留言板

尊敬的读者、作者、审稿人, 关于本刊的投稿、审稿、编辑和出版的任何问题, 您可以本页添加留言。我们将尽快给您答复。谢谢您的支持!

姓名
邮箱
手机号码
标题
留言内容
验证码

豫西九仗沟金矿床黄铁矿地球化学特征及其找矿意义

司建涛 白德胜 赵志强 梁贞 阳静楠 刘建平 丁涛 Osama Ahmad

司建涛,白德胜,赵志强,等,2025. 豫西九仗沟金矿床黄铁矿地球化学特征及其找矿意义[J]. 地质力学学报,31(1):61−79 doi: 10.12090/j.issn.1006-6616.2023140
引用本文: 司建涛,白德胜,赵志强,等,2025. 豫西九仗沟金矿床黄铁矿地球化学特征及其找矿意义[J]. 地质力学学报,31(1):61−79 doi: 10.12090/j.issn.1006-6616.2023140
SI J T,BAI D S,ZHAO Z Q,et al.,2025. Geochemistry of pyrite and its implications for exploration of the Jiuzhanggou gold deposit in western Henan[J]. Journal of Geomechanics,31(1):61−79 doi: 10.12090/j.issn.1006-6616.2023140
Citation: SI J T,BAI D S,ZHAO Z Q,et al.,2025. Geochemistry of pyrite and its implications for exploration of the Jiuzhanggou gold deposit in western Henan[J]. Journal of Geomechanics,31(1):61−79 doi: 10.12090/j.issn.1006-6616.2023140

豫西九仗沟金矿床黄铁矿地球化学特征及其找矿意义

doi: 10.12090/j.issn.1006-6616.2023140
基金项目: 国家自然科学基金项目(41872091)
详细信息
    作者简介:

    司建涛(1981—),男,正高级工程师,从事固体矿产勘查工作。Email:sijiantao@163.com

    通讯作者:

    白德胜(1968—),男,正高级工程师,从事矿产勘查工作。Email:365574619@qq.com

  • 中图分类号: P612

Geochemistry of pyrite and its implications for exploration of the Jiuzhanggou gold deposit in western Henan

Funds: This research is financially supported by the National Natural Science Foundation of China (Grant No. 41872091).
  • 摘要: 黄铁矿是金矿床中重要的载金矿物,其地球化学特征不仅在矿床成因中具有重要的指示作用,也是重要的找矿信息。豫西九仗沟金矿床作为熊耳山金矿集区典型的构造蚀变岩型金矿床,是探讨黄铁矿对金矿床成因指示及找矿标志的理想矿床。通过开展九仗沟金矿床构造蚀变带调查,采集+260 m至−20 m垂深280 m的构造蚀变岩样品8件,对蚀变岩中黄铁矿进行矿物电子探针及激光剥蚀等离子体质谱分析,探讨不同蚀变带黄铁矿的元素含量特征及变化规律,以期获得黄铁矿对矿床成因及深部找矿的指示意义。研究结果表明,九仗沟金矿床+260 m中段至−20 m中段区间可划分为4个蚀变带,蚀变岩中黄铁矿均为成矿期黄铁矿,黄铁矿Fe、S元素含量显示其主要为硫亏型;微量元素聚类分析显示;Au与Cu、As、Sb、Zn、Ag、Te、Se、Pb为一组,属于中—低温元素组合;Co/Ni比值为1~10,Co-Ni-As图解显示黄铁矿为岩浆热液成因;黄铁矿中Au与Cu、As、Sb、Zn、Ag、Te、Pb呈正相关性,在第1—3蚀变带其含量同步逐渐降低,而在第4蚀变带则出现跳跃上升,第4蚀变带与第1—3蚀变带为不同期次热液成矿活动的产物。根据第1—3蚀变带的垂向延伸情况,推测第4蚀变带延深可达−60 m标高,深部至少还可以勘探一个中段(40 m),具有良好的找矿前景。黄铁矿中Au、Cu、As、Sb、Zn、Ag、Te、Se和Pb等元素含量及Au/As、Au/Ag、Co/Ni比值对垂向蚀变分带具有重要的指示作用,黄铁矿的微量元素标志是金矿床深部找矿靶区的重要信息。

     

  • 图  1  豫西九仗沟金矿床区域地质简图

    a—豫西熊耳山−外方山地区地质矿产简图(Sheng et al.,2022a);b—庙岭−九仗沟金矿带地质简图(刘玉刚等,2022

    Figure  1.  Simplified regional geological maps of the Jiuzhanggou gold deposit in western Henan

    (a) Simplified geological and mineral resource map of the Xiong'ershan-Waifangshan area in western Henan (after Sheng et al., 2022a); (b) Simplified geological map of the Miaoling-Jiuzhanggou gold belt (after Liu et al., 2022)

    图  2  九仗沟金矿床地质图

    a—矿床平面地质图(据朱随洲等,2022);b—00线剖面地质图(剖面位置见图2a;据丁培超等,2020

    Figure  2.  Geological map of the Jiuzhanggou gold deposit

    (a) Geological plan map of the deposit (after Zhu et al., 2022); (b) The section No. 00 of the deposit (after Ding et al., 2020)

    图  3  九仗沟金矿床纵剖面图及蚀变分带

    1—第1蚀变带(+300~+240 m);2—第2蚀变带(+240~+120 m);3—第3蚀变带(+120~+80 m);4—第4蚀变带(+80~−20 m)

    Figure  3.  Longitudinal section of the Jiuzhanggou gold deposit, indicating alteration zones and sampling locations

    1—1st altered zone (+300~+240 m); 2—2nd altered zone (+240~+120 m); 3—3rd altered zone (+120~+80 m); 4—4th altered zone (+80~−20 m)

    图  4  蚀变岩中硫化物结构显微照片

    Py—黄铁矿;Gn—方铅矿;Cpy—黄铜矿a—浸染状细粒黄铁矿;b—脉状黄铁矿;c—碎裂状黄铁矿;d—与方铅矿和黄铜矿共生的黄铁矿

    Figure  4.  Micrographs of textures of sulfide in altered rocks

    (a) Disseminated fine-grained pyrite; (b) Vein texture pyrite; (c) Cataclastic pyrite; (d) Pyrite intergrown with chalcopyrite and galenaPy—pyrite; Gn—galena; Cpy—chalcopyrite

    图  5  九仗沟金矿床各蚀变带黄铁矿δFe-δS图解

    1—第1蚀变带;2—第2蚀变带;3—第3蚀变带;4—第4蚀变带;I—第I象限富Fe、S区;II—第II象限贫Fe富S区;III—第III象限贫Fe、S区;VI—第VI象限富Fe贫S区

    Figure  5.  δFe-δS diagram of pyrite from different altered zones in the Jiuzhanggou gold deposit

    1—1st altered zone; 2—2nd altered zone; 3—3rd altered zone; 4—4th altered zone; I—Quadrant I Fe-, S-rich area; II—Quadrant II Fe-poor, S-rich area; III—Quadrant III Fe-, S-poor area; VI—Quadrant VI Fe-rich, S-poor area

    图  6  蚀变岩黄铁矿微量元素含量箱形图

    1—第1蚀变带;2—第2蚀变带;3—第3蚀变带;4—第4蚀变带a—Zn;b—Pb;c—As;d—Sb;e—Au;f—Ag;g—Cu;h—Ni;i—Te;j—Co;k—Sn;l—Bi;m—Mo;n—Se

    Figure  6.  Box plots of trace elements in pyrite from altered rocks

    (a) Zn; (b) Pb; (c) As; (d) Sb; (e) Au; (f) Ag; (g) Cu; (h) Ni; (i) Te; (j) Co; (k) Sn; (l) Bi; (m) Mo; (n) Se1—1st altered zone; 2—2nd altered zone; 3—3rd altered zone; 4—4th altered zone

    图  7  黄铁矿的主成分分析得分及载荷图

    1—第1蚀变带;2—第2蚀变带;3—第3蚀变带;4—第4蚀变带

    Figure  7.  Scores and loadings graph of the principal component analysis of pyrite

    1—1st altered zone; 2—2nd altered zone; 3—3rd altered zone; 4—4th altered zone

    图  8  黄铁矿R型聚类分析谱系图

    Figure  8.  Tree diagram of R-type cluster analysis

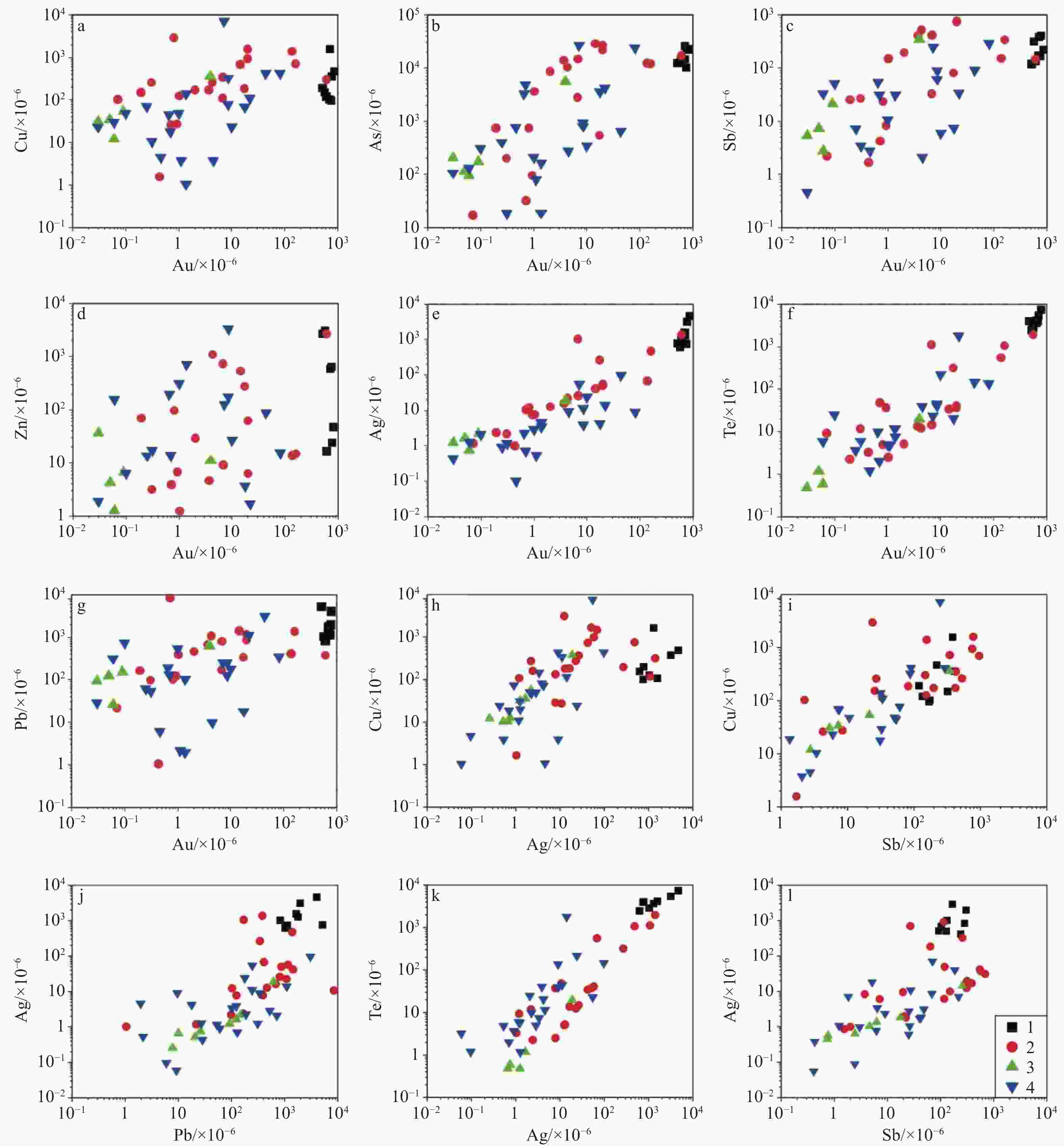
    图  9  蚀变岩黄铁矿微量元素相关性图解

    图例中1、2、3、4分别代表了第1、2、3、4蚀变带的黄铁矿a—Au与Cu图解;b—Au与As图解;c—Au与Sb图解;d—Au与Zn图解;e—Au与Ag图解;f—Au与Te图解;g—Au与Pb图解;h—Ag与Cu图解;i—Sb与Cu图解;j—Pb与Ag图解;k—Ag与Te图解;l—Sb与Ag图解

    Figure  9.  Correlation of trace elements in pyrite from altered rocks

    (a) Au vs Cu; (b) Au vs As; (c) Au vs Sb; (d) Au vs Zn; (e) Au vs Ag; (f) Au vs Te; (g)Au vs Pb; (h) Ag vs Cu; (i) Sb vs Cu; (j) Pb vs Ag; (k) Ag vs Te; (l) Sb vs Ag1, 2, 3, and 4 are pyrite from the 1st, 2nd, 3rd, and 4th altered zones, respectively.

    图  10  黄铁矿成因判别图解

    图例中1、2、3、4分别代表了第1、2、3、4蚀变带的黄铁矿a—As-Au相对摩尔含量图解(Reich et al.,2005提出的Au溶解度线);b—Ni-Co元素相对含量图解;c—Co-As-Ni质量占比三角图(严育通等,2012

    Figure  10.  Genetic discrimination of pyrite

    (a) As vs Au molar proportion diagram (Au saturation line after Reich et al.,2005); (b) Ni vs Co relative abundance diagram; (c) Co-As-Ni relative abundance percent triangle diagram (Yan et al., 2012)1, 2, 3, and 4 are pyrite from the 1st, 2nd, 3rd, and 4th altered zones, respectively.

    图  11  黄铁矿As与温度的关系(Babedi et al.,2023

    图例中1、2、3、4分别代表了第1、2、3、4蚀变带的黄铁矿

    Figure  11.  Correlation between the As content and the temperature of pyrite (after Babedi et al.,2023

    1, 2, 3, and 4 are pyrite from the 1st, 2nd, 3rd, and 4th altered zones, respectively.

    图  12  蚀变岩黄铁矿微量元素及相关系数的空间变化图解

    图例中1、2、3、4分别代表了第1、2、3、4蚀变带的黄铁矿a、b、c、d、e、f、g—为矿床垂向上Au、As、Au/As、Ni、Co、Au/Ag、Co/Ni图解;h—Ag/Au与Co/Ni图解(I—第I象限富Au、Co区;II—第II象限贫Au富Co区;III—第III象限贫Co贫Au区;VI—第VI象限贫Co富Au区)

    Figure  12.  Spatial variation of trace elements and associated coefficients of pyrite in altered rocks

    a, b, c, d, e, f, g—are Au, As, Au/As, Ni, Co, Au/Ag, Co/Ni vertical variation diagram; h—Ag/Au vs Co/Ni (in Figure 12h I—Quadrant I Au-, Co-rich area; II—Quadrant II Au-poor, Co-rich area; III—Quadrant III Co-, Au-poor area; VI—Quadrant VI Co-rich, Au-poor area)1, 2, 3, and 4 are pyrite from the 1st, 2nd, 3rd, and 4th altered zones, respectively.

    图  13  基于蚀变岩中黄铁矿微量元素的金矿勘查模型

    1—第1蚀变带;2—第2蚀变带;3—第3蚀变带;4—第4蚀变带

    Figure  13.  Gold exploration model based on trace elements of pyrite in altered rocks

    1—1st altered zone; 2—2nd altered zone; 3—3rd altered zone; 4—4th altered zone

    表  1  蚀变岩样品特征

    Table  1.   Characteristics of samples of altered rocks

    样号 采样位置 样品特征 所在蚀
    变带
    45 260 m中段穿脉7 矿化蚀变火山角砾岩,含有张性的热液脉 1
    47 220 m中段穿脉7 矿化蚀变角砾凝灰岩,局部含有团包状硫化物,含有张性的热液脉,可见黄铜矿、方铅矿 2
    48 130 m中段穿脉1-3 矿化蚀变角砾凝灰岩,张性细网脉比较发育,脉宽小于0.5 mm,见少量黄铁矿、方铅矿 2
    49 100 m中段穿脉1 矿化蚀变角砾凝灰岩,张性细网脉比较发育,脉宽小于0.5 mm,硫化物较为发育 3
    50 100 m中段穿脉5 黄铁绢云岩,硫化物网脉较发育,脉宽1~2 mm,脉石矿物较少,发育深、浅两组脉,略具压性特征 3
    52 50 m中段穿脉01 矿化蚀变火山角砾凝灰岩,发育多期张性网脉,第二期网脉中角砾明显 4
    54 20 m中段穿脉1-3 矿化蚀变角砾岩,角砾有压性特征 4
    55 −20 m中段穿脉3 矿化蚀变岩屑凝灰岩,发育浸染状−网脉状矿化 4
    下载: 导出CSV

    表  2  九仗沟金矿床蚀变岩黄铁矿电子探针测试结果(×10−2

    Table  2.   Electron microprobe data of pyrite from tectonically altered rocks of the Jiuzhanggou gold deposit (×10−2

    测点 Fe Cu Pb Zn Au Ag Te As S 合计 S/Fe δFe δS
    第1带
    45.1 45.45 0.05 0.02 53.90 99.41 2.065 −2.363 0.842
    45.2 46.81 0.02 0.05 52.21 99.09 1.942 0.559 −2.320
    45.3 46.08 0.04 0.08 0.03 52.87 99.10 1.998 −1.010 −1.085
    45.4 46.56 0.03 0.08 0.03 0.02 / / 53.73 100.46 2.009 0.021 0.524
    45.5 45.71 0.37 0.02 0.03 0.01 / / 50.37 96.51 1.919 −1.805 −5.762
    45.6 46.33 0.00 0.02 / / 52.85 99.21 1.986 −0.473 −1.123
    45.7 45.73 0.05 0.01 / / 53.21 99.00 2.026 −1.762 −0.449
    45.8 45.81 0.07 0.04 0.06 / / 53.53 99.52 2.035 −1.590 0.150
    平均值 46.06 / / / / / / / 52.83 99.04 1.998 −1.053 −1.153
    中位数 45.95 / / / / / / / 53.04 99.16 2.004 −1.300 −0.767
    第2带
    47.1 49.02 0.02 0.02 50.59 99.65 1.998 5.306 −5.351
    47.3 46.20 0.02 53.77 99.99 1.797 −0.752 0.599
    47.4 46.07 0.04 0.06 0.04 53.48 99.68 2.029 −1.031 0.056
    47.5 46.00 0.02 53.28 99.31 2.027 −1.182 −0.318
    47.8 46.69 0.05 0.05 0.03 53.49 100.32 2.022 0.301 0.075
    47.1 46.45 0.04 0.04 54.12 100.65 2.017 −0.215 1.254
    48.1 46.06 0.04 0.03 0.02 / / 52.72 98.87 1.995 −1.053 −1.366
    48.2 45.55 0.04 0.03 0.05 / / 53.49 99.16 1.993 −2.148 0.075
    48.3 45.62 0.09 0.04 0.00 / / 51.68 97.44 2.031 −1.998 −3.312
    48.4 45.59 0.05 0.02 / / 51.58 97.25 2.045 −2.062 −3.499
    48.5 45.94 0.04 / / 53.26 99.25 1.973 −1.310 −0.355
    48.6 45.96 0.10 / / 52.74 98.79 1.970 −1.267 −1.328
    48.7 46.06 0.16 0.08 0.02 / / 53.49 99.82 2.019 −1.053 0.075
    48.8 45.74 0.02 / / 53.64 99.39 1.998 −1.740 0.335
    48.9 45.01 0.03 0.10 0.03 / / 53.21 98.37 2.022 −3.308 −0.449
    48.1 45.42 0.02 0.07 0.04 / / 52.96 98.50 2.042 −2.427 −0.917
    平均值 46.09 / / / / / / / 52.97 99.15 1.999 −0.996 −0.900
    中位数 45.98 / / / / / / / 53.27 99.28 2.018 −1.225 −0.337
    第3带
    50.3 45.95 0.04 0.02 / / 53.53 99.55 2.058 −1.289 0.150
    50.6 45.78 0.04 / / 54.72 100.55 2.002 −1.654 2.376
    50.7 46.28 0.07 0.05 / / 52.83 99.24 2.029 −0.580 −1.160
    50.8 46.56 0.05 0.12 / / 52.23 98.96 2.081 0.021 −2.283
    平均值 46.14 / / 0.06 / / / / 53.33 99.58 2.043 −0.875 −0.229
    中位数 46.12 / / 0.05 / / / / 53.18 99.40 2.044 −0.935 −0.505
    第4带
    52.1 45.50 0.06 0.05 0.04 / 51.83 97.48 1.988 −2.256 −3.031
    52.4 45.75 0.04 0.03 0.02 / 51.95 97.78 1.953 −1.719 −2.806
    52.5 45.77 0.04 / 52.36 98.17 2.013 −1.676 −2.039
    52.6 45.45 0.02 0.05 0.06 0.10 / 50.92 96.60 1.984 −2.363 −4.733
    52.8 44.98 0.03 0.04 0.09 / 52.44 97.57 1.977 −3.373 −1.890
    54.1 48.95 0.08 0.02 0.02 / 54.21 103.28 1.992 5.156 1.422
    54.2 46.39 0.02 / 54.01 100.43 1.951 −0.344 1.048
    54.3 46.65 0.03 0.05 0.05 0.02 / 53.58 100.38 2.030 0.215 0.243
    54.7 45.94 0.04 0.09 / 53.53 99.59 1.929 −1.310 0.150
    54.8 46.00 0.02 0.03 0.03 / 53.02 99.10 2.027 −1.182 −0.804
    55.6 45.41 / 0.01 53.41 98.83 2.000 −2.449 −0.075
    55.7 45.31 0.04 0.03 / 0.02 53.29 98.70 2.029 −2.664 −0.299
    55.8 44.77 0.03 0.03 0.06 0.03 / 53.88 98.80 2.007 −3.824 0.804
    平均值 45.91 / / / / / / / 52.96 98.98 1.991 −1.368 −0.924
    中位数 45.75 / / / / / / / 53.29 98.7 1.992 −1.719 −0.299
    注:“/”表示未测;空白表示低于检测限;S/Fe为原子比
    下载: 导出CSV

    表  3  九仗沟金矿床矿化蚀变岩黄铁矿LA-ICP-MS测试结果(×10−6

    Table  3.   LA—ICP—MS data of pyrite from the tectonically altered rocks of the Jiuzhanggou gold deposit (×10−6)

    测点 S Co Ni Cu Zn As Se Mo Ag Sn Sb Te Au Pb Bi
    第1带
    45-1 314534.91 30.77 41.16 467.86 47.08 22373.42 4682.16 0.51 219.99 7352.59 865.84 4059.30 0.01
    45-2 331241.10 58.02 77.23 191.82 2682.09 12403.78 770.80 119.21 4040.89 516.84 5214.27
    45-3 313316.89 52.70 46.62 148.97 3044.75 12729.02 621.41 0.33 320.24 2462.06 571.50 1031.78 0.01
    45-4 307157.24 19.75 25.86 357.42 24.14 22497.85 22.40 3154.18 0.25 408.59 5432.86 780.42 1973.63 0.01
    45-5 331751.25 27.43 25.36 1567.97 591.32 26085.62 27.49 1292.62 0.56 381.66 3663.10 714.50 1799.68 0.01
    45-6 342514.13 37.99 44.59 95.90 637.06 10316.97 751.65 167.70 3956.25 753.55 1128.58
    45-7 330354.27 13.06 28.96 120.37 16.53 14768.53 27.29 1033.28 0.32 133.65 2867.33 608.21 831.34
    45-8 335784.77 35.10 37.85 102.41 17306.38 14710.66 27.59 1575.52 1.05 173.53 4151.51 702.09 1659.99
    平均(n=8) 325831.82 34.35 40.95 381.59 3043.67 16985.73 26.19 1735.20 0.50 240.57 4240.82 689.12 2212.32 0.01
    中位数 330797.69 32.94 39.51 170.40 614.19 14739.60 27.39 1162.95 0.42 196.76 3998.57 708.30 1729.84 0.01
    方差 136887097.86 204.74 248.23 216680.63 30327764.96 29487099.19 173.91 1818763.76 0.10 11359.06 2077152.82 11823.82 2178828.11
    极差 35356.89 44.96 51.87 1472.07 17289.85 15768.65 5.19 4060.75 0.80 289.38 4890.53 349.00 4382.93 0.01
    第2带
    47-1 299144.45 31.24 13.17 187.48 279.45 545.78 1.59 268.08 1.43 81.65 319.05 17.02 345.47 0.25
    47-2 372280.64 0.29 1.58 1.02 1.69 3.33 0.43 1.05
    47-3 359972.18 97.63 32.03 1404.50 13.85 12501.72 22.00 68.03 3.94 154.99 559.35 136.28 411.33 0.64
    47-4 338727.58 53.74 44.99 302.48 2695.30 17510.70 19.85 270.46 1399.58 3.42 147.59 1973.67 599.59 383.25 0.07
    47-5 329348.76 122.64 54.49 721.46 14.96 12242.35 29.37 0.44 481.16 345.12 1072.16 158.44 1401.17 0.36
    47-6 362872.12 82.88 18.57 27.53 6.83 96.67 826.15 7.78 8.36 37.48 0.92 124.81 0.09
    47-7 381262.54 59.00 15.05 103.36 17.17 1.18 2.25 9.36 0.07 21.70 0.07
    47-8 349997.96 34.11 37.63 112.92 738.80 2830.19 1072.48 2.13 33.28 1123.44 6.65 171.09 0.28
    47-9 383906.10 23.41 2.15 260.00 3.20 203.11 75.16 2.20 27.09 11.97 0.30 99.13 0.58
    47-10 389696.13 9.78 1.47 26.13 3.89 32.14 11.90 10.76 4.27 48.51 0.70 8536.35 0.23
    48-1 289603.21 3.64 9.92 1592.57 62.75 27675.40 0.18 50.59 1.67 780.86 37.29 19.65 876.45 0.03
    48-2 343709.34 19.24 17.10 126.92 1.25 3691.67 7.85 0.96 152.17 2.49 1.01 393.86 0.03
    48-3 332238.60 17.76 20.85 174.00 29.27 8782.83 12.93 2.72 197.94 5.21 2.00 469.29 0.06
    48-4 336590.76 8.91 14.55 698.68 540.96 29186.49 2.45 42.18 4.19 958.55 34.52 14.19 1448.35 0.08
    48-5 346017.61 143.44 55.32 153.38 70.39 749.01 2.41 2.20 25.57 2.25 0.19 166.53 0.08
    48-6 356325.56 65.74 75.47 2969.04 98.03 749.89 9.72 12.42 1.07 23.73 5.05 0.80 103.07 0.27
    48-7 338718.30 41.11 53.74 262.41 1105.22 10447.92 22.56 4.66 528.55 12.44 4.26 1090.63 0.02
    48-8 335901.74 19.20 19.80 174.65 4.69 14242.35 0.30 16.36 2.67 418.45 13.79 3.66 684.68 0.03
    48-9 334513.61 20.57 23.15 351.81 9.30 15006.54 0.28 26.31 2.85 425.44 14.76 6.68 818.78 0.02
    48-10 314452.46 7.63 10.31 947.57 6.33 22334.96 0.67 57.62 2.76 754.25 40.98 19.54 1165.17 0.02
    平均(n=20) 344763.98 43.10 27.36 529.92 315.80 9413.00 23.74 99.94 178.18 2.62 253.59 266.35 49.62 935.61 0.17
    中位数 341218.46 27.33 19.80 223.74 22.12 8782.83 22.00 2.02 19.46 2.70 149.88 24.64 3.96 402.60 0.08
    方差 656190573.80 1582.99 419.74 506321.46 390352.28 88378055.87 74.35 34482.54 139591.03 2.29 84191.50 265583.58 17766.47 3239087.59 0.03
    极差 100092.92 143.15 74.00 2967.46 2694.05 29169.32 9.52 825.97 1398.56 3.70 956.86 1971.42 599.52 8535.30 0.62
    第3带
    50-1 263769.51 2.11 11.65 1.60 6.91 0.26 0.24 7.84
    50-2 279260.40 23.24 6.09 9.80 1.50 35.45 0.52 0.29 0.80 20.73
    50-3 249046.29 13.23 3.64 361.41 10.94 5641.10 18.88 0.97 346.66 19.58 3.96 619.66
    50-4 252044.79 9.38 1.08 11.98 1.25 93.13 0.75 0.38 2.76 0.59 0.06 26.23
    50-5 261174.22 4.66 9.85 1.52 10.66 0.66 0.24 0.82 0.48 10.09
    50-6 270194.99 48.15 11.07 34.04 4.26 114.92 1.65 1.18 7.28 1.18 0.05 123.89
    50-7 250984.14 53.22 16.25 53.91 6.54 171.79 2.22 3.25 21.41 0.09 152.51
    50-8 270926.49 37.87 8.11 30.70 36.63 205.25 1.24 1.10 5.35 0.48 0.03 92.82
    平均(n=8) 262175.10 23.98 7.71 65.42 8.03 784.90 3.27 0.95 55.01 4.46 0.84 131.72
    中位数 262471.87 18.24 7.10 21.34 2.93 104.03 1.00 0.68 5.35 0.59 0.06 59.53
    方差 104572907.64 351.62 29.58 12732.67 126.90 3373548.34 35.16 0.89 12773.28 40.42 1.69 36709.90
    极差 30214.11 51.11 15.17 351.61 35.38 5634.19 18.62 3.01 345.86 19.10 3.93 611.82
    第4带
    52-1 285433.79 6.02 1.40 45.04 195.93 3308.10 2.26 1.60 54.14 9.76 0.65 188.20
    52-2 325089.23 12.35 2.15 22.78 1.87 105.48 0.43 1.27 0.45 0.03 28.52
    52-3 359354.34 5.46 0.79 4.50 758.55 0.10 2.74 1.19 0.46 5.98
    52-4 311181.57 2.58 1.03 7210.62 125.35 26898.70 54.44 0.58 246.61 22.90 7.13 248.73
    52-5 320269.21 40.83 16.13 17.81 13.72 4856.86 0.70 1.09 31.00 1.99 0.70 129.36
    52-6 306594.66 64.04 13.24 68.36 3.66 3595.30 4.23 7.48 20.49 17.68 17.90
    52-7 364431.97 84.52 32.77 0.98 6.19 38.62 0.06 0.43 3.20 9.23
    52-8 343056.87 30.78 5.16 414.40 15.35 24231.17 8.99 0.64 291.16 136.11 81.01 341.03
    54-1 282402.97 4.48 1.71 23.00 26.60 338.97 24.08 5.99 215.31 9.93 178.91
    54-2 230330.00 101.56 50.69 48.02 6.29 306.33 2.09 0.26 50.93 24.72 0.10 720.22
    54-3 261971.00 20.19 7.70 29.24 156.90 130.69 1.24 32.44 5.79 0.06 313.61
    54-4 306347.34 0.26 2.69 0.37 0.11
    54-5 275576.83 0.27 1.03 18.53 4.58 11.50 1.37 1.95
    54-6 299755.91 1.89 1.87 3.67 79.86 0.53 4.82 1.11 2.17
    54-7 300998.85 29.33 12.57 3.75 273.76 9.07 2.05 39.28 4.49 9.64
    54-8 254737.91 878.74 274.64 109.33 1.69 4171.40 14.08 0.69 33.72 1792.95 22.14 1105.27
    55-1 248768.14 34.97 11.34 324.58 174.99 929.20 0.39 11.15 0.26 87.58 44.12 8.57 246.38
    55-2 292527.61 58.02 25.07 415.48 87.88 637.51 880.46 97.33 0.40 90.07 145.58 43.68 3083.01
    55-3 267990.03 2.52 69.74 13.51 396.91 0.44 0.91 0.23 7.21 3.65 0.25 60.76
    55-4 222558.70 0.81 18.82 437.81 87.64 1.26 0.35 1.35 1.17 27.18
    55-5 214405.02 2.37 10.39 17.25 18.23 1.16 0.17 3.40 5.93 0.31 53.20
    55-6 283070.03 14.08 5.35 138.41 711.77 160.09 3.38 0.33 31.33 7.39 1.39 102.63
    55-7 235163.78 6.05 2.91 47.59 306.04 209.18 2.87 10.63 4.94 1.00 530.94
    55-8 282488.50 10.86 3.90 77.24 3300.52 791.36 3.88 61.03 40.15 8.52 124.00
    平均(n=24) 286437.68 58.87 24.76 395.86 294.91 3014.38 293.76 10.82 0.61 50.08 110.58 10.03 313.71
    中位数 284251.91 11.61 5.35 45.04 26.60 322.65 0.44 2.87 0.40 31.00 9.76 1.37 113.32
    方差 1569039297.62 29985.05 2973.06 2043526.92 437330.95 48354159.08 30952.03 458.83 0.19 5372.81 126596.48 322.86 400884.62
    极差 150026.95 878.48 273.85 7209.64 3298.83 26896.01 880.07 97.27 1.43 290.73 1792.58 80.98 3082.90
    注:空白表示低于检测限
    下载: 导出CSV
  • [1] BABEDI L, VON DER HEYDEN B P, TADIE M, et al. , 2023. Trace elements in pyrite from five different gold ore deposit classes: a review and meta-analysis[M]//TORVELA T, LAMBERT-SMITH J S, CHAPMAN R J. Recent advances in understanding gold deposits: from orogeny to alluvium. London: Geological Society of London: 47-83.
    [2] BAJWAH Z U, SECCOMBE P K, OFFLER R, 1987. Trace element distribution, Co: Ni ratios and genesis of the Big Cadia iron-copper deposit, New South Wales, Australia[J]. Mineralium Deposita, 22(4): 292-300.
    [3] CAO G S, ZHANG Y, CHEN H Y, 2023. Trace elements in pyrite from orogenic gold deposits: Implications for metallogenic mechanism[J]. Acta Petrologica Sinica, 39(8): 2330-2346. (in Chinese with English abstract doi: 10.18654/1000-0569/2023.08.06
    [4] CAO G S, ZHANG Y, ZHAO H T, et al., 2023. Trace element variations of pyrite in orogenic gold deposits: Constraints from big data and machine learning[J]. Ore Geology Reviews, 157: 105447. doi: 10.1016/j.oregeorev.2023.105447
    [5] CAO M P, YAO J M, DENG X H, et al., 2017. Diverse and multistage Mo, Au, Ag-Pb-Zn and Cu deposits in the Xiong'er Terrane, East Qinling: from Triassic Cu mineralization[J]. Ore Geology Reviews, 81: 565-574. doi: 10.1016/j.oregeorev.2016.02.014
    [6] CHEN Y J, SANTOSH M, 2014. Triassic tectonics and mineral systems in the Qinling Orogen, central China[J]. Geological Journal, 49(4-5): 338-358. doi: 10.1002/gj.2618
    [7] COOK N J, CHRYSSOULIS S L, 1990. Concentrations of invisible gold in the common sulfides[J]. The Canadian Mineralogist, 28(1): 1-16.
    [8] DEDITIUS A P, REICH M, KESLER S E, et al., 2014. The coupled geochemistry of Au and As in pyrite from hydrothermal ore deposits[J]. Geochimica et Cosmochimica Acta, 140: 644-670. doi: 10.1016/j.gca.2014.05.045
    [9] DENG Y, ZHANG J, ZHONG R C, et al., 2024. Application of principal component analysis method based on machine learning to gold deposit type discrimination: a case study of the geochemical characteristics of pyrite[J]. Acta Petrologica Sinica, 40(6): 1801-1816. (in Chinese with English abstract doi: 10.18654/1000-0569/2024.06.07
    [10] DI P F, TANG Q Y, LIU D X, et al., 2023. Trace element geochemistry of pyrite and its significance in the Gannan district, West Qinling: A case study from the Jiagantan and Zaozigou gold deposits[J]. Chinese Rare Earths, 44: 140-154. (in Chinese with English abstract
    [11] DING P C, WANG Z Q, GUO Q Q et al. , 2020. Mineralization and enrichment characteristics and deep prospecting prospect evaluation of the Miaoling-Jiuzhanggou gold metallogenic belt in Henan Province[J]. Gold, 41(10): 7-12, 18. (in Chinese with English abstract
    [12] HE X Y, WANG C M, YUAN J M, et al., 2019. Mesozoic Au-Mo metallogenic system in the Xiong'ershan-Waifangshan ore field[J]. Earth Science Frontiers, 26(5): 33-52. (in Chinese with English abstract
    [13] LARGE R R, DANYUSHEVSKY L, HOLLIT C, et al., 2009. Gold and trace element zonation in pyrite using a laser imaging technique: implications for the timing of gold in orogenic and Carlin-style sediment-hosted deposits[J]. Economic Geology, 104(5): 635-668. doi: 10.2113/gsecongeo.104.5.635
    [14] LI H, YU B, WEI J, et al., 2021. Research on prediction of hidden ore bodies at depth in exploration (new) areas using structural superimposed halos and a reference practical ideal model[J]. Geology and Exploration, 57(2): 351-359. (in Chinese with English abstract
    [15] LI H B, ZENG F Z, 2005. The pyrite’s typomorphic characteristics in gold deposit[J]. Contributions to Geology and Mineral Resources Research, 20(3): 199-203. (in Chinese with English abstract
    [16] LI H B, 2005. The discussion about genesis of Jiuzhanggou gold deposit of Henan[J]. Resources Environment & Engineering, 19(1): 16-22, 58. (in Chinese with English abstract
    [17] LI J J, HE Y L, FU C, et al., 2016. Metallogenic characteristics and potential analysis of the Yuxi Au-Mo-W-Pb-Zn-Ag-Fe-bauxite-graphite metallogenic belt in Western Henan[J]. Acta Geologica Sinica, 90(7): 1504-1524. (in Chinese with English abstract
    [18] LI W, COOK N J, XIE G Q, et al., 2019. Textures and trace element signatures of pyrite and arsenopyrite from the Gutaishan Au-Sb deposit, South China[J]. Mineralium Deposita, 54(4): 591-610. doi: 10.1007/s00126-018-0826-0
    [19] LI X H, FAN H R, XIE H L, et al., 2022. Geochronology, ore-forming processes and fluid sources of the Qinglonggou gold deposit, North Qaidam (NW China): Constraints from in-situ U-Pb dating of monazite and geochemistry of pyrite[J]. Ore Geology Reviews, 149: 105093. doi: 10.1016/j.oregeorev.2022.105093
    [20] LIU S Y, ZHANG D, YANG M J, et al., 2024. Characteristics of chlorites from the Haopinggou Ag-Au polymetallic deposit in the Xiong'ershan ore concentration area and its exploration implications[J]. Journal of Geomechanics, 30(1): 129-146. (in Chinese with English abstract
    [21] LIU W Y, LIU J S, HE M X, et al., 2018. Geochemical features of Au-Ag polymetallic deposits in Xiong'ershan ore district of western Henan and their geological significances[J]. The Chinese Journal of Nonferrous Metals, 28(7): 1401-1417. (in Chinese with English abstract
    [22] LIU Y G, DING P C, XU J W et al., 2022. Discussion on genesis of F8 ore-bearing structure in Miaoling-Jiuzhanggou gold belt in Songxian, Henan Province[J]. Gold, 43(8): 5-9. (in Chinese with English abstract
    [23] NAGLIK B, TOBOŁA T, DUMAŃSKA-SŁOWIK M, et al., 2022. Multi-stage ore forming history of the Variscan porphyry Mo-Cu-W Myszków deposit (Poland): Evidence from trace elements of pyrite[J]. Ore Geology Reviews, 150: 105185. doi: 10.1016/j.oregeorev.2022.105185
    [24] PATON C, HELLSTROM J, PAUL B, et al., 2011. Iolite: Freeware for the visualisation and processing of mass spectrometric data[J]. Journal of Analytical Atomic Spectrometry, 26(12): 2508-2518. doi: 10.1039/c1ja10172b
    [25] QIN J Q J, QU W X, ZHOU Y L, et al., 2022. Vertical zoning characteristics and deep prediction of primary halo in Jiuzhanggou gold deposit, Western Henan Province[J]. Mining Technology, 22(6): 202-206. (in Chinese with English abstract
    [26] QIN J Q, QU W X, ZHOU Y L, et al., 2019. Geological characteristics of Jiuzhanggou gold deposit in Song County, Henan Province and prospects for deep prospecting[J]. Advances in Geosciences, 9(6): 429-436. (in Chinese with English abstract doi: 10.12677/AG.2019.96048
    [27] REICH M, KESLER S E, UTSUNOMIYA S, et al., 2005. Solubility of gold in arsenian pyrite[J]. Geochimica et Cosmochimica Acta, 69(11): 2781-2796. doi: 10.1016/j.gca.2005.01.011
    [28] REICH M, SIMON A C, DEDITIUS A, et al., 2016. Trace element signature of pyrite from the Los Colorados iron oxide-apatite (IOA) deposit, Chile: a missing link between Andean IOA and iron oxide copper-gold systems?[J]. Economic Geology, 111(3): 743-761. doi: 10.2113/econgeo.111.3.743
    [29] RILEY J F, 1968. The cobaltiferous pyrite series[J]. American Mineralogist, 53(1-2): 293-295.
    [30] SHEN J F, LI S R, HUANG S F, et al., 2021. The decennary new advances on the genetic mineralogy and prospecting mineralogy(2010-2020)[J]. Bulletin of Mineralogy, Petrology and Geochemistry, 40(3): 610-623. (in Chinese with English abstract
    [31] SHENG Y M, TANG L, ZHANG S T, et al., 2022a. Distal gold mineralization associated with porphyry system: the case of Hongzhuang and Yuanling deposits, East Qinling, China[J]. Ore Geology Reviews, 142: 104701. doi: 10.1016/j.oregeorev.2022.104701
    [32] SHENG Y M, TANG L, ZHANG S T, et al., 2022b. Influence of fluid-rock interaction on gold mineralization in the Dongwan deposit, East Qinling, China: constraints from systematic sulfur isotope and trace element geochemistry[J]. Ore Geology Reviews, 142: 104718. doi: 10.1016/j.oregeorev.2022.104718
    [33] SPRINGER G, SCHACHNER-KORN D, LONG J V P, 1964. Metastable solid solution relations in the system FeS2-CoS2-NiS2[J]. Economic Geology, 59(3): 475-491. doi: 10.2113/gsecongeo.59.3.475
    [34] TIAN G, ZHANG C Q, PENG H J, et al., 2014. Petrogenesis and geodynamic setting of the Chang’an gold deposit in southern Ailaoshan metallogenic belt[J]. Acta Petrologica Sinica, 2014, 30(1): 125-138. (in Chinese with English abstract
    [35] TIAN Y F, SUN J, YE H S, et al., 2017. Genesis of the Dianfang breccia-hosted gold deposit, western Henan Province, China: constraints from geology, geochronology and geochemistry[J]. Ore Geology Reviews, 91: 963-980. doi: 10.1016/j.oregeorev.2017.08.011
    [36] TIAN Y F, YE H S, MAO J W, et al., 2019. Geochronology and geochemistry of the Dianfang gold deposit, western Henan Province, central China: Implications for mineral exploration[J]. Ore Geology Reviews, 111: 102967. doi: 10.1016/j.oregeorev.2019.102967
    [37] WANG B Q, SONG Y, LI F Q, et al. , 2023. Study on element content and thermoelectrie properties of pyrite in porphyry copper-gold metallogenic system. Geological Review, 69(S1): 193-194. (in Chinese with English abstract
    [38] WANG M Y, LI J, SONG M C, et al., 2023. The metallogenic mechanism of the Dadengge gold polymetallic deposit in the Jiaodong Peninsula: Constraints from pyrite Rb-Sr dating, in situ S isotope and trace elements[J]. Acta Petrologica Sinica, 39(5): 1501-1515. (in Chinese with English abstract doi: 10.18654/1000-0569/2023.05.17
    [39] WANG X H, GUO T, LI X Z, et al., 2022. A study on the geochemical characteristics and metallogenesis of the Lanmugou gold deposit in the South Qinling Belt, Shaanxi, China[J]. Journal of Geomechanics, 28(3): 464-479. (in Chinese with English abstract
    [40] WANG X M, SU K F, SUN H S, et al. , 2013. Study on the metallogenic settings and gold metallogenic regularity of Dongwan-Huaishuping ore deposit in Songxian County, Henan Province[M]. Wuhan: China University of Geosciences Press. (in Chinese)
    [41] WANG Y, WANG D H, WANG C H, 2024. Quantitative research on metallogenic regularity of gold deposits in China based on geological big data[J]. Earth Science Frontiers, 31(4): 438-455. (in Chinese with English abstract
    [42] WANG Y H, HAN D, PAN B D, et al., 2022. Characteristics and ore-forming material source of gold minerals in Jiuzhanggou gold deposit, Henan Province[J]. Gold, 43(7): 3-8. (in Chinese with English abstract
    [43] WILSON S A, RIDLEY W I, KOENIG A E, 2002. Development of sulfide calibration standards for the laser ablation inductively-coupled plasma mass spectrometry technique[J]. Journal of Analytical Atomic Spectrometry, 17(4): 406-409. doi: 10.1039/B108787H
    [44] YAN C H, LI X L, HAN J W, 2021. New understanding of gold polymetallic mineralization in Xiong'er mountain ore concentration area[J]. Metal Mine(5): 1-12. (in Chinese with English abstract
    [45] YAN Y T, LI S R, JIA B J, et al., 2012. Composition typomorphic characteristics and statistic analysis of pyrite in gold deposits of different genetic types[J]. Earth Science Frontiers, 19(4): 214-226. (in Chinese with English abstract
    [46] YANG D P, LIU P R, SONG Y X, et al., 2023. Trace element characteristics of pyrite in Qujia gold deposit, Laizhou, Shandong Province, and its implication on metallogenic process[J]. Acta Petrologica et Mineralogica, 42(6): 788-808. (in Chinese with English abstract
    [47] ZHANG H Y, ZHAO Q Q, ZHAO G, et al., 2022. In situ LA-ICP-MS trace element analysis of pyrite and its application in study of Au deposit[J]. Mineral Deposits, 41(6): 1182-1199. (in Chinese with English abstract
    [48] ZHANG W, WU G, 2007. Structure analysis for ore body controlling of Jiuzanggou gold deposit in Henan[J]. Nonferrous Metals, 59(2): 70-74. (in Chinese with English abstract
    [49] ZHANG Y, LI S P, JING P, et al., 2024. Geochemical characteristics and exploration model of the Jiuzhanggou gold deposit, Songxian County, Henan province[J]. Gold Science and Technology, 32(2): 258-269. (in Chinese with English abstract
    [50] ZHANG Z M, ZENG Q D, WANG Y B, et al., 2023. Metallogenic age and fluid evolution of the Kangshan Au-polymetallic deposit in the southern margin of the North China Craton: Constraints from monazite U-Pb age, and in-situ trace elements and S isotopes of pyrite[J]. Acta Petrologica Sinica, 39(3): 865-885. (in Chinese with English abstract doi: 10.18654/1000-0569/2023.03.14
    [51] ZHOU L H, FENG R, 1994. The application of pyrite prospecting-mineralogy to prospective value in Bainaimiao gold deposites[J]. Journal of Changchun University of Earth Sciences, 24(3): 265-270. (in Chinese with English abstract
    [52] ZHOU X W, SHAO J L, BIAN Q J, 1994. Study on typomorphic characteristics of pyrite from Dongbeizhai gold deposit, Sichuan Province[J]. Earth Science-Journal of China University of Geosciences, 19(1): 52-59. (in Chinese with English abstract
    [53] ZHOU Z J, CHEN Z L, WEYER S, et al., 2023. Metal source and ore precipitation mechanism of the Ashawayi orogenic gold deposit, southwestern Tianshan Orogen, western China: Constraints from textures and trace elements in pyrite[J]. Ore Geology Reviews, 157: 105452. doi: 10.1016/j.oregeorev.2023.105452
    [54] ZHU H L, YANG X K, HE H J, et al., 2023. Discrimination of gold deposit types based on convolutional neural network and pyrite big data[J]. Acta Geologica Sinica, 97(10): 3396-3409. (in Chinese with English abstract
    [55] ZHU S Z, CHU Z B, JIN G, et al., 2022. Geological characteristics and genetic mechanism of Jiuzhanggou gold deposit in southwest Henan Province[J]. China Manganese Industry, 40(2): 72-78. (in Chinese with English abstract
    [56] 曹根深,张宇,陈华勇,2023. 造山型金矿床黄铁矿微量元素对成矿机制的指示[J]. 岩石学报,39(8):2330-2346. doi: 10.18654/1000-0569/2023.08.06
    [57] 邓依,张静,钟日晨,等,2024. 基于机器学习的主成分分析方法在金矿类型判别中的应用:以黄铁矿元素地球化学特征为例[J]. 岩石学报,40(6):1801-1816. doi: 10.18654/1000-0569/2024.06.07
    [58] 第鹏飞,汤庆艳,刘东晓,等,2023. 西秦岭甘南地区金矿床黄铁矿微量元素地球化学特征及意义:以加甘滩和早子沟金矿为例[J]. 稀土,44(4):140-154.
    [59] 丁培超,王振强,郭勤强,等,2020. 河南省庙岭—九仗沟金矿带矿化富集特征及深部找矿远景评价[J]. 黄金,41(10):7-12,18. doi: 10.11792/hj202001002
    [60] 贺昕宇,王长明,袁继明,等,2019. 熊耳山—外方山矿集区中生代Au-Mo成矿系统[J]. 地学前缘,26(5):33-52.
    [61] 李红兵,2005. 河南嵩县九仗沟金矿床成因探讨[J]. 资源环境与工程,19(1):16-22,58. doi: 10.3969/j.issn.1671-1211.2005.01.004
    [62] 李红兵,曾凡治,2005. 金矿中的黄铁矿标型特征[J]. 地质找矿论丛,20(3):199-203. doi: 10.3969/j.issn.1001-1412.2005.03.011
    [63] 李惠,禹斌,魏江,等,2021. 勘查(新)区构造叠加晕研究方法及预测参照实用理想模型[J]. 地质与勘探,57(2):351-359. doi: 10.12134/j.dzykt.2021.02.010
    [64] 李俊建,何玉良,付超,等,2016. 豫西Au-Mo-W-Pb-Zn-Ag-Fe-铝土矿-石墨成矿带主要地质成矿特征及潜力分析[J]. 地质学报,90(7):1504-1524. doi: 10.3969/j.issn.0001-5717.2016.07.017
    [65] 刘松岩,张达,杨明建,等,2024. 熊耳山矿集区蒿坪沟Ag-Au多金属矿床绿泥石特征及其找矿意义[J]. 地质力学学报,30(1):129-146. doi: 10.12090/j.issn.1006-6616.2023121
    [66] 刘文毅,刘继顺,何美香,等,2018. 豫西熊耳山矿集区金银多金属矿床地球化学特征及地质意义[J]. 中国有色金属学报,28(7):1401-1417.
    [67] 刘玉刚,丁培超,徐金武,等,2022. 河南省嵩县庙岭—九仗沟金矿带F8含矿构造成因探讨[J]. 黄金,43(8):5-9. doi: 10.11792/hj20220802
    [68] 秦军强,曲伟勋,周宇乐,等,2019. 河南省嵩县九仗沟金矿地质特征及深部找矿前景[J]. 地球科学前沿,9(6):429-436.
    [69] 秦军强,曲伟勋,周宇乐,等,2022. 豫西九仗沟金矿床原生晕垂向分带特征及深部预测[J]. 采矿技术,22(6):202-206. doi: 10.3969/j.issn.1671-2900.2022.06.049
    [70] 申俊峰,李胜荣,黄绍锋,等,2021. 成因矿物学与找矿矿物学研究进展(2010—2020)[J]. 矿物岩石地球化学通报,40(3):610-623.
    [71] 田广,张长青,彭惠娟,等,2014. 哀牢山长安金矿成因机制及动力学背景初探:来自LA-ICP-MS锆石U-Pb定年和黄铁矿原位微量元素测定的证据[J]. 岩石学报,30(1):125-138.
    [72] 王蓓琪,宋扬,李发桥,等,2023. 斑岩铜金成矿系统中黄铁矿的元素含量与热电性特征研究[J]. 地质论评,69(S1):193-194.
    [73] 王美云,李杰,宋明春,等,2023. 胶东大邓格金多金属矿床成矿机制:来自黄铁矿Rb-Sr定年、原位硫同位素及微量元素的制约[J]. 岩石学报,39(5):1501-1515. doi: 10.18654/1000-0569/2023.05.17
    [74] 王晓虎,郭涛,李效壮,等,2022. 南秦岭烂木沟金矿床地球化学特征与矿床成因研究[J]. 地质力学学报,28(3):464-479. doi: 10.12090/j.issn.1006-6616.2021002
    [75] 王兴民,苏凯峰,孙华山,等,2013. 河南省嵩县东湾-槐树坪矿区成矿环境及金矿规律研究[M]. 武汉:中国地质大学出版社.
    [76] 王岩,王登红,王成辉,等,2024. 基于地质大数据的中国金矿时空分布规律定量研究[J]. 地学前缘,31(4):438-455.
    [77] 王颖辉,韩东,潘柏东,等,2022. 河南省九仗沟金矿床金矿物特征及成矿物质来源[J]. 黄金,43(7):3-8. doi: 10.11792/hj20220702
    [78] 燕长海,李肖龙,韩江伟,等,2021. 熊耳山矿集区金多金属矿成矿的几点新认识[J]. 金属矿山(5):1-12.
    [79] 严育通,李胜荣,贾宝剑,等,2012. 中国不同成因类型金矿床的黄铁矿成分标型特征及统计分析[J]. 地学前缘,19(4):214-226.
    [80] 杨德平,刘鹏瑞,宋英昕,等,2023. 山东莱州曲家金矿黄铁矿微量元素对成矿过程的指示[J]. 岩石矿物学杂志,42(6):788-808.
    [81] 张红雨,赵青青,赵刚,等,2022. 黄铁矿微量元素LA-ICP-MS原位微区分析方法及其在金矿床研究中的应用[J]. 矿床地质,41(6):1182-1199.
    [82] 张伟,伍刚,2007. 河南省九丈沟金矿控矿构造分析[J]. 有色金属,59(2):70-74.
    [83] 张勇,李水平,荆鹏,等,2024. 河南嵩县九仗沟金矿床地球化学特征与勘查模式[J]. 黄金科学技术,32(2):258-269.
    [84] 张哲铭,曾庆栋,王永彬,等,2023. 华北克拉通南缘康山金多金属矿床成矿时代及流体演化:来自独居石U-Pb年龄、黄铁矿微量元素和原位S同位素制约[J]. 岩石学报,39(3):865-885. doi: 10.18654/1000-0569/2023.03.14
    [85] 周立宏,冯瑞,1994. 黄铁矿找矿矿物学在白乃庙金矿床远景评价中的应用[J]. 长春地质学院学报,24(3):265-270.
    [86] 周学武,邵洁涟,边秋娟,1994. 四川松潘东北寨金矿黄铁矿标型特征研究[J]. 地球科学-中国地质大学学报,19(1):52-59.
    [87] 朱昊磊,杨兴科,何虎军,等,2023. 基于卷积神经网络和黄铁矿大数据判别金矿类型[J]. 地质学报,97(10):3396-3409.
    [88] 朱随洲,储照波,金刚,等,2022. 河南九仗沟金矿地质特征及成因机制探讨[J]. 中国锰业,40(2):72-78.
  • 加载中
图(13) / 表(3)
计量
  • 文章访问数:  1189
  • HTML全文浏览量:  289
  • PDF下载量:  90
  • 被引次数: 0
出版历程
  • 收稿日期:  2024-06-16
  • 修回日期:  2024-10-07
  • 录用日期:  2024-11-15
  • 预出版日期:  2024-12-24
  • 刊出日期:  2025-02-27

目录

    /

    返回文章
    返回