Mechanics and Engineering, 36(9): 2220-2231. (in Chinese with English abstract)
    [41] LI Z X, WEI J C, LAN H X, et al., 1999. The active stages of the boundary faulting and the deposition filling pattern in Huangxian faulted basin[J]. Coal Geology & Exploration, 27(6): 4-8. (in Chinese with English abstract)
    [42] LIN W W, ZHAO Y M, XU J, 2000. Active properties and age of Zhaoyuan-Pingdu fracture zone[J]. Regional Geology of China, 19(1): 43-50. (in Chinese with English abstract)
    [43] LIU F B, QU J H, LI G Y, et al., 2018. Spatial-temporal characteristics of the focal mechanism solutions consistency parameter of Changdao earthquake swarm[J]. China Earthquake Engineering Journal, 40(5): 1034-1041. (in Chinese with English abstract)
    [44] LIU Y K, LUO C W, YIN J M, 2003. Geostress measurement and rock burst analysis in West China[J]. Rock and Soil Mechanics, 24(S1): 94-95. (in Chinese with English abstract)
    [45] LJUNGGREN C, CHANG Y T, JANSON T, et al., 2003. An overview of rock stress measurement methods[J]. International Journal of Rock Mechanics and Mining Sciences, 40(7-8): 975-989. doi: 10.1016/j.ijrmms.2003.07.003
    [46] LYU Y L, 2017. Lijiaya formation coal and oil shale paragenetic ore-forming features and assembled ore-forming model in Huangxian Basin[J]. Coal Geology of China, 29(5): 1-6, 26. (in Chinese with English abstract)
    [47] MA X Y, 1987. Summary of the lithospheric dynamics in China[J]. Acta Geologica Sinica, 61(2): 113-125. (in Chinese with English abstract)
    [48] MCGARR A, ZOBACK M D, HANKS T C, 1982. Implications of an elastic analysis of in situ stress measurements near the San Andreas fault[J]. Journal of Geophysical Research: Solid Earth, 87(B9): 7797-7806. doi: 10.1029/JB087iB09p07797
    [49] QI J X, JI H G, PENG H, et al., 2013. Earthquake risk analysis in the engineering area of Bohai strait cross-sea channel[J]. Journal of Geomechanics, 19(1): 93-103. (in Chinese with English abstract)
    [50] QIAO E W, PENG H, MA X M, 2019. The surrounding rock condition exploration and construction method analysis of cross-Bohai strait passage[J]. Journal of Geomechanics, 25(4): 563-573. (in Chinese with English abstract)
    [51] QIAO E W, MA X M, PENG H, et al., 2023. Hydraulic fracturing tests for stress measurements and analysis of stability for frictional sliding of faults at the Southwest foot area of Tianchi volcano in Changbaishan Mountains[J]. Chinese Journal of Geophysics, 66(4): 1545-1557, doi: 10.6038/cjg2022Q0330
    [52] QIN X H, ZHANG P, FENG C J, et al., 2014. In-situ stress measurements and slip stability of major faults in Beijing region, China[J]. Chinese Journal of Geophysics, 57(7): 2165-2180. (in Chinese with English abstract)
    [53] QIN X H, CHEN Q C, ZHAO X G, et al., 2020. Experimental study on the crucial effect of test system compliance on hydraulic fracturing in-situ stress measurements[J]. Chinese Journal of Rock Mechanics and Engineering, 39(6): 1189-1202. (in Chinese with English abstract)
    [54] SONG K Z, WANG M S. 2006. A feasibility study on building Bohai strait tunnel. Ludong University Journal( Natural Science Edition) , 22(3): 253-260. (in Chinese with English abstract)
    [55] STOCK J M, HEALY J H, HICKMAN S H, et al., 1985. Hydraulic fracturing stress measurements at Yucca Mountain, Nevada, and relationship to the regional stress field[J]. Journal of Geophysical Research: Solid Earth, 90(B10): 8691-8706. doi: 10.1029/JB090iB10p08691
    [56] SUN A Q, NIU S Y, ZHANG J Z, et al., 2013. Analysis of ore-controlling structures in the Linglong and Jiaojia style gold deposits[J]. Acta Geologica Sinica, 87(S1): 144-147. (in Chinese)
    [57] SUN Y, TAN C X, YANG G S, et al., 1997. Quantitative assessment and zonation of regional crustal stability in China[J]. Journal of Geomechanics, 3(3): 42-52. (in Chinese with English abstract)
    [58] SUO Y H, LI S Z, LIU X, et al., 2013. Structural characteristics of NWW-trending active fault zones in East China: a case study of the Zhangjiakou-Penglai Fault Zone[J]. Acta Petrologica Sinica, 29(3): 953-966. (in Chinese with English abstract)
    [59] TAN Y A, 1989. The mechanism research of rockburst[J]. Hydrogeology & Engineering Geology, 16(1): 34-38, 54. (in Chinese with English abstract)
    [60] WANG C H, 2014. Brief review and outlook of main estimate and measurement methods for in-situ stresses in rock mass[J]. Geological Review, 60(5): 971-991, 996, 992-995. (in Chinese with English abstract)
    [61] WANG H L, HU C, WANG J Q, et al., 2015. The seismic risk assessment on active faults in Yantai city and its adjacent area[J]. Technology for Earthquake Disaster Prevention, 10(2): 211-226. (in Chinese with English abstract)
    [62] WANG M S, SONG K Z, 2013. Urgency and current construction conditions and preliminary scheme of Bohai Strait cross-sea channel[J]. Journal of Beijing Jiaotong University, 37(1): 1-10. (in Chinese with English abstract)
    [63] WANG Y H, LI W L, LI Q G, et al., 1998. Method of fuzzy comprehensive evaluations for rockburst prediction[J]. Chinese Journal of Rock Mechanics and Engineering, 17(5): 493-501. (in Chinese with English abstract)
    [64] WANG Y P, 1979. Intraplate earthquake and Meso-Cenozoic stress field in China[J]. Seismology and Geology, 1(3): 1-11. (in Chinese with English abstract)
    [65] WANG Z C, DENG Q D, CHAO H T, et al., 2006. Shallow-depth sonic reflection profiling studies on the active Penglai-Weihai fault zone offshore of the northern Shandong peninsula[J]. Chinese Journal of Geophysics, 49(4): 1092-1101. (in Chinese with English abstract)
    [66] WU M L, LIAO C T, YUAN J Y, 2002. A study of stress state and engineering stability of underground houses at the Huanggou accumulation power station[J]. Acta Geoscientia Sinica, 23(3): 263-268. (in Chinese with English abstract)
    [67] WU Z Q, MAO X C, CHEN J, et al., 2014. Analysis of fault/fracture metallogenicl favourability degree of the middle part of Zhaoping fault belt[J]. Contributions to Geology and Mineral Resources Research, 29(1): 44-50. (in Chinese with English abstract)
    [68] XIE F R, CUI X F, ZHAO J T, et al., 2004. Regional division of the recent tectonic stress field in China and adjacent areas[J]. Chinese Journal of Geophysics, 47(4): 654-662. (in Chinese with English abstract)
    [69] XU Z H, YAN M, ZHAO Z H, 1983. Evaluation of the direction of tectonic stress in North China from recorded data of a large number of small earthquakes[J]. Acta Seismologica Sinica, 5(3): 268-279. ( in Chinese with English abstract)
    [70] XU Z M, HUANG R Q, FAN Z G, et al., 2004. Progress in research on rock burst hazard of long tunnel with large section[J]. Journal of Natural Disasters, 13(2): 16-24. (in Chinese with English abstract)
    [71] YANG J Z, 2008. Rock mechanics[M]. Beijing: Metallurgical Industry Press: 59-71. (in Chinese)
    [72] YANG S X, YAO R, CUI X F, et al., 2012. Analysis of the characteristics of measured stress in Chinese mainland and its active blocks and North-South seismic belt[J]. Chinese Journal of Geophysics, 55(12): 4207-4217. (in Chinese with English abstract)
    [73] YIN Y H, YE S Y, ZHAO T H, et al., 2017. Marine geo-environment analysis of the proposed bridge-tunnel path system across the Bohai strait and suggestions on construction schemes[J]. Marine Geology & Quaternary Geology, 37(3): 1-16. (in Chinese with English abstract)
    [74] ZHANG J, HUANG L Y, JIANG Y H, et al., 2016. The analysis about characteristics of in-situ stress field in Xinjiang Tianshan area[J]. Journal of Engineering Geology, 24(S1): 1370-1377. (in Chinese with English abstract)
    [75] ZHANG J H, LI Y X, GUO L Q, et al., 2004. Study on present-day deformation and strain field in north china by use of GPS data[J]. Journal of Geodesy and Geodynamics, 24(3): 40-46. (in Chinese with English abstract)
    [76] ZHANG P Z, WANG Q, MA Z J, 2002. GPS velocity field and active crustal blocks of contemporary tectonic deformation in continental china[J]. Earth Science Frontiers, 9(2): 430-441. (in Chinese with English abstract)
    [77] ZHANG X G, WANG S J, ZHANG Z Y, et al. , 2000. Chinese engineering geology[M]. Beijing: Science Press. (in Chinese)
    [78] ZHANG Y X, 2008. Rock mechanics[M]. 2nd ed. Beijing: China Architecture & Building Press: 94-99, 106-116. (in Chinese) ZHANG Z H, LIAN H N, ZHANG Y W, 2013. On survey of active faulting at northern areas of Yantai[J]. Shanxi Architecture, 39(1): 36-38. (in Chinese with English abstract)
    [79] ZHENG H X, ZHANG X H, ZHAO T H, et al., 2015. In-situ stress field and geological analysis of Bohai Trait[J]. Periodical of Ocean University of China, 45(11): 81-91. (in Chinese with English abstract)
    [80] ZHOU J, HUANG X W, WANG X C, et al., 1983. Gravity tectonics of the Chinghai-Tibetan Plateau[J]. Chinese Journal of Geology, 18(4): 345-354. (in Chinese with English abstract)
    [81] ZOBACK M D, TOWNEND J, 2001. Implications of hydrostatic pore pressures and high crustal strength for the deformation of intraplate lithosphere[J]. Tectonophysics, 336(1-4): 19-30. doi: 10.1016/S0040-1951(01)00091-9
    [82] ZOBACK M D, TOWNEND J, GROLLIMUND B, 2002. Steady-state failure equilibrium and deformation of intraplate lithosphere[J]. International Geology Review, 44(5): 383-401. doi: 10.2747/0020-6814.44.5.383
    [83] ZOBACK M D, 2007. Reservoir geomechanics[M]. Cambridge: Cambridge University Press: 1-332.
    [84] 白世伟, 李光煜, 1982. 二滩水电站坝区岩体应力场研究[J]. 岩石力学与工程学报, 1(1): 45-56.
    [85] 蔡克明, 张公德, 1983. 渤海海峡的新构造运动[J]. 海洋科学, 7(5): 18-20.
    [86] 陈东升, 纪洪广, 袁永忠, 等, 2023. 岩石非均质程度对水压致裂地应力测试方法影响的分析与讨论[J]. 地质力学学报, 29(3): 365-374, doi: 10.12090/j.issn.1006-6616.20232906.
    [87] 晁洪太, 李家灵, 崔昭文, 1995. 山东及其沿海地区强震(M≥6)发生的地质构造背景[J]. 地震研究, 18(2): 188-196.
    [88] 晁洪太, 于慎谔, 李家灵, 等, 2001. 山东半岛地区活断层研究[J]. 东北地震研究, 17(4): 1-8.
    [89] 陈庆宣, 王维襄, 孙叶, 等, 1998. 岩石力学与构造应力场分析[M]. 北京: 地质出版社.
    [90] 陈群策, 丰成君, 孟文, 等, 2012. 5.12汶川地震后龙门山断裂带东北段现今地应力测量结果分析[J]. 地球物理学报, 55(12): 3923-3932.
    [91] 邓军, 徐守礼, 方云, 等, 1996. 胶东西北部构造体系及金成矿动力学[M]. 北京: 地质出版社: 16-17.
    [92] 邓起东, 程绍平, 闵伟, 等, 1999. 鄂尔多斯块体新生代构造活动和动力学的讨论[J]. 地质力学学报, 5(3): 13-21.
    [93] 邓起东, 张培震, 冉勇康, 等, 2002. 中国活动构造基本特征[J]. 中国科学(D辑), 32(12): 1020-1030.
    [94] 董旭光, 周翠英, 华爱军, 1999. 渤海海峡及邻区现代小震震源机制解分析[J]. 内陆地震, 13(1): 7-16.
    [95] 丰成君, 张鹏, 孟静, 等, 2017. 郯庐断裂带及邻区深孔地应力测量与地震地质意义[J]. 地球物理学进展, 32(3): 946-967.
    [96] 冯夏庭, 肖亚勋, 丰光亮, 等, 2019. 岩爆孕育过程研究[J]. 岩石力学与工程学报, 38(4): 649-673.
    [97] 高战武, 徐杰, 宋长青, 等, 2001. 张家口: 蓬莱断裂带的分段特征[J]. 华北地震科学, 19(1): 35-42, 54.
    [98] 葛孚刚, 王志才, 王纪强, 等, 2010. 山东省长岛第四纪断裂活动初步研究[J]. 防灾减灾学报, 26(4): 13-21.
    [99] 郭啟良, 王成虎, 马洪生, 等, 2009. 汉川Ms8.0级大震前后的水压致裂原地应力测量[J]. 地球物理学报, 52(5): 1395-1401.
    [100] 郭玉贵, 王红霞, 邓志辉, 等, 2005. 山东沿海及近海地震分形分析[J]. 地球物理学进展, 20(1): 155-159.
    [101] 侯发亮, 刘小明, 王敏强, 1992. 岩爆成因再分析及烈度划分探讨[C]//中国岩石力学与工程学会岩石动力学专业委员会. 第三届全国岩石动力学学术会议论文选集. 武汉: 武汉测绘科技大学出版社: 448-457.
    [102] 黄培华, 傅容珊, 1983. 中国岩石层底面地幔对流状态的探讨[J]. 地球物理学报, 26(1): 39-47.
    [103] 黄永华, 尤惠川, 宋毅盛, 等, 2007. 山东胶东半岛地区断裂最新活动性研究[J]. 震灾防御技术, 2(1): 39-49.
    [104] 景才瑞, 肖平, 1989. 论李四光的地震地质与地震预报思想[J]. 华中师范大学学报(自然科学版), 23(3): 403-406.
    [105] 景锋, 盛谦, 张勇慧, 等, 2007. 中国大陆浅层地壳实测地应力分布规律研究[J]. 岩石力学与工程学报, 26(10): 2056-2062.
    [106] 孔凡飞, 贾强, 李增学, 等, 2019. 山东黄县盆地古近系李家崖组含煤岩系沉积相特征及演化[J]. 古地理学报, 21(3): 469-478.
    [107] 李兵, 丁立丰, 王建新, 等, 2019. 山东蓬莱近海岸的地应力状态及断层稳定性评价[J]. 地质力学学报, 25(4): 459-466.
    [108] 李鹏, 郭奇峰, 刘洪涛, 等, 2017. 山东地区现今地应力场特征与应力积累水平分析[J]. 岩石力学与工程学报, 36(9): 2220-2231.
    [109] 李四光, 1973. 地震地质[M]. 北京: 科学出版社.
    [110] 李增学, 魏久传, 兰恒星, 等, 1999. 黄县盆地盆缘断裂活动的阶段性与沉积充填样式[J]. 煤田地质与勘探, 27(6): 4-8.
    [111] 林文蔚, 赵一鸣, 徐珏, 2000. 胶东招远-平度断裂活动性质及活动时代[J]. 中国区域地质, 19(1): 43-50.
    [112] 刘方斌, 曲均浩, 李国一, 等, 2018. 山东长岛震群震源机制解一致性参数时空演化特征[J]. 地震工程学报, 40(5): 1034-1041.
    [113] 刘元坤, 罗超文, 尹健民, 2003. 西部地应力测量与岩爆分析[J]. 岩土力学, 24(S1): 94-95.
    [114] 吕育林, 2017. 黄县盆地李家崖组煤与油页岩共生成矿特征与组合成矿模式研究[J]. 中国煤炭地质, 29(5): 1-6, 26.
    [115] 马杏垣, 1987. 中国岩石圈动力学概要[J]. 地质学报, 61(2): 113-125.
    [116] 祁嘉翔, 纪洪广, 彭华, 等, 2013. 渤海海峡跨海通道工程区地震危险性分析[J]. 地质力学学报, 19(1): 93-103.
    [117] 乔二伟, 彭华, 马秀敏, 2019. 渤海海峡跨海通道围岩条件探查与施工方法分析[J]. 地质力学学报, 25(4): 563-573.
    [118] 乔二伟, 马秀敏, 彭华, 等, 2023. 长白山天池火山西南麓水压致裂法地应力测量及其实测数据在断裂稳定性分析中的应用[J]. 地球物理学报, 66(4): 1545-1557, doi: 10.6038/cjg2022Q0330.
    [119] 秦向辉, 张鹏, 丰成君, 等, 2014. 北京地区地应力测量与主要断裂稳定性分析[J]. 地球物理学报, 57(7): 2165-2180.
    [120] 宋克志, 王梦恕, 2006. 修建渤海海峡跨海隧道可行性初探[J]. 鲁东大学学报( 自然科学版), 22(3): 253-260. 孙爱群, 牛树银, 张建珍, 等, 2013. 胶东玲珑式和焦家式金矿控矿构造分析[J]. 地质学报, 87(S1): 144-147.
    [121] 孙叶, 谭成轩, 杨贵生, 等, 1997. 中国区域地壳稳定性定量化评价与分区[J]. 地质力学学报, 3(3): 42-52.
    [122] 索艳慧, 李三忠, 刘鑫, 等, 2013. 中国东部NWW向活动断裂带构造特征: 以张家口-蓬莱断裂带为例[J]. 岩石学报, 29(3): 953-966.
    [123] 谭以安, 1989. 岩爆形成机理研究[J]. 水文地质工程地质, 16(1): 34-38, 54.
    [124] 王成虎, 2014. 地应力主要测试和估算方法回顾与展望[J]. 地质论评, 60(5): 971-991, 996, 992-995.
    [125] 王华林, 胡超, 王纪强, 等, 2015. 烟台市及其邻近地区活断层地震危险性评价[J]. 震灾防御技术, 10(2): 211-226.
    [126] 王梦恕, 宋克志, 2013. 渤海湾跨海通道建设的紧迫性及现实条件和初步方案[J]. 北京交通大学学报, 37(1): 1-10. doi: 10.3969/j.issn.1673-0291.2013.01.001
    [127] 王元汉, 李卧龙, 李启光, 等, 1998. 岩爆预测的模糊数学综合评判方法[J]. 岩石力学与工程学报, 17(5): 493-501.
    [128] 汪一鹏, 1979. 我国板内地震和中新生代应力场[J]. 地震地质, 1(3): 1-11.
    [129] 王志才, 邓起东, 晁洪太, 等, 2006. 山东半岛北部近海海域北西向蓬莱—威海断裂带的声波探测[J]. 地球物理学报, 49(4): 1092-1101.
    [130] 吴满路, 廖椿庭, 袁嘉音, 2002. 荒沟蓄能电站地下厂房地应力状态与工程稳定性研究[J]. 地球学报, 23(3): 263-268.
    [131] 吴泽权, 毛先成, 陈进, 等, 2014. 招平断裂带中段断裂成矿有利度分析[J]. 地质找矿论丛, 29(1): 44-50.
    [132] 谢富仁, 崔效锋, 赵建涛, 等, 2004. 中国大陆及邻区现代构造应力场分区[J]. 地球物理学报, 47(4): 654-662.
    [133] 徐则民, 黄润秋, 范柱国, 等, 2004. 长大隧道岩爆灾害研究进展[J]. 自然灾害学报, 13(2): 16-24.
    [134] 许忠淮, 阎明, 赵仲和, 1983. 由多个小地震推断的华北地区构造应力场的方向[J]. 地震学报, 5(3): 268-279.
    [135] 杨建中, 2008. 岩石力学[M]. 北京: 冶金工业出版社: 59-71.
    [136] 尹延鸿, 叶思源, 赵铁虎, 等, 2017. 渤海海峡跨海桥隧建设的海洋地质环境分析及修建方案思考[J]. 海洋地质与第四纪地质, 37(3): 1-16.
    [137] 张杰, 黄禄渊, 江英豪, 等, 2016. 新疆天山地区地应力场特征分析[J]. 工程地质学报, 24(S1): 1370-1377.
    [138] 张静华, 李延兴, 郭良迁, 等, 2004. 用GPS测量结果研究华北现今构造形变场[J]. 大地测量与地球动力学, 24(3): 40-46.
    [139] 张培震, 王琪, 马宗晋, 2002. 中国大陆现今构造运动的GPS速度场与活动地块[J]. 地学前缘, 9(2): 430-441.
    [140] 张咸恭, 王思敬, 张倬元, 等, 2000. 中国工程地质学[M]. 北京: 科学出版社.
    [141] 张永兴, 2008. 岩石力学[M]. 2版. 北京: 中国建筑工业出版社: 94-99, 106-116.
    [142] 张振晗, 连海宁, 张耀文, 2013. 烟台北部地区活动断裂概述[J]. 山西建筑, 39(1): 36-38. doi: 10.3969/j.issn.1009-6825.2013.01.019
    [143] 郑红霞, 张训华, 赵铁虎, 等, 2015. 渤海海峡地应力场研究及地质条件评价[J]. 中国海洋大学学报, 45(11): 81-91.
    [144] 中国地震局, 2018. 原地应力测量 水压致裂法和套芯解除法技术规范: DB/T 14-2018[S]. 北京: 中国标准出版社.
    [145] 《中国岩石圈动力学地图集》编委会, 1991. 中国岩石圈动力学概论[M]. 北京: 地震出版社: 271-539.
    [146] 周玖, 黄修武, 王学昌, 等, 1983. 青藏高原重力构造[J]. 地质科学, 18(4): 345-354.
  • 加载中
图(8) / 表(2)
计量
  • 文章访问数:  1096
  • HTML全文浏览量:  295
  • PDF下载量:  74
  • 被引次数: 0
出版历程
  • 收稿日期:  2023-10-11
  • 修回日期:  2024-12-02
  • 录用日期:  2024-12-02
  • 预出版日期:  2025-01-02
  • 刊出日期:  2025-04-28

目录

    /

    返回文章
    返回