留言板

尊敬的读者、作者、审稿人, 关于本刊的投稿、审稿、编辑和出版的任何问题, 您可以本页添加留言。我们将尽快给您答复。谢谢您的支持!

姓名
邮箱
手机号码
标题
留言内容
验证码

甘肃定西原状Q3黄土各向异性试验研究

徐善常 梁庆国 李帅帅 张堂杰 张荣

徐善常, 梁庆国, 李帅帅, 等, 2015. 甘肃定西原状Q3黄土各向异性试验研究. 地质力学学报, 21 (3): 378-385.
引用本文: 徐善常, 梁庆国, 李帅帅, 等, 2015. 甘肃定西原状Q3黄土各向异性试验研究. 地质力学学报, 21 (3): 378-385.
XU Shan-chang, LIANG Qing-guo, LI Shuai-shuai, et al., 2015. EXPERIMENTAL STUDY ON ANISOTROPIC CHARACTERISTICS OF UNDISTURBED Q3 LOESS FROM DINGXI, GANSU. Journal of Geomechanics, 21 (3): 378-385.
Citation: XU Shan-chang, LIANG Qing-guo, LI Shuai-shuai, et al., 2015. EXPERIMENTAL STUDY ON ANISOTROPIC CHARACTERISTICS OF UNDISTURBED Q3 LOESS FROM DINGXI, GANSU. Journal of Geomechanics, 21 (3): 378-385.

甘肃定西原状Q3黄土各向异性试验研究

基金项目: 

国家自然科学基金项目 41262010

长江学者和创新团队发展计划项目 IRT1139

兰州交通大学“青蓝”人才工程项目 QL-08-19A

甘肃省基础研究创新群体资助项目 145RJIA332

详细信息
    作者简介:

    徐善常(1990-), 男, 兰州交通大学硕士研究生, 主要从事黄土隧道工程研究。E-mail:1208939465@qq.com

    通讯作者:

    梁庆国, 兰州交通大学土木工程学院教授, 主要从事岩土及地下工程研究

  • 中图分类号: TU431;TU432

EXPERIMENTAL STUDY ON ANISOTROPIC CHARACTERISTICS OF UNDISTURBED Q3 LOESS FROM DINGXI, GANSU

  • 摘要: 通过室内三轴试验, 研究了甘肃定西原状Q3黄土的各向异性对于黄土抗剪强度和变形参数的影响。研究结果表明, 此种黄土的各向异性对土体力学性质的影响显著。垂直向原状黄土抗剪强度明显高于水平向, 随着围压的增大, 二者之差明显下降, 最终稳定在10%的差值范围内。围压小于100 kPa时, 水平向破坏应变明显大于垂直向, 且随着围压逐渐增大二者差值逐渐减小, 并在围压高于200 kPa时, 破坏应变达到一致。利用邓肯-张模型对偏差应力实测值与计算值进行差值分析表明, 低应变处垂直向与水平向的差值均较大; 随着围压增大, 差值逐渐减小并最终稳定在±5%差值范围内, 且最大偏差应力均符合误差为±5%的范围。无论是垂直样还是水平样, 大约在2%应变之前的应力应变曲线都近似为回归系数很高的线性关系, 可近似估算不同方向黄土的变形模量, 其值分别为130 MPa和85 MPa。

     

  • 图  1  垂直向与水平向三轴应力-应变曲线

    Figure  1.  Triaxial stress-train curves in vertical and horizontal directions

    图  2  垂直向与水平向在不同围压下的破坏应力及差值

    Figure  2.  Failure stress and difference values of the loess in vertical and horizontal directions under different confining pressures

    图  3  垂直向与水平向应力归一化对比

    Figure  3.  Comparison between the normalized stress in vertical and horizontal directions

    图  4  不同围压下垂直向与水平向破坏应变及其差值

    Figure  4.  Failure strain and difference values of loess in vertical and horizontal directions under different confining pressures

    图  5  不同围压下垂直向与水平向抗剪强度及拟合程度

    Figure  5.  Failure strain and difference values of loess in vertical and horizontal directions under different confining pressures

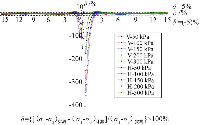
    图  6  不同围压下应变与误差曲线

    Figure  6.  Strain and error curves under different confining pressures

    图  7  不同围压下破坏应变对应的误差

    Figure  7.  Corresponding error of failure strain under different confining pressures

    图  8  2%应变之前各围压下应力应变的线性回归

    Figure  8.  Linear regression of stress and strain with strain less than 2% under different confining pressures

    表  1  垂直向与水平向在不同围压下应力-应变曲线的拟合常数及相关系数

    Table  1.   Stress and strain curve fitting constants and correlation coefficient in vertical and horizontal directions under different confining pressures

    围压/kPa垂直水平
    abR2abR2
    500.00330.00270.99630.00460.00550.9992
    1000.00160.00330.99100.00760.00340.9996
    1500.00130.00330.99460.00680.00330.9988
    2000.00180.00270.99960.00730.00250.9983
    3000.00350.00180.99760.00600.00200.9985
        注:a、b为关于土的试验参数;R2为相关系数
    下载: 导出CSV
  • [1] 李保雄, 牛永红, 苗天德.兰州马兰黄土的水敏感性特征[J].岩土工程学报, 2007, 29(2):294~298. http://www.cnki.com.cn/Article/CJFDTOTAL-YTGC200702026.htm

    LI Bao-xiong, NIU Yong-hong, MIAO Tian-de. Water sensitivity of Malan loess in Lanzhou[J]. Chinese Journal of Geotechnical Engineering, 2007, 29(2): 294~298. http://www.cnki.com.cn/Article/CJFDTOTAL-YTGC200702026.htm
    [2] 田堪良, 马俊, 李永红.黄土结构性定量化参数的探讨[J].岩石力学与工程学报, 2011, 30(增1):3179~3184. http://www.cnki.com.cn/Article/CJFDTOTAL-YSLX2011S1077.htm

    TIAN Kan-liang, MA Jun, LI Yong-hong. Discussion on quantitative parameters of loess structure[J]. Chinese Journal of Rock Mechanics and Engineering, 2011, 30(Supp. 1): 3179~3184. http://www.cnki.com.cn/Article/CJFDTOTAL-YSLX2011S1077.htm
    [3] 陈伟, 骆亚生, 郭靖.基于三轴剪切试验的原状黄土结构性研究[J].中国农村水利水电, 2012, (7):110~114. http://www.cnki.com.cn/Article/CJFDTOTAL-ZNSD201207031.htm

    CHEN Wei, LUO Ya-sheng, GUO Jing. The intact loess structural research based on the conventional triaxial compression test[J]. China Rural Water and Hydropower, 2012, (7): 110~114. http://www.cnki.com.cn/Article/CJFDTOTAL-ZNSD201207031.htm
    [4] 陈茜, 骆亚生, 程大伟.原状黄土结构损失研究[J].土木工程学报, 2013, 46(5):137~143. http://cdmd.cnki.com.cn/Article/CDMD-10730-1011140777.htm

    CHEN Xi, LUO Ya-sheng, CHENG Da-wei. Research on the loss in structure of undisturbed loess[J]. China Civil Engineering Journal, 2013, 46(5): 137~143. http://cdmd.cnki.com.cn/Article/CDMD-10730-1011140777.htm
    [5] 党进谦, 李靖.非饱和黄土的强度特征[J].岩土工程学报, 1997, 19(2):56~61. http://cdmd.cnki.com.cn/Article/CDMD-11941-1011186382.htm

    DANG Jin-qian, LI Jing. Strength characteristics of unsaturated loess[J]. Chinese Journal of Geotechnical Engineering, 1997, 19(2): 56~61. http://cdmd.cnki.com.cn/Article/CDMD-11941-1011186382.htm
    [6] 梁斌, 莫凯.不同含水率下重塑红黏土抗剪强度特性的研究[J].山西建筑, 2010, 36(4):101~102. http://www.cnki.com.cn/Article/CJFDTOTAL-JZSX201004064.htm

    LIANG Bin, MO Kai. Construction technology for ensure the quality of CFG pile[J]. Shanxi Architecture, 2010, 36(4): 101~102. http://www.cnki.com.cn/Article/CJFDTOTAL-JZSX201004064.htm
    [7] 陈正汉.重塑非饱和黄土的变形、强度、屈服和水量变化特性[J].岩土工程学报, 1999, 21(1):82~90. http://www.cnki.com.cn/Article/CJFDTOTAL-YTGC901.016.htm

    CHEN Zheng-han. Deformation, strength, yield and moisture change of a remolded unsaturated loess[J]. Chinese Journal of Geotechnical Engineering, 1999, 21(1): 82~90. http://www.cnki.com.cn/Article/CJFDTOTAL-YTGC901.016.htm
    [8] 陈正汉, 周海清, Fredlund D G.非饱和土的非线性模型及其应用[J].岩土工程学报, 1999, 21(5):603~608. http://www.cnki.com.cn/Article/CJFDTOTAL-YTGC199905017.htm

    CHEN Zheng-han, ZHOU Hai-qing, Fredlund D G. Nonlinear model for unsaturated soils and its application[J]. Chinese Journal of Geotechnical Engineering, 1999, 21(5): 603~608. http://www.cnki.com.cn/Article/CJFDTOTAL-YTGC199905017.htm
    [9] 胡再强, 沈珠江, 谢定义.结构性黄土的变形特性[J].岩石力学与工程学报, 2004, 23(24):4142~4146. doi: 10.3321/j.issn:1000-6915.2004.24.008

    HU Zai-qiang, SHEN Zhu-jiang, XIE Ding-yi. Deformation properties of structural loess[J]. Chinese Journal of Rock Mechanics and Engineering, 2004, 23(24): 4142~4146. doi: 10.3321/j.issn:1000-6915.2004.24.008
    [10] 胡再强, 沈珠江, 谢定义.结构性黄土的本构模型[J].岩石力学与工程学报, 2005, 24(4):565~569. http://cdmd.cnki.com.cn/Article/CDMD-10703-1012045235.htm

    HU Zai-qiang, SHEN Zhu-jiang, XIE Ding-yi. Constitutive model of structural loess[J]. Chinese Journal of Rock Mechanics and Engineering, 2005, 24(4): 565~569. http://cdmd.cnki.com.cn/Article/CDMD-10703-1012045235.htm
    [11] 邵生俊, 李彦兴, 周飞飞.湿陷性黄土结构损伤演化特性[J].岩石力学与工程学报, 2004, 23(24):4161~4165. doi: 10.3321/j.issn:1000-6915.2004.24.012

    SHAO Sheng-jun, LI Yan-xing, ZHOU Fei-fei. Structural damage evolvement properties of collapsible loess[J]. Chinese Journal of Rock Mechanics and Engineering, 2004, 23(24): 4161~4165. doi: 10.3321/j.issn:1000-6915.2004.24.012
    [12] 邵生俊, 罗爱忠, 于清高, 等.加荷增湿作用下Q3黏黄土的结构损伤特性[J].岩土工程学报, 2006, 28(12):2078~2081. http://d.wanfangdata.com.cn/Periodical/ytgcxb200612006

    SHAO Sheng-ju, LUO Ai-zhong, YU Qing-gao, et al. Structural damage properties of loess Q3 under triaxial loading and moistening[J]. Chinese Journal of Geotechnical Engineering, 2006, 28(12): 2078~2081. http://d.wanfangdata.com.cn/Periodical/ytgcxb200612006
    [13] 骆亚生, 谢定义.复杂应力条件下土的结构性本构关系[J].四川大学学报:工程科学版, 2005, 37(5):14~18. http://www.cnki.com.cn/Article/CJFDTOTAL-SCLH200505003.htm

    LUO Ya-sheng, XIE Ding-yi. Structural constitutive relation of soils under complex stress conditions[J]. Journal of Sichuan University: Engineering Science, 2005, 37(5): 14~18. http://www.cnki.com.cn/Article/CJFDTOTAL-SCLH200505003.htm
    [14] 刑义川, 谢定义, 汪小刚, 等.非饱和黄土的三维有效应力[J].岩土工程学报, 2003, 25(3):288~293. http://www.cnki.com.cn/Article/CJFDTOTAL-YTGC200303007.htm

    XING Yi-chuan, XIE Ding-yi, WANG Xiao-gang, et al. 3D effective stress of unsaturated loess[J]. Chinese Journal of Geotechnical Engineering, 2003, 25(3): 288~293. http://www.cnki.com.cn/Article/CJFDTOTAL-YTGC200303007.htm
    [15] 梁庆国, 赵磊, 安亚芳, 等.兰州Q4黄土各向异性的初步研究[J].岩土力学, 2012, 33(1):17~23. http://d.wanfangdata.com.cn/Periodical/ytlx201201003

    LIANG Qing-guo, ZHAO Lei, AN Ya-fang, et al. Preliminary study of anisotropy of Q4 loess in Lanzhou[J]. Rock and Soil Mechanics, 2012, 33(1): 17~23. http://d.wanfangdata.com.cn/Periodical/ytlx201201003
    [16] 高彦斌, 王江锋, 叶观宝, 等.粘性土各向异性特性的PFC数值模拟[J].工程地质学报, 2009, 17(5):638~642. http://www.cnki.com.cn/Article/CJFDTOTAL-GCDZ200905009.htm

    GAO Yan-bin, WANG Jiang-feng, YE Guan-bao, et al. PFC numerical simulation on anisotropic properties of hesive soil[J]. Journal of Engineering Geology, 2009, 17(5): 638~642. http://www.cnki.com.cn/Article/CJFDTOTAL-GCDZ200905009.htm
    [17] 严佳佳, 李伯安, 陈利明, 等.原状软粘土各向异性及其对工程的影响研究[J].西北地震学报, 2011, 33(增):155~159. http://www.cnki.com.cn/Article/CJFDTOTAL-ZBDZ2011S1034.htm

    YAN Jia-jia, LI Bo-an, CHEN Li-ming, et al. Anisotropy of undisturbed soft clay and its influence on practical engineering[J]. Northwestern Seismological Journal, 2011, 33(Supp.): 155~159. http://www.cnki.com.cn/Article/CJFDTOTAL-ZBDZ2011S1034.htm
    [18] 陈仲颐, 周景星, 王洪璟.土力学[M].北京:清华大学出版社, 2001.

    CHEN Zhong-yi, ZHOU Jing-xing, WANG Hong-jing. Soil Mechanics[M]. Beijing: Tsinghua University Press, 2001.
    [19] 俞茂宏.强度理论百年总结[J].力学进展, 2004, 34(4):541~543. http://www.cnki.com.cn/Article/CJFDTOTAL-LXJZ200404009.htm

    YU Mao-hong. Advances in strength theories for materials under complex stress state in the 20th Century[J]. Advances in Mechanics, 2004, 34(4): 541~543. http://www.cnki.com.cn/Article/CJFDTOTAL-LXJZ200404009.htm
  • 加载中
图(8) / 表(1)
计量
  • 文章访问数:  298
  • HTML全文浏览量:  118
  • PDF下载量:  9
  • 被引次数: 0
出版历程
  • 收稿日期:  2014-12-01
  • 刊出日期:  2015-09-01

目录

    /

    返回文章
    返回