留言板

尊敬的读者、作者、审稿人, 关于本刊的投稿、审稿、编辑和出版的任何问题, 您可以本页添加留言。我们将尽快给您答复。谢谢您的支持!

姓名
邮箱
手机号码
标题
留言内容
验证码

陕北斜坡上古生界山2-盒8段沉积-成岩与储层孔隙特征

王奕萱 张晓东 孙勇 安星宇

王奕萱, 张晓东, 孙勇, 等, 2014. 陕北斜坡上古生界山2-盒8段沉积-成岩与储层孔隙特征. 地质力学学报, 20 (3): 230-242.
引用本文: 王奕萱, 张晓东, 孙勇, 等, 2014. 陕北斜坡上古生界山2-盒8段沉积-成岩与储层孔隙特征. 地质力学学报, 20 (3): 230-242.
WANG Yi-xuan, ZHANG Xiao-dong, SUN Yong, et al., 2014. THE POROSITY CHARACTERISTICS OF SEDIMENTARY AND DIAGENETIC ENVIRONMENT FOR SHAN-2 MEMBER TO HE-8 MEMBER AT THE UPPER PALEOZOIC IN NORTHERN SHAANXI SLOPE. Journal of Geomechanics, 20 (3): 230-242.
Citation: WANG Yi-xuan, ZHANG Xiao-dong, SUN Yong, et al., 2014. THE POROSITY CHARACTERISTICS OF SEDIMENTARY AND DIAGENETIC ENVIRONMENT FOR SHAN-2 MEMBER TO HE-8 MEMBER AT THE UPPER PALEOZOIC IN NORTHERN SHAANXI SLOPE. Journal of Geomechanics, 20 (3): 230-242.

陕北斜坡上古生界山2-盒8段沉积-成岩与储层孔隙特征

基金项目: 

国家自然科学基金重点项目 90814007

详细信息
    作者简介:

    王奕萱(1991-), 女, 大学本科, 构造地质学专业。E-mail:dao1ruai2mi@126.com

  • 中图分类号: P618.130.2

THE POROSITY CHARACTERISTICS OF SEDIMENTARY AND DIAGENETIC ENVIRONMENT FOR SHAN-2 MEMBER TO HE-8 MEMBER AT THE UPPER PALEOZOIC IN NORTHERN SHAANXI SLOPE

  • 摘要: 鄂尔多斯盆地陕北斜坡上古生界山2段-盒8段发育典型的低渗致密岩性气藏, 储层物性控制着区内气藏的富集, 在致密储层中孔隙发育特征与储层沉积环境及后期成岩作用密切相关。通过沉积物粒度分析、储层孔隙特征扫描电镜观察, 探讨了研究区储层在压实成岩作用后期孔隙的破坏作用, 建立了黏土矿物转化序列。研究结果显示, 研究区山2-盒8段砂岩储层在压实成岩作用后对储层孔隙的破坏作用主要包括黏土矿物转化及胶结作用; 黏土矿物转化模式为"蒙脱石-伊蒙混层-伊利石"型, 后期伴有高岭石和绿泥石的伊利石化; 发育于碎屑颗粒表面的绿泥石黏土膜在降低储层原生孔隙的同时, 抑制了后期发生的硅质胶结作用, 为残余粒间孔的保存和次生溶孔的形成提供了物质基础, 绿泥石套膜的发育成为气藏勘探评价中储层优选的关键参数之一。

     

  • 图  1  鄂尔多斯盆地构造及研究区范围[9]

    Figure  1.  Tectonic map of Ordos Basin and the studied area

    图  2  研究区山2—盒8储层岩性分类

    Figure  2.  The reservoir lithology classification of study area from Shan 2 to He 8

    图  3  黏土矿物与碳酸盐胶结物特征扫描电镜

    a—盒8,2734.53 m,玫瑰花状绿泥石充填粒间孔;b—盒8,2737.99 m,手风琴状高岭石及自生长石严重破坏孔隙;c—盒8,2737.99 m,伊利石呈搭桥状部分堵塞孔隙;d—盒8,2755.51 m,绿泥石向伊利石转化严重堵塞孔隙;e—盒8,2756.15 m,高岭石向伊利石转化堵塞孔隙;f—盒8,2737.99 m,致密的微晶方解石胶结;g—盒8,2756.15 m,早期手风琴状高岭石充填,后期晶/粒间孔均被绿泥充填;h—盒8,2737.99 m,六方板状高岭石充填毛发状伊利石的孔隙;i—盒8,2737.99 m,绿泥石膜阻止石英自生加大,孔喉连通性较好

    Figure  3.  Scanning electron microscopy for clay mineral and carbonate cementation

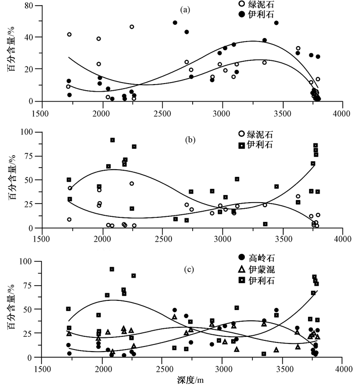
    图  4  黏土矿物随埋深的变化趋势

    Figure  4.  The tendency of clay mineral with the buried depth

    图  5  2—盒8储层物性的垂向变化特征

    Figure  5.  The vertical characteristics of reservoir from Shan 2 to He 8 members

    图  6  储层孔隙度与粒度参数的关系

    Figure  6.  The relationships between porosity and the grain size of reservoir

    图  7  储层孔隙度与粘土矿物含量的关系

    Figure  7.  The relationships between reservoir porosity and clay mineral content

    图  8  绿泥石含量与储层孔隙相关性

    Figure  8.  Relationship between reservoir porosity and the chlorite film

    图  9  储层孔隙度与胶结物的关系

    Figure  9.  Relationships between porosity and the content of cementation

    表  1  研究区储集岩碎屑成分统计表

    Table  1.   The statistics results of sandstone composition in the studied area

    层位 样品数 石英/% 长石/% 岩屑/% 填隙物/%
    8 91 $\frac{46.4\sim 78.3}{62}$ 很少 $\frac{13.2\sim 31.8}{18.6}$ $\frac{9.4\sim 26.5}{19.3}$
    1 63 $ \frac{56\sim 87.2}{74.7}$ 少量 $\frac{8.9\sim 29.1}{12.2}$ $\frac{10.0\sim 28.6}{14.7}$
    2 72 $\frac{68.4\sim 89.5}{77.2}$ $\frac{3.5\sim 20.2}{8.5}$ $\frac{5.4\sim 17.0}{11.2}$
    注:$\frac{46.4\sim 78.3}{62}$意义为$\frac{最小值\sim 最大值}{平均值}$
    下载: 导出CSV

    表  2  2—盒8段储层黏土矿物X衍射分析结果

    Table  2.   The X-ray diffraction of clay mineral of reservoir from Shan 2 to He 8

    样号 井深/m 层位 伊蒙混层/% 伊利石/% 高岭石/% 绿泥石/% 混层比/%
    W25-1 3792.03 2 20.9 37.9 27.7 13.5 15.0
    W23-5 3627.15 8 10.0 27.0 30.0 33.0 25.0
    W23-2 3736.14 8 21.1 38.5 28.6 11.8 15.0
    W23-21 3754.50 8 22.1 67.7 6.3 3.9 15.0
    W23-23 3755.70 8 25.6 67.4 4.7 2.3 15.0
    W23-26 3773.00 8 9.9 86.5 1.7 1.9 15.0
    W23-30 3774.57 8 10.6 82.2 2.1 5.1 10.0
    W23-33 3776.77 8 12.4 77.5 5.5 4.6 10.0
    W23-34 3777.97 8 14.7 79.1 3.1 3.1 10.0
    Wy1-1 1971.48 8 19.2 43.4 14.4 23.0 15.0
    Wy1-4 1974.85 8 23.7 26.4 10.8 39.1 15.0
    Wy1-6 2048.47 2 25.8 64.5 7.5 2.2 10.0
    Wy1-11 2082.45 1 5.4 92.2 1.5 0.9 10.0
    Wy-25 2738.08 8 27.9 37.7 15.0 19.4 20.0
    Yt1-1 2245.27 8 28.0 20.1 5.6 46.4 30.0
    Su1-1 2181.50 8 26.2 69.2 2.1 2.5 15.0
    Su1-2 2182.50 8 30.9 66.3 1.4 1.4 15.0
    Su1-4 2185.81 8 27.7 70.0 1.6 0.7 15.0
    Su1-6 2263.90 2 11.3 85.0 3.1 0.7 15.0
    G1-1 1723.20 8 28.6 50.0 12.4 9.1 25.0
    G1-6 1728.40 8 25.0 29.6 3.5 42.0 25.0
    W1-4 2635.90 8 42.0 9.0 49.0 - 25.0
    W1-15 2702.10 1 25.0 8.0 43.0 24.0 15.0
    W21-6 2977.85 2 30.0 17.0 30.0 23.0 30.0
    W21-20 2913.28 8 34.0 38.0 13.0 15.0 25.0
    W21-10 3021.75 8 16.0 32.0 33.0 19.0 15.0
    W15-9 3348.50 8 35.0 3.0 38.0 24.0 35.0
    W15-13 3449.50 2 7.0 44.0 49.0 - 10.0
    W15-20 3094.60 2 33.0 17.0 35.0 15.0 10.0
    W15-6 3119.86 8 8.0 51.0 18.0 23.0 23.0
    注:“-”表示未测试该项数据
    下载: 导出CSV

    表  3  2段—盒8段储层中胶结物含量

    Table  3.   The content of cementation of reservoir from Shan 2 to He 8

    样品号 层位 深度/m 孔隙度/% 碳酸盐含量/% 含盐量/(g·L -1)
    W153-1 1 2054.7 0.9 1.54 1002.4
    W153-2 2 2085.6 7.6 1.24 452.7
    W178 8 2180.4 4.2 - -
    W178-1 8 2181.5 5.9 2.93 -
    W178-2 8 2182.5 5.7 - -
    W178-3 8 2185.8 7.6 2.47 -
    W178-4 1 2264.8 5.2 1.05 420.3
    G214-1 8 1720.0 6.3 0.94 455.1
    G214-2 8 1723.2 7.8 2.23 245.9
    W103-1 1 2657.4 0.3 1.47 23.4
    W103-2 1 2658.5 1.2 2.87 24.1
    W103-3 1 2660.1 2.2 9.99 24.8
    W106-1 1 2847.8 2.6 3.25 345.5
    W106-2 1 2849.4 3.3 2.98 425.6
    W106-3 8 2914.8 7.0 6.10 736.8
    W221-1 2 2994.8 2.3 0.75 -
    W221-2 2 2996.3 5.3 1.25 185.9
    W221-3 2 2997.5 6.5 4.88 1769.7
    W101-1 8 3094.6 6.9 3.20 697.3
    W101-2 8 3124.6 4.2 0.94 75.3
    W101-3 8 3125.5 5.1 1.56 481.2
    W101-4 8 3119.9 6.0 3.41 269.8
    W156-1 8 3348.5 6.2 2.10 585.4
    W156-2 8 3402.4 5.4 3.51 401.7
    W156-3 2 3449.5 7.4 3.00 431.9
    W223-1 8 3627.2 4.8 2.54 915.9
    W223-2 8 3755.7 3.0 2.70 84.7
    W223-3 8 3736.1 4.7 3.07 223.3
    W223-4 2 3792.0 4.8 2.79 125.6
    注:“-”表示未测定该项数据。
    下载: 导出CSV

    表  4  2段—盒8段储层砂岩中胶结物、黏土矿物总含量与孔隙度的关系

    Table  4.   The relationship among the cementation, clay mineral and its reservoir porosity from Shan 2 to He 8

    井号 层位 埋深/m 黏土矿物 硅质 碳酸盐胶结
    总含量/% 孔隙度/% 总含量/% 孔隙度/% 总含量/% 孔隙度/%
    Zs2-1 2 5073.5 4.0 5.4 4.0 5.4 3.0 5.4
    Zs2-2 2 5074.6 16.0 3.0 2.0 3.0
    Zs2-3 1 5075.4 16.0 2.8 2.0 2.8 5.0 2.8
    Hs1-1 1 3699.6 2.0 4.5 8.0 4.5 - -
    Hs1-2 1 3699.8 1.0 4.7 4.0 4.7 5.0 4.7
    L1-1 1 3468.0 - - - - 2.0 6.0
    L1-2 1 3469.0 12.0 3.7 2.0 3.7 - -
    L1-3 1 3469.8 6.0 5.4 4.0 5.4 1.0 5.4
    L1-4 2 3470.3 5.0 7.2 5.0 7.2 1.5 7.2
    Qt1 1 4265.1 3.0 3.2 1.5 3.2 1.5 3.2
    Qt3-1 8 4243.2 1.0 8.0 0 8.0 1.5 8.0
    Qt3-2 8 4244.5 - - - - 2.0 5.1
    Qt3-3 8 4245.5 - - 0.0 8.8 6.5 8.8
    Qt4-1 8 4373.8 - - 4.0 5.2 - -
    Qt4-2 8 4375.2 3.0 7.8 4.5 7.8 2.0 7.8
    Qt4-3 8 4376.8 4.0 7.4 2.5 7.4 1.5 7.4
    Qt4-4 8 4378.6 - - 0.5 2.3 12.0 2.3
    Lo2 1 4840.3 7.0 4.2 5.0 4.2 0.5 4.2
    Lo3-1 1 4065.9 1.5 7.9 2.0 7.9 0 7.9
    Lo3-2 1 4067.1 2.0 6.4 3.5 6.4 0 6.4
    Lo3-3 1 4068.2 4.5 5.9 1.0 5.9 0.5 5.9
    Lo3-4 1 4079.8 - - - - 6.0 1.2
    Lo4-1 1 4507.3 4.5 5.3 2.5 5.3
    Lo4-2 1 4507.8 6.0 4.9 7.0 4.9 6.0 4.9
    Lo4-3 2 4508.2 4.0 4.4 8.0 4.4 3.5 4.4
    Lo4-4 2 4508.6 5.0 4.4 7.0 4.4 5.0 4.4
    Lo4-5 2 4508.9 3.5 4.3 6.0 4.3 9.0 4.3
    Lo4-6 1 4509.3 5.0 4.1 5.0 4.1 6.0 4.1
    Lo4-7 2 4509.9 11.0 3.4 5.0 3.4 6.0 3.4
    Lo4-8 2 4510.6 4.0 3.3 4.0 3.3 8.0 3.3
    Qt5-1 1 4278.9 7.0 1.9 3.0 1.9 - -
    Qt5-2 1 4280.6 - - 4.0 0.5 - -
    Qt5-3 1 4283.4 6.0 1.8 - - 5.0 1.8
    注:“-”表示未测定该项数据。
    下载: 导出CSV
  • [1] 何自新, 付金华, 席胜利, 等.苏里格大气田成藏地质特征[J].石油学报, 2003, 24(2):6 ~12. doi: 10.7623/syxb200302002

    HE Zi-xin, FU Jin-hua, XI Sheng-li, et al. Geological features of reservoir formation of Sulige gas field[J]. Acta Petrolei Sinica, 2003, 24(2): 6~12. doi: 10.7623/syxb200302002
    [2] 张福礼.鄂尔多斯盆地早古生代复合的古构造体系与天然气[J].地质力学学报, 2002, 8(3):193~200. http://journal.geomech.ac.cn/ch/reader/view_abstract.aspx?flag=1&file_no=20020321&journal_id=dzlxxb

    ZHANG Fu-li. Compound ancient tectonic system and natural gas of early Paleozoic in Ordos Basin[J]. Journal of Geomechanics, 2002, 8(3): 193~200. http://journal.geomech.ac.cn/ch/reader/view_abstract.aspx?flag=1&file_no=20020321&journal_id=dzlxxb
    [3] 邢振辉, 程林松, 周新桂, 等.鄂尔多斯盆地北部塔巴庙地区上古生界致密砂岩气藏天然裂缝形成机理浅析[J].地质力学学报, 2005, 11(1):34~42. http://journal.geomech.ac.cn/ch/reader/view_abstract.aspx?flag=1&file_no=20050107&journal_id=dzlxxb

    XING Zhen-hui, CHENG Lin-song, ZHOU Xin-gui, et al. Mechanism of natural fracture formation in the Upper Paleozoic tight sand gas reservoirs in the Tabamiao area, north Ordos Basin[J]. Journal of Geomechanics, 2005, 11(1): 34~42. http://journal.geomech.ac.cn/ch/reader/view_abstract.aspx?flag=1&file_no=20050107&journal_id=dzlxxb
    [4] 武丽, 施炜, 董宁, 等.鄂尔多斯盆地塔巴庙区块下石盒子组砂岩储层含气性预测[J].地质力学学报, 2005, 11(3):226~234. http://journal.geomech.ac.cn/ch/reader/view_abstract.aspx?flag=1&file_no=20050333&journal_id=dzlxxb

    WU Li, SHI Wei, DING Ning, et al. Prediction of gas potentials of sand reservoirs of the Lower Shihezi Formation in the Tabamiao area, Ordos Basin[J]. Journal of Geomechanics, 2005, 11(3): 226~234. http://journal.geomech.ac.cn/ch/reader/view_abstract.aspx?flag=1&file_no=20050333&journal_id=dzlxxb
    [5] 候洪斌, 牟泽辉, 朱宏权, 等.鄂尔多斯盆地北部上古生界天然气成藏条件与勘探方向[M].北京:石油工业出版社, 2004:126~128.

    HOU Hong-bin, MU Ze-hui, ZHU Hong-quan, et al. Gas reservoir conditions and exploration direction of Upper Paleozoic in northern Erdos Basin[M]. Beijing: Petroleum Industry Press. 2004: 126 ~128.
    [6] 杨斌虎. 鄂尔多斯盆地北部上古生界盒8-山1段物源与沉积相及其对优质天然气储层的影响[D]. 西安: 西北大学, 2009.

    YANG Bin-hu. Discussion on provenance and depositional facies and their impact on prospecting natural reservoirs of He 8-Shan 1 Groups in the Upper Paleozoic, Ordos Basin[D]. Xi'an: Northwest University, 2009.
    [7] 郭英海, 刘焕杰, 权彪, 等.鄂尔多斯地区晚古生代沉积体系及古地理演化[J].沉积学报, 1998, 16(3):44~51. http://www.cnki.com.cn/Article/CJFDTOTAL-CJXB803.007.htm

    GUO Ying-hai, LIU Huan-jie, QUAN Biao, et al. Late Paleozoic sedimentary system and Paleogeograohic evolution of Ordos area[J]. Acta Sedimentologica Sinica, 1998, 16(3): 44~51. http://www.cnki.com.cn/Article/CJFDTOTAL-CJXB803.007.htm
    [8] 邢厚松, 肖红平, 孙粉锦, 等.鄂尔多斯盆地中东部下二叠统山西组二段沉积相[J].石油实验地质, 2008, 30(4):345~351. doi: 10.11781/sysydz200804345

    XING Hou-song, XIAO Hong-ping, SUN Fen-jin, et al. Sediimentary facies of Member 2 of Shanxi Formation of Lower Permian in the middle-eastern Ordos Basin[J]. Petroleum Geology and Experiment, 2008, 30(4): 345~351. doi: 10.11781/sysydz200804345
    [9] 庞军刚, 李文厚, 郭艳琴, 等.陕北子洲地区二叠纪山西组沉积环境[J].煤田地质与勘探, 2006, 34(5):5~8. http://www.cnki.com.cn/Article/CJFDTOTAL-MDKT200605001.htm

    PANG Jun-gang, LI Wen-hou, GUO Yan-qin, et al. Sedimentary environment of Permian Shanxi Formation in Zizhou region, northern Shanxi[J]. Coal Geology and Exploration, 2006, 34(5): 5~8. http://www.cnki.com.cn/Article/CJFDTOTAL-MDKT200605001.htm
    [10] 叶黎明, 齐天俊, 彭海燕.鄂尔多斯盆地东部山西组海相沉积环境分析[J].沉积学报, 2008, 26(2):202~210. http://www.cnki.com.cn/Article/CJFDTOTAL-CJXB200802006.htm

    YE Li-ming, QI Tian-jun, PENG Hai-yan. Depositional environment analysis of Shanxi Formation in eastern Ordors Basin[J]. Acta Sedimentologica Sinica, 2008, 26(2): 202~210. http://www.cnki.com.cn/Article/CJFDTOTAL-CJXB200802006.htm
    [11] 张以明, 李胜利, 李民, 等.湖盆洼槽区沉积充填模式与演化规律--以铙阳凹陷马西洼陷沙河街组为例[J].地质力学学报, 2012, 18(4):379~388. http://journal.geomech.ac.cn/ch/reader/view_abstract.aspx?flag=1&file_no=20120403&journal_id=dzlxxb

    ZHANG Yi-ming, LI Sheng-li, LI Min, et al. Depositional filling model and evolution of the sag in lacustrine basin: A case study from Shanejie Formation in Maxi sag, Raoyang depression[J]. Journal of Geomechanics, 2012, 18(4):379~388. http://journal.geomech.ac.cn/ch/reader/view_abstract.aspx?flag=1&file_no=20120403&journal_id=dzlxxb
    [12] 陈全红, 李文厚, 胡孝林, 等.鄂尔多斯盆地晚古生代沉积岩源区构造背景及物源分析[J].地质学报, 2012, 86(7):1150~1162. http://www.cnki.com.cn/Article/CJFDTOTAL-DZXE201207011.htm

    CHEN Quan-hong, LI Wen-hou, HU Xiao-lin, et al. Tectonic setting and provenance analysis of Late Paleozoic sedimentary rocks in the Ordos Basin[J]. Acta Geological Sinica, 2012, 86(7): 1150~1162. http://www.cnki.com.cn/Article/CJFDTOTAL-DZXE201207011.htm
    [13] 陈全红, 李文厚, 刘昊伟, 等.鄂尔多斯盆地上石炭统-中二叠统砂岩物源分析[J].古地理学报, 2009, 11(6):629~640. http://www.cnki.com.cn/Article/CJFDTOTAL-GDLX200906007.htm

    CHEN Quan-hong, LI Wen-hou, LIU Hao-wei, et al. Provenance analysis of sandstone of the Upper Carboniferous to Middle Permian in Ordos Basin[J]. Journal of Palaeogeography, 2009, 11(6): 629~640. http://www.cnki.com.cn/Article/CJFDTOTAL-GDLX200906007.htm
    [14] 杨俊杰.鄂尔多斯盆地构造演化与油气分布规律[M].北京:石油工业出版社, 2002.

    YANG Jun-jie. Tectonic evolution and oil-gas reservoirs distribution in Ordos Basin[M]. Beijing: Petroleum Industry Press, 2002.
    [15] 张晓莉.鄂尔多斯盆地中部上古生界沉积相演化[J].地球科学与环境学报, 2005, 27(3):26~29. http://www.cnki.com.cn/Article/CJFDTOTAL-XAGX200503007.htm

    ZHANG Xiao-li. Sedimentary facies evolution of Upper Palaeozoic formation in Ordos Basin[J]. Journal of Earth Sciences and Environment, 2005, 27(3): 26~29. http://www.cnki.com.cn/Article/CJFDTOTAL-XAGX200503007.htm
    [16] 徐波, 孙卫, 宴宁平, 等.鄂尔多斯盆地靖边气田沟槽与裂缝的配置关系对天然气富集程度的影响[J].现代地质, 2009, 23(2):299~304. http://www.cnki.com.cn/Article/CJFDTOTAL-XDDZ200902015.htm

    XU Bo, SUN Wei, YAN Ning-ping, et al. The influence on natural gas's enrichment from configuration of ancient valleys and fractures in Jingbian gas field, Ordos Basin[J]. Geoscience, 2009, 23(2): 299~304. http://www.cnki.com.cn/Article/CJFDTOTAL-XDDZ200902015.htm
    [17] 罗静兰, 张晓莉, 张云翔, 等.成岩作用对河流-三角洲相砂岩储层物性演化的影响:以延长油区上三叠统延长组长2砂岩为例[J].沉积学报, 2001, 19(4):543~547.

    LUO Jing-lan, ZHANG Xiao-li, ZHANG Yun-xiang, et al. The diagenetic impact on reservoir-quality evolution of fluvial-deltaic sandstones: Taking an example from the Upper Triassic sandstones of Chang 2 Formation in the Yanchang oil field[J]. Acta Sedimentologica Sinica, 2001, 19(4): 543~547.
    [18] 罗静兰, 刘小洪, 林潼, 等.成岩作用与油气侵位对鄂尔多斯盆地延长组砂岩储层物性的影响[J].地质学报, 2006, 80(5):664~673. http://www.cnki.com.cn/Article/CJFDTOTAL-DZXE200605007.htm

    LUO Jing-lan, LIU Xiao-hong, LIN Tong, et al. Impact of diagenesis and hydrocarbon emplacement on sandstone reservoir quality of the Yanchang Formation (Upper Triassic) in the Ordos Basin[J]. Acta Geologica Sinica, 2006, 80(5): 664~673. http://www.cnki.com.cn/Article/CJFDTOTAL-DZXE200605007.htm
    [19] 黄思静, 黄培培, 王庆东, 等.胶结作用在深埋藏砂岩孔隙保存中的意义[J].岩性油气藏, 2007, 19(3):7~13. http://www.cnki.com.cn/Article/CJFDTOTAL-YANX200703003.htm

    HUANG Si-jing, HUANG Pei-pei, WANG Qing-dong, et al. The significance of cementation in porosity preservation in deep-buried sandstones[J]. Lithologic Reservoirs, 2007, 19(3): 7~13. http://www.cnki.com.cn/Article/CJFDTOTAL-YANX200703003.htm
    [20] 王世虎, 焦养泉, 吴立群, 等.鄂尔多斯盆地西北部延长组中下部古物源与沉积体空间配置[J].地球科学:中国地质大学学报, 2007, 32(2):201~208. http://www.cnki.com.cn/Article/CJFDTOTAL-DQKX200702006.htm

    WANG Shi-hu, JIAO Yang-quan, WU Li-qun, et al. Spatial combination of paleoprovenance and depositional lobe of mid-lower Yanchang Formation in the northwest of Ordos Basin[J]. Earth Science: Journal of China University of Geosciences, 2007, 32(2): 201~208. http://www.cnki.com.cn/Article/CJFDTOTAL-DQKX200702006.htm
    [21] 郑荣才, 耿威, 周刚, 等.鄂尔多斯盆地白豹地区长6砂岩成岩作用与成岩相研究[J].岩性油气藏, 2007, 19(2):1~8.

    ZHENG Rong-cai, GENG Wei, ZHOU Gang, et al. Diagenesis and diagenetic facies of Chang 6 sandstone of Yanchang Formation in Baibao area, Ordos Basin[J]. Lithologic Reservoirs, 2007, 19(2): 1~8.
    [22] 王琪, 史基安, 薛莲花, 等.碎屑储集岩成岩演化过程中流体-岩石相互作用特征[J].沉积学报, 1999, 17(4):584~590. http://www.cnki.com.cn/Article/CJFDTOTAL-CJXB199904012.htm

    WANG Qi, SHI Ji-an, XUE Lian-hua, et al. Characteristics of fluid-rock interaction in clastic reservoir controlled by evolution of diagenetic environment[J]. Acta Sedimentologica Sinica, 1999, 17(4): 584~590. http://www.cnki.com.cn/Article/CJFDTOTAL-CJXB199904012.htm
    [23] Giles M R, Boer R B. Origin and significance of redistributional secondary porosity[J]. Marine and Petroleum Geology, 1990, (6): 378~397. http://www.sciencedirect.com/science/article/pii/026481729090016A
    [24] Heald M T, Larease R E. Influence of coatings on quartz cementation[J]. Journal of Sedimentary Petrology, 1974, 44(4): 1269~1274. http://archives.datapages.com/data/sepm/journals/v42-46/data/044/044004/1269.htm?q=%2BtextStrip%3Apredicting+textStrip%3Acarbonate+textStrip%3Aporosity+textStrip%3Apermeability
    [25] Dison S A, Summers D M, Surdam R C. Diagenesis and preservation of porosity in Norphlet Formation (Upper Jurassic), southern Alabama[J]. AAPG Bulletin, 1989, 73(6): 707~728. http://archives.datapages.com/data/bulletns/1988-89/data/pg/0073/0006/0700/0707.htm?q=%2BtextStrip%3Atight+textStrip%3Aoill
    [26] 李宏, 王芙蓉, 戴世立, 等.绿泥石膜对储层孔隙度的影响--以鄂尔多斯盆地M油田延长组2段为例[J].岩性油气藏, 2008, 20(4):71~74. http://www.cnki.com.cn/Article/CJFDTOTAL-YANX200804019.htm

    LI Hong, WANG Fu-rong, DAI Shi-li, et al. Influence of chlorite film on reservoir porosity: A case study from the second member of Yanchang formation in Ordos Basin[J]. Lithologic Reservoirs, 2008, 20(4): 71~74. http://www.cnki.com.cn/Article/CJFDTOTAL-YANX200804019.htm
  • 加载中
图(9) / 表(4)
计量
  • 文章访问数:  261
  • HTML全文浏览量:  214
  • PDF下载量:  11
  • 被引次数: 0
出版历程
  • 收稿日期:  2014-04-28
  • 刊出日期:  2014-09-01

目录

    /

    返回文章
    返回